描述
散度(divergence)可用於表征空間各點矢量場發散的強弱程度。物理上,散度的意義是場的有源性。當散度大於零時,表示該點有散發通量的正源(發散源);當散度小於零時,表示該點有吸收通量的負源(洞或匯);當散度等於零時,表示該點無源。
簡單地說,流體在運動中集中的區域為輻合,運動中發散的區域為輻散。散度值為負時為輻合,此時有利於氣旋等對流天氣系統的發展和增強;為正時表示輻散,有利於反氣旋等天氣系統的發展。往往,氣象學中套用最多的是風速的“水平散度”。
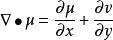
水平散度,是指空氣在單位時間內、單位面積上的膨脹量(相對膨脹率),亦表征空間各點在水平方向上發散的強弱程度。分布在不同地點的空氣的移動方向常常是不一致的。有時移動方向相同而速度快慢不同,有時速度相同而方向各異,也有方向速度都不同的。這樣,就可能引起空氣在某些地方堆積起來,而在另一些區域流散開去。
水平散度的表達式為:
水平散度
水平散度
水平散度
水平散度其中,是x軸方向的風速大小,是y軸方向的風速大小。一般來說,x軸表示緯圈切線方向(自西向東為正),y軸表示經圈切線方向(自南向北為正)。單位為。
圖1中左邊兩圖表示格點的空氣都背著同一條線或一點散開,右圖表示前方空氣移動速度較後方的快,使得空氣散開,這種現象稱為水平輻散。
水平散度圖1 水平輻散
圖2中,左圖和中間圖表示各點空氣都向著同一條線或一點匯合,右圖表示前方空氣移動速度較後方空氣慢而使得空氣堆積,這種現象稱為水平輻合。
水平散度圖2 水平輻合
與降水形成的關係
在大氣的水平輻合輻散的分布中,有時下層輻合,上層輻散;有時下層輻散,上層輻合。從圖3可見,當對流層上層有水平輻合、下層有水平輻散的區域會引致下沉運動,下沉的空氣會帶來晴天;反之,則會出現上升運動,形成雲層甚至下雨。
水平散度圖3 水平氣流的輻合輻散和垂直運動的相互關係
降水形成的條件之一是水汽在降水區輻合上升,在上升中絕熱膨脹冷卻凝結成雲。當水汽由源地輸送到某地區時,必須有水汽在該地區水平輻合。水汽水平輻合就是水平輸送進該地區的水汽,大於水汽輸送出該地區的水汽,反之即為水汽的水平輻散。在單位體積內,水汽水平輻合輻散的大小用水平水汽通量散度來表示。
水平散度圖3 850 hPa水汽水平散度
