定義
旋度
旋度
旋度定義向量場的旋度,首先要引入環量(或稱為旋渦量)的概念。給定一個三維空間中的向量場 以及一個簡單閉合有向(平面)曲線 , 沿著曲線的環量就是速度沿著路徑的閉合曲線積分:
旋度
旋度其中曲線上的線元 ,方向是曲線的切線方向,其正方向規定為使得閉合曲線所包圍的面積在它的左側。舉例來說,假如在河岸邊看到河中有逆時針旋轉的漩渦,那么在漩渦範圍內,水流圍繞渦心旋轉,所以水流速度沿著逆時針圍繞漩渦的閉合曲線積分一定大於零,即是說環量大於零。這說明漩渦中的水流流速場在漩渦範圍內是轉圈旋轉的。
旋度
旋度環量和通量一樣,是描述向量場的重要參數。某個區域中的環量不等於零,說明這個區域中的向量場表現出環繞某一點或某一區域旋轉的特性。旋度則是局部地描述這一特性的方法。為了描述一個向量場在一點附近的環量,將閉合曲線收小,使它包圍的面元 的面積趨於零。向量場沿著 的環量和面元的比值在趨於零時候的極限值:
旋度
旋度
旋度就是的環量面密度(或稱為環量強度)。顯然,隨著面積取的方向不同,得到的環量面密度也有大有小。如果要表現一點附近向量場的旋轉程度,則應該表現出其最大可能值以及其所在面積的方向。而向量場的旋度是一個向量。它在一個方向上的投影的大小表示了在這個方向上的環量面密度的大小。也就是說,在一點的旋度記為 或 ,滿足:
旋度
旋度
旋度( 為 所在平面的法向量。)
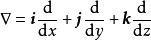
旋度如果用Nabla運算元表示的話,向量場的旋度記作: 。
從定義中可以看出,旋度是向量場的一種強度性質,就如同密度、濃度、溫度一樣,它對應的廣延性質是向量場沿一個閉合曲線的環量。如果一個向量場中處處的旋度都是零,則稱這個場為無旋場。
坐標系中表示
在不同的坐標系下,向量場的旋度有不同的表達方式。
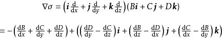
直角坐標系
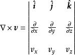
旋度在三維直角坐標系 中,設向量場為:
旋度
旋度
旋度
旋度
旋度
旋度其中的 分別是 軸、 軸、 軸方向上的單位向量,場的分量 具有一階連續偏導數, 那么在各個坐標上的投影分別為:
旋度
旋度的向量叫做向量場 的旋度,也就是:
旋度旋度的表達式可以用也行列式記號形式表示:
旋度需要注意的是這裡的行列式記號只有形式上的意義,因為真正的行列式中的係數應該是數而不是這樣的向量。這種表示方法只是便於記憶旋度在直角坐標系中的表達式。但是如果套用了這個行列數算出來的就是一個向量了。就是說這在數學中是不規範的寫法,但拓展開來用在物理上就套公式就可以了。
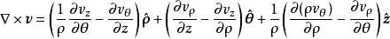
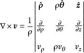
圓柱坐標系
旋度
旋度
旋度
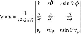
旋度圓柱坐標系中,假設物體位置的矢徑為 ,定義其徑向單位矢量 、橫向單位矢量 和縱向單位矢量 ,那么向量場可以表示成:
旋度
旋度向量場 的旋度就是:
旋度旋度的表達式可以用也行列式記號形式表示(即向量積的行列式形式):
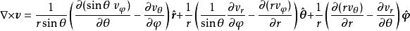
旋度球坐標系
旋度
旋度
旋度球坐標系中,假設物體的位置用球坐標表示為 ,定義它的基矢: ,則向量場 可以表示成:
旋度
旋度向量場 的旋度就是:
旋度旋度的表達式可以用也行列式記號形式表示(即向量積的行列式形式):
旋度例子
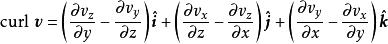
旋度下面是兩個簡單的例子,用以說明旋度的直觀意義。第一個例子是向量場 (如圖1):
圖1直觀上,可以看出向量場是表示一個向順時針方向旋轉的趨勢。
旋度假如在圖中放一個點,它會被向量場“推動”,沿順時針方向繞圈運動。根據右手定則,旋度的方向應該是朝向頁面內。按照右手系坐標的方向,旋度的方向是 軸的負方向。
經過計算可以得出,向量場的旋度為
旋度和直觀的推斷相符合。
以上的計算表明,對於該矢量場,旋度是一個恆定的量,也就是說,每一點上旋轉的程度都是一樣的。
旋度圖象為圖2:
圖2
圖3
旋度第二個例子是向量場 (如右圖3):
旋度
旋度向量場的作用是向下,越是靠近兩側,向下的趨勢越顯著。假想這個向量場是一個力場,一塊薄板水平放在圖的右邊,那么由於更靠右的地方受到向下的力更大,薄板會順時針轉動。類似地,如果將薄板水平放在圖的左邊,則會逆時針轉動。所以的旋轉作用是右側順時針、左側逆時針,而且越偏離中心,作用越大。按照右手定則,旋度應該是右側朝 軸負方向(指向頁面內),左側朝 軸正方向(指向頁面外)。實際的計算可以得到:
旋度
旋度
旋度
旋度
旋度所以 時是朝 軸負方向, 時是朝 軸正方向,和直觀推斷相符合。
性質
場量乘積的旋度
以下的性質 都可以從常見的求導法則推出。最重要的是,旋度是一個線性運算元,也就是說:
旋度
旋度
旋度
旋度
旋度其中 和 是向量場, 和 是實數。
旋度
旋度設 是標量函式, 是向量場,則它們的乘積的旋度為:
旋度
旋度
旋度設有兩個向量場 和 ,則它們的向量積的旋度為:
旋度
旋度一個標量場 的梯度場是無旋場,也就是說它的旋度處處為零:
旋度
旋度一個向量場 的旋度場是無源場,也就是說它的散度處處為零:
旋度
旋度的旋度場的旋度場則是:
旋度斯托克斯公式
旋度
旋度
旋度
旋度
旋度
旋度
旋度
旋度
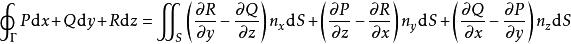
旋度三維空間 中,設 為分段光滑的空間有向閉曲線, 是以 為邊界的分片光滑的有向曲面, 的正向與 的側符合右手規則,函式 在曲面 (連同邊界 )上具有一階連續偏導數,則有
旋度用旋度表示,就是:
旋度
旋度
旋度這個公式是一般的斯托克斯公式(在 n=2時)的特例,在歐氏3維空間上的向量場的旋度的曲面積分和向量場在曲面邊界上的線積分之間建立了聯繫。具體就是,向量場 在某個曲面的封閉邊界線上的閉合路徑積分,等於 的旋度場在這個曲面上的積分。
歷史
作為向量分析的基礎概念,旋度同樣源自對四元數上的微積分研究。哈密爾頓在介紹四元數的運算時,將一個四元數
旋度
旋度
旋度中的 稱為“標量部分”,將 稱為“向量部分”。他引入了四元數的偏微分運算元
旋度
旋度
旋度(即 運算元)後,計算對一個四元數之向量部分 的效果:
旋度麥克斯韋在1873年的論文中將其中的“標量部分”:
旋度稱為“聚集度”(Convergence),而將“向量部分”:
旋度
旋度
旋度
旋度
旋度
旋度
旋度稱為“旋度”(Curl)或“變度”(Version)。他在寫給泰特的信中解釋了他起名“旋度”前的想法。他最初想將這一部分稱為“扭曲度”(Twist),但可能會被理解為“旋扭”(screw)或“螺旋”(helix);而他想表達的概念是類似“轉”(turn)或“變動”(version)。他曾想用“擰動”(Twirl)一詞,但又認為它太過“活潑”(racy),對於數學家來說動感過於強烈,所以最後使用了“旋度”。海維賽德在1883年發表的論文:《電學與磁學中的若干關係》( Some Electrostatic and Magnetic Relations)中討論了 運算元對一個四元數 的作用效果。他認為有必要將 的三個部分分開,將 的向量部分分成散度部分 和旋度部分 。
旋度的物理意義
構想將閉合曲線縮小到其內某一點附近,那么以閉合曲線L為界的面積也將逐漸減小.一般說來,這兩者的比值有一極限值,即記作單位面積平均環流的極限。它與閉合曲線的形狀無關,但顯然依賴於以閉合曲線為界的面積法線方向且通常L的正方向與規定要構成右手螺旋法則。旋度的重要性在於,可用通過研究表征矢量在某點附近各方向上環流強弱的程度,進而得到其單位面積平均環流的極限的大小程度。磁場是有旋場,靜電場是無旋場。

