物理意義
為了闡明渦量的物理意義,在M點鄰域內取一與Ω垂直的無限小圓,其半徑為a(圖1)。
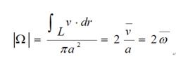
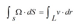
寫出聯繫速度環量和渦通量的斯托克斯公式,式中L和S分別是小圓的周界和面積。
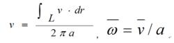
渦量忽略高階小量並定義平均切向速度:
渦量則可得由此可見,M點渦量的大小是流體微團繞該點鏇轉的平均角速度的兩倍,方向與微團的瞬時轉動軸線重合。
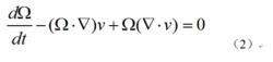
渦量一般說來,渦量是矢徑r和時間t的函式。即Ω=Ω(r,t),它組成一矢量場,稱為渦量場。容易驗證渦量場滿足關係式▽·Ω=▽·(▽×v)=0,所以渦量場是無源管式場。若在整個流動區域中Ω=0,
圖一 渦量的物理意義則稱此流體運動為無鏇運動,否則稱為有鏇運動。
對粘性係數等於常數的可壓縮粘性流體,渦量滿足下列方程:
渦量式中F、ρ、p和v分別為外力、流體的密度、壓力和運動粘性係數。Ω/2的物理意義是單位轉動慣量上的動量矩。式(1)表明,影響動量矩發生變化的因素有:①外力;②壓力梯度;③粘性應力;④流體的壓縮或膨脹;⑤渦線的拉伸、壓縮和扭曲。若流體是理想、正壓(見正壓流體)的,且外力有勢,則方程(1)變為亥姆霍茲方程:
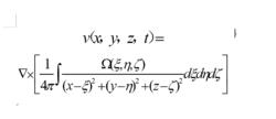
渦量在不可壓縮流體中,若渦量場Ω給定時,則速度場可由下式求出:
渦量式中t為時間; ζ ,ξ ,η表為變動點的直角坐標
參考文獻
1.詞條作者:吳望一 .《中國大百科全書》74卷(第一版)力學詞條:流體力學 :中國大百科全書出版社 ,1987 :496頁

