標準公差因子
零件的製造誤差不僅與加工方法有關,而且與基本尺寸的大小有關,為了便於評定零件尺寸公差等級的高低,規定了標準公差因子。
標準公差因子是計算標準公差的基本單位,是制定標準公差系列值的基礎。
通過大量的生產實踐和科學實驗,經統計分析發現,零件的加工誤差與基本尺寸呈立方拋物線的關係。當尺寸≤500mm時,國家標準的標準公差因子按下式計算:
標準公差
標準公差式中,——標準公差因子,單位為μm;
標準公差——基本尺寸分段內首尾兩個尺寸的幾何平均值,單位為mm。
在上式中,前面一項主要反映加工誤差,第二項用來補償測量時溫度變化引起的公稱尺寸成正比的測量誤差。但是隨著公稱尺寸的逐漸增大,第二項的影響越來越顯著 。
對大尺寸而言,溫度變化引起的誤差隨直徑的增大呈線性關係。
當公稱尺寸>500~3150mm時,國家標準的標準公差因子按下式計算:
標準公差
標準公差當公稱尺寸>3150mm時,以為基礎來計算標準公差,也不能完全反映實際出現的誤差規律,但尚未確定出合理的計算公式。
標準公差等級
國家標準規定的公差等級是確定零件尺寸精度的等級。國家標準規定的標準公差是由公差等級係數和標準公差因子的乘積值來決定的。在基本尺寸一定的情況下,公差等級係數是決定標準公差大小的唯一參數。
從IT01~IT18級,公差等級依次降低,而相應的標準公差數值則依次增大 。
標準公差當尺寸≤500mm,IT5以下各級標準公差,按下表計算,每一個公差等級有一個確定的公差等級係數,如表中的7,10,16,…,2500等數值,由該表可以看出,從IT6~IT18級,公差等級係數按R5優先數系增加,公比為 ,即每隔5個等級公差增加10倍。
| 公差等級 | IT5 | IT6 | IT7 | IT8 | IT9 | IT0 | IT 10 | IT 12 | IT 13 | IT 14 | IT 15 | IT 16 | IT 17 | IT 18 |
| 公差值/μm | 7 i | 10i | 16i | 25 i | 40 i | 64 i | 100i | 160i | 250i | 400i | 640i | 1000i | 1600i | 2500i |
對尺寸≤500mm的更高等級(如IT01,IT0和IT1等級),主要考慮測量誤差,公差計算採用線性關係式,如下表所示:
| 公差等級 | IT01 | IT0 | IT1 |
| 公差值/μm | 標準公差 | 標準公差 | 標準公差 |
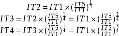
標準公差標準公差IT2~IT4的數值,大約在IT1~IT5級數值之間近似成幾何級數,比值為 ,即IT2,IT3,IT4級的標準公差按下式計算:
標準公差從上述情況可以看出,國家標準各級之間的公差分布規律性較強,便於向高、低等級延伸,如IT17和IT18就是在ISO公差制基礎上延伸的。若需更高精度的公差,例如,常用尺寸段需要IT02,亦可延伸。因為IT01至IT1的公差計算式中的係數均採用了優先數系R10/2,由此可推出IT02的公差計算式為:
標準公差
標準公差當有需要時,還可插入中間等級,例如 等等,即按優先數級R10插入,以滿足廣泛和特殊的需要。
當尺寸>500mm時,IT5以下各級標準公差同樣以公差等級係數和標準公差因子的乘積來計算,如下表所示:
| 公差等級 | IT5 | IT6 | IT7 | IT8 | IT9 | IT10 | IT11 | IT12 | IT13 | IT14 | IT15 | IT16 | IT17 | IT18 |
| 公差值/μm | 7I | 10I | 16I | 25I | 40I | 64I | 100I | 160I | 250I | 400I | 640I | 1000I | 1600I | 2500I |
標準公差
標準公差對尺寸>500mm的更高等級的標準公差IT01,IT0,IT1,分別按 計算。標準公差IT2~IT4,同樣也在IT1~IT5級數值之間近似幾何級數,比值為 。
基本尺寸分段
標準公差根據標準公差計算公式,每有一個基本尺寸就應該有一個相對應的公差值。但在生產實踐中基本尺寸太多,就會形成一個龐大的公差數值表,給生產帶來很多困難。為了減少公差數目,統一公差值,簡化公差表格,特別考慮到便於套用,國家標準對基本尺寸進行了分段 。尺寸分段後,對同一尺寸分段內的所有基本尺寸,在相同公差等級的情況下,規定相同的標準公差。國家標準基本尺寸主段落和中間段落的分段見右圖所示。
具體加工等級
| 階段名稱 | 尺寸公差 等級範圍 | 尺寸公差等 級範圍(μm) | 相應加工方法 |
| 粗加工 | IT12~IT11 | 25~12.5 | 粗車鏜銑刨,鑽孔 |
| 半精加工 | IT10~IT9 | 6.3~3.2 | 半精車鏜銑刨,擴孔等 |
| 一般精加工 | IT8~IT7 | 1.6~0.8 | 精車鏜銑刨,粗磨拉鉸等 |
| 精密精加工 | IT7~IT6 | 0.8~0.2 | 精粗磨拉鉸等 |
| 精密加工 | IT5~IT3 | 0.1~0.008 | 研磨、珩磨、 超精細加工等 |
| 超精密加工 | 高於IT3 | 0.012或更低 | 金剛石刀具切削、超精 密磨削和拋光等 |

標準公差
標準公差
標準公差 