定義
極化恆等式
極化恆等式
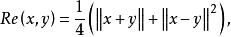
極化恆等式當 是內積空間, 是由內積所導出的範數時,內積也可以用範數來表達。當 是實內積空間時
極化恆等式
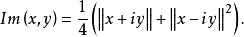
極化恆等式當 是復內積空間時
極化恆等式這兩個等式可以直接從內積的定義導出。等式(1)和(2)稱為 極化恆等式。
相關定理
Aldaz(2009)給出了如下有意義的結果。
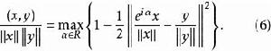
定理1
極化恆等式
極化恆等式設 是復內積空間,對任意非零向量 ,有
極化恆等式
極化恆等式特別地,當 是實內積空間時,
極化恆等式證明: 由極化恆等式(2)得到
極化恆等式
極化恆等式
極化恆等式
極化恆等式
極化恆等式以 分別代替 和 ,並展開右端第一項即可得到式(3)和式(4),式(5)的證明是類似的。證畢。
在定理1條件下,成立恆等關係
極化恆等式定理2
極化恆等式
極化恆等式設 是復內積空間,對任意非零向量 ,有
極化恆等式
極化恆等式證明:不妨假設 是單位向量,由式(3)知,
極化恆等式
極化恆等式
極化恆等式等號成立若且唯若存在 使得 ,證畢。
由式(6)容易得到GBS不等式。

