正交的含義
對於一般的希爾伯特空間, 也有內積的概念, 所以人們也可以按照上面的方式定義正交的概念。 特別的, 我們有n維歐氏空間中的正交概念, 這是最直接的推廣。
和正交有關的數學概念非常多, 比如正交矩陣、正交補空間、施密特正交化法、最小二乘法等等。
另外在此補充 正交函式系的定義:在三角函式系中任何不同的兩個函式的乘積在區間[-π,π]上的積分等於0,則稱這樣的三角函式組成的體系叫正交函式系。
各種正交概念
正交子空間
若內積空間中兩向量的內積為0,則它們 正交。類似地,若內積空間中的向量 v與子空間 A中的每個向量都正交,那么這個向量和子空間 A正交。若內積空間的子空間 A和 B滿足一者中的每個向量都與另一者正交,那么它們互為正交子空間。
正交變換
正交[數學名詞]正交變換是保持內積的線性變換。即是說,對兩個向量,它們的內積等於它們在函式T下的內積:
正交[數學名詞]這也就是說,正交變換保持向量的長度不變,也保持兩個向量之間的角度不變。
歐幾里得空間的例子
在二維或三維的歐幾里得空間中,兩個向量正交若且唯若他們的點積為零,即它們成90°角。可以看出正交的概念正是在此基礎上推廣而來的。三維空間中,一條直線的正交子空間是一個平面,反之亦然。四維空間中,一條直線的正交子空間則是一個超平面。
正交函式集
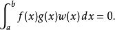
對於兩個函式f和g,可以定義如下的內積:
正交[數學名詞]
正交[數學名詞]這裡引進一個非負的權函式。這個內積叫做帶權{\displaystyle w(x)}的內積。
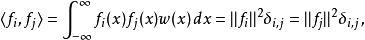
正交[數學名詞]兩個函式 帶權{\displaystyle w(x)}正交,是指它們帶權的內積為零。
正交[數學名詞]由此可以類似定義帶權{\displaystyle w(x)}的模。
正交[數學名詞]一個函式列{f:i= 1, 2, 3, ... }如果滿足:
正交[數學名詞]其中
正交[數學名詞]為克羅內克函式, 那么{f}就稱為 帶權{\displaystyle w(x)}的正交函式族。
進一步地,如果{f}滿足:
正交[數學名詞]
正交[數學名詞]就稱{f}為 帶權 的標準正交函式族。
參見正交多項式。
參看
•正交化
•Gram-Schmidt正交化
•正交分解
•正交矩陣
•正交基
•垂直
![正交[數學名詞] 正交[數學名詞]](/img/d/ad7/nBnauM3X1AzN2UzMyIjN0ETN1UTM1QDN5MjM5ADMwAjMwUzLyYzL1YzLt92YucmbvRWdo5Cd0FmLyE2LvoDc0RHa.jpg)
