簡介
歐拉乘積公式
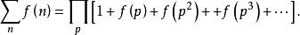
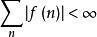
歐拉乘積公式對任意複數 s, 若 則: 。這一公式是瑞士數學家 Leonhard Euler 在1737 年的一篇題為《對無窮級數的若干觀察》的論文中提出並加以證明的, 式中的 n 為自然數 (即正整數),p 為素數。歐拉 乘積公式將一個對自然數的求和表達式與一個對素數的連乘積表達式聯繫在一起, 蘊涵著有關素數分布的重要信息。 這一信息在相隔了漫長的122 年之後終於被 Riemann 所破譯,於是便有了 Riemann 的著名論文 《論小於給定數值的素數個數》。 為了紀念 Riemann 的貢獻, Euler 乘積公式左端的求和式被冠以 Riemann的大名, 並沿用了 Riemann 使用過的記號 ζ(s), 稱為Riemann ζ 函式。
定義
歐拉乘積公式
歐拉乘積公式
歐拉乘積公式
歐拉乘積公式
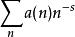
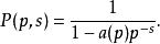
歐拉乘積公式假設 為一積性函式,則狄利克雷級數 等於歐拉乘積 其中,乘積對所有素數 進行, 則可表示為
歐拉乘積公式
歐拉乘積公式
歐拉乘積公式
歐拉乘積公式這可以看作形式母函式,形式歐拉乘積展開的存在性與 為積性函式兩者互為充要條件。 為完全積性函式時可得到一重要的特例。此時 為等比級數,有
歐拉乘積公式
歐拉乘積公式當 時即為黎曼ζ函式,更一般的情形則是狄利克雷特徵。
歐拉乘積公式
歐拉乘積公式歐拉乘積公式:對任意複數 s, 若 則
證明
Euler 乘積公式的證明十分簡單, 唯一要小心的就是對無窮級數和無窮乘積的處理,不能隨意使用有限級數和有限乘積的性質。 我們在下面證明的是一個更為普遍的結果, 歐拉 乘積公式將作為該結果的特例出現。
歐拉乘積公式
歐拉乘積公式廣義 Euler 乘積公式: 設 f(n) 為滿足 , 且 的函式 (n、 n均為自然數), 則:
歐拉乘積公式
歐拉乘積公式
歐拉乘積公式
歐拉乘積公式證明 : 由於 , 因此 絕對收斂。 考慮連乘積中 的部分 (有限乘積), 由於級數絕對收斂, 乘積又只有有限項, 因此可以使用與普通有限求和及乘積一樣的結合律及分配律。 利用 f(n) 的乘積性質可得:
歐拉乘積公式其中右端求和對所有只含 N 以下素數因子的自然數進行 (每個這樣的自然數只在求和中出現一次, 因為自然數的素數分解是唯一的)。 由於所有本身在 N 以下的自然數顯然都只含 N 以下的素數因子, 因此 Σ'f(n) = Σf(n) + R(N), 其中 R(N) 為對所有大於等於 N 但只含 N 以下素數因子的自然數求和的結果。 由此我們得到:
歐拉乘積公式
歐拉乘積公式
歐拉乘積公式
歐拉乘積公式
歐拉乘積公式
歐拉乘積公式要使廣義歐拉乘積公式成立, 只需證明 即可。 而這是顯然的, 因為 而 表明 , 從而。
歐拉乘積公式由於, 因此廣義 Euler 乘積公式也可以寫成:
歐拉乘積公式
歐拉乘積公式
歐拉乘積公式
歐拉乘積公式在廣義 歐拉乘積公式中取
, 則顯然對應於歐拉 乘積公式中的條件而廣義 Euler 乘積公式退化為 Euler 乘積公式。從上述證明中我們可以看到, Euler 乘積公式成立的關鍵在於每個自然數都具有唯一素數分解式這一基本性質, 即所謂的算術基本定理 (fundamental theorem of arithmetic) 。
