描述
渦度表示速度場的旋轉。當同一平面上同一方向的運動具有速度差異,則處在該速度場中的運動物質就會發生旋轉。如圖1所示,上方速度大於下方的速度,當物體處在該速度場中時,除了整體向左運動,由於上方移動速度比下方快,會發生順時針方向旋轉。這就是在河中漂流的時候,若乘坐圓形的漂流艇,則容易在急流中旋轉的原因。
正壓渦度方程圖1 渦度示意圖
在大氣中,渦度即為一個空氣微團的旋度。渦度有正負之分,在北半球,逆時針為正渦度,順時針為負渦度;南半球則相反。氣旋為正渦度,反氣旋為負渦度。由於地球是旋轉的,所以一般情況下研究的多為相對渦度,即不考慮地轉產生的渦度。渦度主要為兩種:切變渦度和曲率渦度(如圖2),分別在平直的河流中和河流轉彎處可見。大氣渦度的影響因子包括大氣的輻散運動、渦管的扭曲運動和力管作用。
正壓渦度方程圖2 切變渦度(a)和曲率渦度(b)示意圖
方程
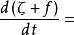
渦度方程的基本形式為
正壓渦度方程 | 正壓渦度方程 | 正壓渦度方程 | 正壓渦度方程 |
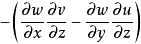
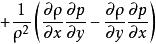
| 散度項 | 渦管扭曲項 | 力管項 |
其中, ζ為相對渦度的鉛直分量; f為地轉參數; t為時間; u, v, w為大氣運動在 x, y, z方向的分量; ρ為大氣密度; p為大氣壓。
散度項描述的是大氣的輻合輻散運動,當有水平輻散時,渦度減小;水平輻合時,渦度增大,該機制對於天氣尺度擾動的發展十分重要。渦管扭曲項代表渦管的位移扭曲,描述的是渦管相對水平面的傾斜度改變會引起渦度的改變。力管項代表大氣斜壓性對絕對渦度的作用。
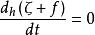
對渦度方程進行尺度分析,渦管扭曲項和力管項由於量級較小,對渦度的影響可忽略不計,約去這兩項。又因為相對 f而言 ζ量級也很小,約去後的渦度方程變為
正壓渦度方程該式表示在天氣尺度的水平運動中,微團絕對渦度的變化完全是散度作用的結果 。當認為大氣運動是水平無輻散的,則大氣絕對渦度守恆,即
正壓渦度方程此即為正壓渦度方程。
正壓渦度方程
正壓渦度方程
正壓渦度方程
正壓渦度方程 