定義
正實函式
正實函式
正實函式
正實函式
正實函式
正實函式
正實函式
正實函式
正實函式設 s為一個複數, s可寫成也可寫成,表示具有正實部,稱為 實函式,如果。儘管是個實函式,但是當 s是複數時,它的值通常是複數。用和分別表示的實部和虛部。
正實函式
正實函式
正實函式實函式稱為 正實函式,如果,就有。
正實函式
正實函式
正實函式
正實函式如果存在,當時,,則稱是一個 嚴格正實函式。
粗略地講,一個正實函式就是將複平面上的實軸映射到實軸,將右半複平面映射到右半複平面。
正實函式
正實函式
正實函式
正實函式
正實函式
正實函式從定義出發容易得到結論:如果是兩個正實函式,那么和也是正實的;但是未必是正實的。當C是正數時,也是正實的;另外也是正實的。
相關性質定理
下面兩個定理刻畫了正實函式和嚴格正實函式的特徵,它們可以用複變函數知識來證明。
定理1
正實函式實函式是正實的充分必要條件是下面三條同時滿足:
正實函式
正實函式
正實函式(1)如果是的極點,則;
正實函式
正實函式(2)如果是的極點,則它是單重的.並且 留數為非負數;
正實函式
正實函式
正實函式(3)如果不是的極點,則。
定理2
正實函式實函式是嚴格正實的充分必要條件是下面兩條同時滿足:
正實函式
正實函式
正實函式(1) 如果是的極點,則;
正實函式
正實函式(2) 對任意的,。
正實函式
正實函式
正實函式
正實函式
正實函式定理1的第一個條件是說在開的右半複平面沒有極點,我們將這個事實說成在開的右半複平面解析。如果是正實的.那么]也是正實的,那么在開的右半複平面也沒有零點,所以一個正實函式在開的右半複平面沒有零極點。因而定理1中的(2)和(3)中的“非負”都可以改為“正”。同理可得,一個嚴格正實函式在閉的右半複平面沒有零極點。
定理3
正實函式
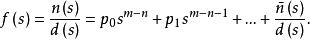
正實函式如果有理函式是正實的,那么。
正實函式證明:不妨設,那么用帶餘除法得到
正實函式
正實函式
正實函式
正實函式
正實函式
正實函式
正實函式
正實函式因此是的重極點,根據定理1中(2).虛軸上的極點最多是一重的,因此。如果,那么討論,同理可得。結論獲證。
定理4
正實函式
正實函式
正實函式如果有理函式是嚴格正實的,那么和都是Hurwitz多項式。
正實函式
正實函式證明:將定理2的(1)用於和,結論立得。
性質1
正實函式的倒數仍為正實函式。
性質2
正實函式之和仍為正實函式。
性質3
正實函式的複合函式仍為正實函式。
例題解析
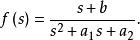
考慮函式
正實函式討論它是嚴格正實函式的條件。
正實函式解:要求是嚴格正實的,因此分子和分母都是Hurwitz多項式,所以得到
正實函式
正實函式
正實函式
正實函式要使得是嚴格正實的,只要對所有成立。因為
正實函式
正實函式
正實函式
正實函式
正實函式
正實函式所以只要就有對一切成立。總之,是嚴格正實的條件為:。

