定義
對於QED中光子場兩點編時函式的計算可以用如圖1所示的費曼圖逐階微繞:
圖1其中第一項就是光子的自由編時傳播子,第二項則是真空極化圖。
我們可以如圖2標記真空極化圖的動量:
圖2則圖2對應的費曼振幅可以表達為:
真空極化圖計算
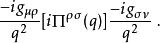
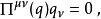
由瓦德恆等式我們可以得知:
真空極化圖
真空極化圖由此我們可以得到唯一可能的洛倫茲結構為:
真空極化圖
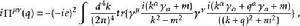
真空極化圖對於圖二我們可以求解 :
真空極化圖利用維數正規化的方法最終計算可得:
真空極化圖其中d無限接近於4但小於4。
光子自能圖的計算不但可以給出光子場的場強重整化,而且可以給出電荷重整化。
