楊輝基本資料
楊輝(1433-1483),字廷章,號退齋,明朝播州(今貴州遵義)人。明英宗正統十四年(公元1449年)襲播州宣慰使職。在職三十四年,修學延師,育才倡文。其時,播州周圍數次爆發少數民族起義,楊輝輸粟
楊輝以助官軍,領兵鎮壓,曾於景泰三年(公元1452年)和景泰六年(公元1455年)兩次受明代宗"賜敕獎諭"和"頒賞",並曾奉詔入覲,陪慶成宴於奉天殿,得賜一品章服及金幣諸物。楊輝諳於武事,廣涉經史,長於草書。他於明成化年間修築團溪白果坪的"雷水堰",以灌溉千畝白果莊田,至今效益不減當年。明憲宗成化十九年(公元1483年)卒。
一天,台州府的地方官楊輝出外巡遊,路上,前面銅鑼開道,後面衙役殿後,中間,大轎抬起,好不威風。迷人的春天慷慨地散布著芳香的氣息,帶來了生活的歡樂和幸福。杜鵑隱藏在芒果樹的枝頭。用它那圓潤、甜蜜、動人心弦的鳴囀來喚醒人們的希望。成群的畫眉鳥像迎親似的蹲在樹的枝丫上,發出婉麗的啼聲。楝樹、花梨樹和栗樹都仿佛被自身的芬芳熏醉了。楊輝撩起轎簾,看那雜花生樹,飛鳥穿林,真乃春色怡人淡復濃,喚侶黃鸝弄曉風。更是一年好景,旖旎風光。走著、走著,只見開道的鏜鑼停了下來,前面傳來孩童的大聲喊叫聲,接著是衙役惡狠狠的訓斥聲。楊輝忙問怎么回事,差人來報:“孩童不讓過,說等他把題目算完後才讓走,要不就繞道。”楊輝一看來了興趣,連忙下轎抬步,來到前面。衙役急忙說:“是不是把這孩童哄走?”楊輝摸著孩童頭說:“為何不讓本官從此處經過?”孩童答道:“不是不讓經過,我是怕你們把我的算式踩掉,我又想不起來了。”“什麼算式?”“就是把1到9的數字分三行排列,不論直著加,橫著加,還是斜著加,結果都是等於15。我們先生讓下午一定要把這道題做好。我正算到關鍵之處。”楊輝連忙蹲下身,仔細地看那孩童的算式,覺得這個數字,從哪見過,仔細一想,原來是西漢學者戴德編纂的《大戴禮》書中所寫的文章中提及的。
楊輝和孩童倆人連忙一起算了起來,直到天已過午,倆人才舒了一口氣,結果出來了,他們又驗算了一下,覺得結果全是15,這才站了起來。我們把算式擺出來:(在左邊的方塊中,無論你橫、豎、斜著加結果都是15。請試一下)孩童望著這位慈祥和善的地方官說:“耽擱你的時間了,到我家吃飯吧!”楊輝一聽,說:“好,好,下午我也去見見你先生。”孩童望著楊輝,淚眼汪汪,楊輝心想,這裡肯定有什麼蹊蹺,溫和地問道:“到底是怎么回事?”孩童這才一五一十把原因道出:原來這孩童並未上學,家中窮得連飯都吃不飽,哪有錢讀書。而這孩童給地主家放牛,每到學生上學時,他就偷偷地躲在學生的窗下偷聽,今天上午先生出了這道題,這孩童用心自學,終於把它解決了。楊輝聽到此,感動萬分,一個小小的孩童,竟有這番苦心,實在不易。便對孩童說:“這是10兩銀子,你拿回家去吧。下午你到學校去,我在那兒等你。”下午,楊輝帶著孩童找到先生,把這孩童的情
楊輝教書先生對楊輝的清廉為人非常敬佩,於是倆人談論起數學。楊輝說道:“方才我和孩童做的那道題好像是《大戴禮》書中的?”那先生笑著說:“是啊,《大戴禮》雖然是一部記載各種禮儀制度的文集,但其中也包含著一定的數學知識。方才你說的題目,就是我給孩子們出的數學遊戲題。”教書先生看到楊輝疑惑的神情,又說道:“南北朝的甄鸞在《數術記遺》一書中就寫過:“九宮者,二四為肩,六八為足,左三右七,戴九履,一五居中央。”輝默念一遍,發現他說的正與上午他和孩童擺的數字一樣,便問道:“你可知道這個九宮圖是如何造出來的?”教書先生也不知出處。楊輝回到家中,反覆琢磨,一有空閒就在桌上擺弄著這些數字,終於發現一條規律。他把這條規律總結成四句話:九子斜排,上下對易,左右相更,四維挺出”。就是說:一開始將九個數字從大到小斜排三行,然後將9和1對換,左邊7和右邊3對換,最後將位於四角的4、2、6、8分別向外移動,排成縱橫三行,就構成了九宮圖。
下面我們演示一下:(九子斜排)(上下對易,左右相更)(四維挺出)
按照類似的規律,楊輝又得到了“花16圖”,就是從1到16的數字排列在四行四列的方格中,使每一橫行、縱行、斜行四數之和均為34。讀者諸君,不妨一試。後來,楊輝又將散見於前人著作和流傳於民間的有關這類問題加以整理,得到了“五五圖”、“六六圖”、“衍數圖”、“易數圖”、“九九圖”、“百子圖”等許多類似的圖。
楊輝把這些圖總稱為縱橫圖,並於1275年寫進自己的數學著作《續古摘奇算法》一書中,並流傳後世。
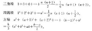
楊輝有一次,楊輝得到一本《黃帝九章算法細草》,這是北宋數家賈憲寫的。這裡面有不少了不起的成就,如賈憲描畫了一張圖,叫作“開方作法本源圖”。楊輝把賈憲的這張畫忠實地記錄下來,並保存在自己的《詳解九章算術》一書中。後來人們發現,這個大三角形不僅可以用來開方和解方程,而且與組合、高階等差級數、內插法等數學知識都有密切關係。
在西方,直到16世紀才有人在一本書的封面上繪出類似的圖形。法國數學家巴斯加在1654年的論文中詳細地討論了這個圖形的性質,所以在西方又稱“巴斯加三角”。楊輝除上述成就外,還分別寫了《日用算法》、《乘除通變本末》和《田畝比類乘除捷法》等書,這為後世的人們了解當時的數學面貌提供了極為重要的資料。楊輝的幾部著作極大地豐富了我國古代數學寶庫,為數學科學的發展做出了卓越的貢獻,他不愧為“宋元四大家”之一。
著作簡介
他著名的數學書共五種二十一卷。著有《詳解九章算法》十二卷(1261年)、《日用算法》二卷(1262年)、《乘除通變本末》三卷(1274年)、《田畝比類乘除算法》二卷(1275年)、《續古摘奇算法》二卷(1275
楊輝他在《續古摘奇算法》中介紹了各種形式的"縱橫圖"及有關的構造方法,同時"垛積術"是楊輝繼沈括"隙積術"後,關於高階等差級數的研究。楊輝在"纂類"中,將《九章算術》246個題目按解題方法由淺入深的順序,重新分為乘除、分率、合率、互換、二衰分,勾股等九類。他非常重視數學教育的普及和發展,在《算法通變本末》中,楊輝為初學者制訂的"習算綱目"是中國數學教育史上的重要文獻。楊輝的數學著作甚多,他編著的數學書共五種二十一卷,在他的著作中收錄了不少現已失傳的古代數學著作中的算題和算法.楊輝的數學研究與教育工作的重點是在計算技術方面.揚輝對籌算乘除捷算法進行了總結和發展,創“縱橫圖”之名.繼沈括“隙積術”之後,關於高階等差級數的研究創“垛積術”.又將《九章算術》246個題目按解題方法由淺入深的順序,重新分為九類.
楊輝是一位傑出的數學教育家、重視數學的普及《詳解九章算法》現傳本已非全帙,編排也有錯亂。從其序言可知,該書乃取魏劉微注、唐李淳風等注釋、北宋賈憲細草的《九章算術》中的80問進行詳解。在《九章算術》9卷的基礎上,又增加了3卷,一卷是圖,一卷是講乘除算法的,居九章之前;一卷是纂類,居書末今卷首圖、卷l乘除,卷2方田、卷3粟米、卷4衰分的衰分、反衰諸題、卷6商功的諸同功問題已佚。卷4衰分下半卷、卷5少廣存《永樂大典》殘卷中,其餘存《宜稼堂叢書》中。從殘本的體例看,該書對《九章算術》的詳解可分為:一、解題。內容為解釋名詞術語、題目含義、文字校勘以及對題目的評論等方面。二、明法、草。在編排上,楊輝採用大字將賈憲的法、草與自己的詳解明確區分出來。三、比類。選取與《九章算術》中題目算法相同或類似的問題作對照分析。四、續釋注。在前人基礎上,對《九章算術》中的80問進一步作注釋。楊輝的“纂類”,突破《九章算術》的分類格局,按照解法的性質,重新分為乘除、分率、合率、互換、衰分、疊積、盈不足、方程、勾股九類。楊輝在《詳解九章算法》一書中還畫了一張表示二項式展開後的係數構成的三角圖形,稱做“開方做法本
楊輝三角楊輝三角是一個由數字排列成的三角形數表,一般形式如下:
1
11
121
1331
14641
15101051
1615201561
楊輝三角最本質的特徵是,它的兩條斜邊都是由數字1組成的,而其餘的數則是等於它肩上的兩個數之和。
《日用算法》,原書不傳,僅有幾個題目留傳下來。從《算法雜錄》所引楊輝自序可知該書內容梗概:“以乘除加減為法,秤斗尺田為問,編詩括十三首,立圖草六十六問。用法必載源流,命題須責實有,分上下卷。”該書無疑是一本通俗的實用算書。
《乘除通變本末》三卷,皆各有題,在總結民間對等算乘除法的改進上作出了重大貢獻。上卷叫《算法通變本末》,首先提出“習算綱目”,是數學教育史的重要文獻,又論乘除算法;中卷叫《乘除通變算寶》,論以加減代乘除、求一、九歸諸術;下卷叫《法算取用本末》,是對中卷的註解。
《田畝比類乘除捷法》,其上卷內容是《詳解九章算法》方田章的延展,所選例子非常貼近實際。下卷主要是對劉益工作的引述。楊輝在《田畝比類乘除捷法》序中稱“中山劉先生作《議古根源》。……撰成直田演段百間,
楊輝《續古摘奇算法》上卷首先列出20個縱橫圖,即幻方。其中第一個為河圖,第二個為洛書,其次,四行、五行、六行、七行、八行幻方各兩個,九行、十行幻方各一個,最後有“聚五”“聚六”:聚八”“攢九”“八陣”“連環”等圖。有一些圖有文字說明,但每一個圖都有構造方法,使圖中各自然數“多寡相資,鄰壁相兼”湊成相等的和數。卷下評說《海島》也有極高的科學價值。
楊輝著作大都注意套用算術,淺近易曉。其著作還廣泛徵引數學典籍和當時的算書,中國古代數學的一些傑出成果,比如劉益的“正負開方術”,賈憲的“開方作法本源圖”“增乘開方法,”幸得楊輝引用,否則,今天將不復為我們知曉。
研究成果
楊輝的數學研究與數學教育工作之重點在於改進籌算乘除計算技術,總結各種乘除捷算法,這是由當時的社會狀況決定的。唐代中期以後,社會經濟得到較大發展,手工業和商業交易都具有相當的規模,因而,人們在生產、生活中需要數學計算的機會,較前大大增加,這種情況迫切要求數學家們為人們提供便於掌握、快捷準確的計算
楊輝楊輝生活在南宋商業發達的蘇杭一帶,進一步發展了乘除捷算法。他說:“乘除者本鉤深致遠之法。《指南算法》以‘加減’、‘九歸’、‘求一’旁求捷徑,學者豈容不曉,宜兼而用之。”在前人的基礎上,他提出了“相乘六法”:一曰“單因”,即乘數為一位數的乘法;二曰“重因“,即乘數可分解為兩個一位數的乘積的乘法;三曰“身前因”,即乘數末位為一的兩位數乘法,比如257×21=257×20十257,實際上,身前因就是通過乘法分配律將多位數乘法化為一位數乘法和加法來完成。四曰相乘,即通常的乘法;五曰“重乘”,就是乘數可分解為兩因數的積,作兩次相乘;六曰“損乘”,是一種以減代乘法,比如,當乘數為9、8、7時,可以10倍被乘數中,減去被乘數的—、二、三倍。楊輝還進一步發展了唐宋相傳的求一算法,總結出了“乘算加法五術”、“除算減法四術”。求一實際上就是通過倍、折、因將乘除數首位化為一,從而用加減代乘除。楊輝的“乘算加算加法五
楊輝楊輝的另一重要成果是垛積術。這是楊輝繼沈括“隙積術”之後,關於高階等差級數求和的研究。在《詳解九章算法》和《算法通變本末》中記敘了若干二階等差級數求和公式,其中除有一個即沈括的當童垛外,還有三角垛、四隅垛、方垛三式,上述三式可由沈括之芻童公式推出。
對數學重新分類也是楊輝的重要數學工作之一。楊輝在詳解《九章算術》的基礎上,專門增加了一卷“纂類”,將《九章》的方法和246個問題按其方法的性質重新分為乘除、分率、合率、互換、衰分、疊積、盈不足、方程、勾股九類。楊輝不僅是一位著述甚豐的數學家,而且還是一位傑出的數學教育家。他一生致力於數學教育和數學普及,其著述有很多是為了數學教育和普及而寫。《算法通變本末》中載有楊輝專門為初學者制訂的“習算綱目”,它集中體現了楊輝的數學教育思想和方法。
中國知名資產管理專家
基本資料
楊輝 中文名:楊輝
外文名:AdamYang
國籍:中國
民族:漢族
職業:企業家、資產管理專家
主要成就
楊輝 楊輝先生擁有十多年的金融投資經驗,創立了中國證券市場六大類增強型指數。在證券投資、衍生品投資、私募股權投資等方面均有成功案例,是國內著名的資產管理專家。
過去13年管理的基金年化投資收益率超過25%。2008年金融危機席捲全球,導致多間相當大型的金融機構倒閉或被政府接管,楊輝先生以其獨到的戰略性眼光,提出PAW投資策略,逆勢而上,使其管理的基金翻了8.8倍,轟動了整個金融界。
他創辦了漢家族辦公室(HMCFamilyOffice),將FamilyOffice服務體系率先引進中國,不僅堅持其已有的服務體系,並且結合中國的國情,與中國文化相融合,為中國FamilyOffice服務行業奠定了行業標準並指明了行業發展方向。
職位:華民創富董事長兼首席投資官、漢家族辦公室創始人。
著述:《中國私募基金(2011)》。
人生觀
楊輝 人當追求一種低調而有品位的人生,楊輝追求的人生觀就像茶那樣清新而淡雅。“以勤為富方能致遠”是楊輝先生始終秉承的信念。他時刻教育員工,要凡事感恩、做事勤奮,無論對於自身的長遠規劃還是對於工作而言,只有勤奮而心懷感恩的人才能在未來的路上走得更遠、飛得更高。
職業發展
楊輝 1999-2001年:就職於長盛基金管理有限公司、特華投資控股有限公司;
2001至今:創辦北京華民創富投資控股有限公司及上海、深圳、香港分公司;會同國內多位經濟學家,主持編寫了中國私募基金行業研究報告《中國私募基金(2011)》。
管理之道
楊輝 漢家族辦公室的創始人楊輝先生對企業管理有其獨到的心得,提出“開拓、開放、共創、共享”的企業管理理念,踐行“識人、用人、留人、育人”的人才機制。
漢家族辦公室秉承以家族利益為先的服務理念,專注於家族財富與家族事務的綜合打理,為會員提供私屬的全方位服務。因而,楊輝先生要求他的每一位員工兢兢業業工作的同時,不斷為自己補充能量,學習新知識,用最專業的知識、最精湛的技藝服務於每一位客戶,並提升自我涵養,做好長遠規劃。
楊輝與中國關愛基金會創辦人麥修(MattewA.Dalio)
2000年,16歲的美國大男孩麥修(MattewA.Dalio)抱著回饋中國人的初衷,憑藉自己的實力創辦了中國關愛基金會(ChinaCareFoundation)這一美國民間組織,13年來致力於為中國孤殘兒童籌集善款,使中國孤殘兒童的生活變美好。
一個同樣是孩子的美國少年為遙遠的中國孩子籌集善款,這種行為深深地打動了漢家族辦公室的創始人楊輝先生,他深刻反思自己能夠為中國的孤殘兒童做些什麼?
為此,楊輝先生迅速聯繫到麥修(MattewA.Dalio),並且走入北京雙井橋西的“關愛之家”(中國關愛基金會在中國的主要項目)。“關愛之家”的80多名孤殘兒童,來自於中國各地的福利院。他們或等待著一場改變命運的手術,或正接受術後觀察。楊輝先生非常欽佩這個美國大男孩的舉動,決定與他合作共同將愛心傳遞下去。
2012年9月8日,由漢家族辦公室的創始人楊輝先生與全國政協委員、著名京劇表演藝術家孫萍女士共同發起的,由中社社會工作發展基金會主辦的“愛心傳遞”慈善晚宴在北京麗晶酒店成功落下帷幕。周文重、呂鳳鼎、恬妞、汪小菲、羽泉、艾敬等300餘名社會名流、企業精英和演藝明星出席了晚宴,嘉賓用自己的方式為中國的孤殘兒童奉獻愛心。
一個異國孩子的愛心之舉影響了大洋彼岸的中國人民,楊輝先生表示,他會將愛心事業不斷地傳遞下去,為孤殘兒童的明天奉獻自己的力量。
出版著作
楊輝
楊輝 近年來,私募基金在中國發展迅速,已成為資本市場中的一支重要力量。但是由於缺乏合法地位和監管規範,私募基金長期難以規範有序地發展。揭開私募基金的神秘面紗,展現私募基金髮展的歷史、現狀及趨勢,對於
促進私募基金行業的健康發展有重要意義。本書首先概述私募基金,對私募證券基金與私募股權基金等各主要私募基金形態做了介紹,其次,在分析私募基金髮展歷程、發展環境和監管環境的基礎上,從結構、業績與行為等方面對私募基金行業的發展現狀進行較為全面的展現。再次,深入分析了私募企業的管理特徵、人才特徵和產品特徵,總結了私募行業陽光化、差異化和創新化的發展趨勢。最後,從監管政策、行業規範、公司治理、產品創新和人才建設等方面提出了行業發展建議。
本書突出了私募基金髮展的歷史視角和國際視角。通過解析中國私募基金髮展的歷史階段及其特徵,考察成熟市場上私募基金髮展歷程及其監管制度的相應演變,來展望中國私募基金的發展前景。
著作摘錄
(1)私募基金法律風險凸顯
私募基金在發展中遇到了不同問題,這些問題的產生都來自於一個重要根源;私募基金沒有明確的法律地位,監管和法律規範上存在缺失。由於沒有明確的法律地位,導致投資人和管理人權益都缺乏有效法律保障;私募基金借道信託時,約束多、費用高;私募基金的發展容易受到政策干擾。
——摘自:《中國私募基金(2011)》
楊輝 (2)私募基金有望獲得合法身份
長期以來,我國關於私募基金的法律規定和相關原則都比較模糊,一直沒有形成規範和明確的司法解釋,導致大量的私募基金遊走在合法合不合法的邊緣。經過近幾年的“生長”,私募基金的市場規模已經超過1萬億元。私募基金的存在既豐富了機構投資者隊伍,也有利於股票的價值發現。以市場化導向為原則,合理監管數量眾多的私募機構,給予私募基金合法的市場參與者身份,將有助於中國資本市場的良性發展。因此有必要及時制定有針對性的法律法規,將陽光私募的發展納入正常的軌道。
——摘自:《中國私募基金(2011)》
(3)陽光私募基金的創新之處
陽光私募基金通過建立以信託關係為基礎的代客理財機制,將私約資金改造為金錢信託。相較於早期的私募證券投資基金,陽光私募的制度創新主要有四點:
一是取消資金委託中關於最低或固定回報率的私約,建立信託性資金委託制度,並將資金交由第三方銀行託管。
二是取消管理人參加資金運作收益分配的私約,實行管理人按照信託契約規定獲得管理費和收益分成的制度。
三是取消管理人投入自有資金與委託人資金捆綁投資的私約,嚴格實行管理人與委託人的資金分立賬戶管理制度。
四是改變隱蔽業績信息的做法,定期向投資人披露基金淨值。
這些創新之處使民間私募證券基金從地下走向陽光,並逐漸被越來越多的投資人和基金經理接受。
——摘自:《中國私募基金(2011)》
(4)私募基金行業將進入發展機遇期
私募基金取得合法地位後,我國私募基金行業將能夠擺脫政策束縛,降低法律風險,展開差異化競爭,從而進入有序化、透明化發展得機遇期。
(5)中國私募基金證券發展歷程
我國私募證券基金的產生和發展有其必然性,這種必然性來源於資本市場對私募證券基金這種投融資方式的供給和需求,來源於私募證券基金一定程度上對公墓基金制度的創新。也就是說,私募證券基金的產生和發展史捕捉制度的獲利機會而進行制度變遷的結果。為什麼要進行私募證券基金的制度變遷,是誰在發動這些制度變遷,這些制度變遷是如何進行的,進行到了哪一步,效果如何,只有真正搞清楚了這些問題,才能釐清我國私募證券基金的發展歷程,才能正確評價我國私募證券基金的發展。
(6)經濟社會發展進入新階段
展望未來,隨著勞動力和環保成本的提升,製造業的成本優勢將有所削弱,出口對經濟的拉動作用可能長期維持在較低水平,出口型行業將面臨成本提高和人民幣升值的雙重壓力,低毛利、高能耗、勞動密集型的出口型行業將受到較大的衝擊。而投資受制於信貸和資源環境約束,預計增速將有所放緩。由於政府導向和供需關係的差別,投資行業內部將出現明顯的分化,產能壓力大、成本控制力差的傳統行業的波動可能進一步加大,受到政策支持的戰略新興行業會迎來發展機遇。提高居民收入和保障水平、刺激消費政策可能成為常態,消費增速預計將保持穩中有升的態勢。
楊輝 通脹維持在較高水平使得我國實際利率可能長期保持在較低水平,出現負利率的頻率也將提高,居民資產保值增值的意願進一步增強,資產管理行業仍將處於發展得機遇期。同時結構調整和高通脹對國民經濟各行業也將產生深遠影響,經濟波動周期可能縮短、行業分化加劇,對投資者進行資產配置和品種選擇提出了更高的要求。
(7)多層次的資本市場初步建立
股指期貨的推出,豐富了私募基金進行風險控制的手段,也使得我國本土對沖基金的產生成為可能。但在操作層面,目前占陽光私募主要形式的契約型私募基金仍難以參與股指期貨。同時與成熟市場相比,我們的金融衍生品種仍然很少。衍生品具有風險管理和價格發現的功能,衍生品的適度發展對經濟和資本市場是有利的。我們呼籲政策上儘快打通私募基金參與股指期貨的通道,同時積極推出有利於投資者進行風險管理的產品。
(8)中國私募基金監管環境
在國內私募基金越來越發達的今天,我們亟須借鑑成熟市場私募基金的監管和國內公募基金的監管經驗,結合我國金融市場的特點和私募基金的發展階段,建立一套完整的私募基金監管體系,對私募基金進行適當合理監管,引導私募基金規範發展,促進金融市場的健康發展和維護金融市場的穩定。
(9)陽光私募基金管理行業市場集中度
產業的市場集中度是指產業的生產經營集中程度,一般用該產業中較大的企業所擁有的生產要素或其產銷量占整個產業的比重來表示。產業組織理論以產業集中度作為反映市場競爭程度高低的一個重要指標,其基本邏輯是:較高的集中度表明更多的銷售額或其他經濟活動被很少一部分企業所控制,因此這一小部分企業擁有相當大的市場支配力,特別是價格支配力,進而具備一定程度的壟斷能力,使市場的競爭性較低。管理資產規模與產品發行是分析私募基金管理行業集中度的兩個重要因素。
(10)業績排名波動
儘管陽光私募的整體業績表現無論是在長短期還是在牛熊市中的表現都有可圈可點之處,但進一步研究單個產品,則可以發現:陽光私募的短跑冠軍往往長跑不佳,長跑冠軍在短跑中成績也不突出;牛市中排名靠前的產品在熊市中蹤跡難尋,熊市中能逆市獲利的產品在牛市中難以擠入“優等生”行列。產品的業績排名波動性非常高,業績難以保持持續性。
(11)風險調整後的收益率
評價一隻基金產品並不能只看其獲得的收益,各種對陽光私募產品的評級中也並不是把收益最高的產品評為5星,因為基金較高的淨值增長率可能是在承受更高風險的情況下取得的。預期報酬越高,投資人所需承擔的風險也越高;反之,預期投資收益越低,需承擔的波動風險就越低。投資者選擇產品時,追求一定風險下的收益最大化或一定收益下的風險最小化。風險調整後的收益率是一個可以反映這一原則的指標,它綜合考慮收益和風險,以排除風險因素對績效評估的不利影響。
(12)私募證券投資基金行業的發展動向
私募證券基金的陽光化有利於促進基金行業的發展。陽光化私募基金的市場化程度較高,其發展壯大將提升基金市場的競爭度,給公募基金帶來競爭壓力,從而迫使公墓基金提高服務質量和管理水平。而近年來,私募基金憑藉自身優勢吸引了大批公墓基金的人才,這也促使公墓基金不得不尋求自身的改革。因此,整個基金市場的效率得到了提升。基金行業將隨著陽光化私募基金的發展而迸發出新的活力。
楊輝
楊輝 (13)陽光私募組織結構的特點
與公募企業、證券公司和信託公司相比,陽光私募企業的組織結構最為簡單。這與私募企業自身特點也有一定關係,私募企業服務的對象是少數特定的投資者,他們對運作的靈活性要求高,這意味著過於複雜龐大的組織結構反而不利於私募企業的自身發展,因此簡單的U型組織結構已經可以滿足私募企業的需求。
(14)私募股權投資企業發展狀況
由於私募股權投資的發展從一開始就肩負著政府引導投資和引進外資的任務,因此我國私募股權投資企業中,國有企業和外資企業占據很大一部分,而且國有企業和外資企業在資金實力上具有其他資本難以企及的實力和優勢。反觀私募其他資本尤其是民營資本,儘管這兩年發展迅速,但依舊數量較少,資金和實力薄弱,難以同實力雄厚的國有和外資相抗衡。這與私募證券投資企業截然不同。
(15)中國私募房地產基金概況
房地產行業是我國私募股權基金投資的新興方向,相對於國外成熟的房地產基金行業,我國私募房地產基金尚處於起步階段。
目前行業中對於私募房地產基金的分類方法很多,通常分為兩類,一類是信託公司發行的信託基金,另一類是PE管理公司發行的私募股權房地產基金。
從業經歷
楊輝先生是國際另類投資協會會員,精通金融投資業務,任多家國有大中型企業和民營企業顧問,與境內外多家金融機構建立了良好的業務聯繫,在企業IPO、再融資、兼併收購、債權債務重組、證券投資、衍生品投資、地產投資、私募股權投資等方面均有豐富經驗。2011年,他會同國內多位經濟學家,主持編寫了中國私募基金行業研究報告《中國私募基金(2011)》。
華民創富投資控股有限公司是中國首家以FamilyOffice為主營業務,以“私屬資產管理”為核心服務的創新型資產管理公司。
華民創富旗下擁有HMCFund、Riskmetri投資風險量化評估系統、金竹聚賢匯等諸多成長型子品牌,以豐富的專業經驗和國際視野為支撐,致力於為高淨值人群提供包括資產配置、資產管理、健康醫療、子女教育、移民諮詢、藝術品鑑賞與投資、參與公益慈善、拓展人脈圈層等全系列高端服務。
華民創富秉承“以勤為富方能致遠”的理念,以獨特的4D資產配置法,由投資專家多對一地為客戶提供精心設計的專業化、個性化投資組合,以自主管理的債券基金、股票基金、礦業基金、地產基金、藝術品基金以及金竹專戶等多類基金,滿足客戶多元化的資產管理需求,最終實現人生的自由、自主和自在。
商業觀點
楊輝 1、隨著高淨值人群數量的繼續攀升,市場上資產規模達到一定要求的投資客戶也將促成新一輪的爭奪戰。對此,楊輝先生表示,不要盲目地爭搶投資者,要更看重準確的客戶定位以及符合客戶實際的投資理念,高端金融服務行業在未來三年應將重點放在FamilyOffice商業模式上,專業地為客戶進行資產管理服務。
2、楊輝先生指出:在中國經濟繼續保持較快發展的背景下,中國富裕家族會呈現繼續快速增長的趨勢,隨著中國富裕家族財富意識的覺醒,尋找合適的家族財富管理模式已成為他們面臨的最為緊迫的任務。
3、政策環境的變化也會對金融市場產生一定影響,因此,投資者應當研究政策。楊輝先生稱:從2013年“兩會”以後,可能會從完全行政化的政策手段過渡到更市場化的手段來進行巨觀調控,如果出現這類信號,就完全具備新一輪經濟成長的基礎。
4、投資者應該如何投資?楊輝先生建議投資者應當重大勢,不能只把大勢看作股票指數,而是從國際和國內的巨觀經濟形勢到行業配置,再到政策研究,同時精選上市公司、精選個股。未來,個人投資會越來越難,但如果個人願意去學習,會有比機構更好的優勢。
5、股市是否是晴雨表?楊輝先生認為股市是經濟的晴雨表,但是它往往是天氣預報,做個恰當的比喻,即相當於一個人牽著一個小狗去散步,這個小狗就是股市,人就是實體經濟,有時候小狗會跑得很快,有時候跟你同步走,有時候會比你落後,你千萬別認為股市現在反映的情況,就是我們現在實體經濟的情況,往往是反映市場對未來的預期。
6、什麼是牛市和熊市?楊輝先生認為,當市場主要指數連續12個月或更長時間運行在250日均線之上時,市場處於牛市;當市場主要指數連續12個月或更長時間運行在250日均線之下時,市場處於熊市。
商業活動
楊輝 1、博鰲亞洲論壇民營企業家圓桌會議
2012年4月1日,華民創富董事長、漢家族辦公室創始人楊輝先生參加了“博鰲亞洲論壇民營企業家圓桌會議”,與來自全國各地的30餘家民營企業傑出代表,共話新形勢下民企的生存之道和發展方向。
2、中盟中美投資峰會暨萬科論壇
2012年7月26日,華民創富董事長、漢家族辦公室創始人楊輝先生應邀出席了於深圳萬科國際會議中心舉辦的中盟中美投資峰會暨萬科論壇並在會上作了精彩演講。萬科董事會主席王石先生、萬通控股董事長馮侖先生、中城聯盟輪值主席漆洪波先生等均出席了峰會並做了精彩發言。
此次峰會由百餘名中美優秀投資機構、引領房地產開發創新的業界領袖以及為國際投資導航的高端人士參與,旨在為中國投資人打造直接投資平台,減少商業文化差異,增加投資機會,提高投資回報。
3、第八屆中國優秀企業公民年會
2012年12月2日,第八屆中國優秀企業公民年會在北京人民大會堂舉行。
第八屆中國優秀企業公民年會的舉行,是為了在企業發展領域更好地貫徹黨的十八大精神的體現。從而促進企業更好地樹立科學發展觀,用十八大精神去謀劃全局,促進企業科學發展。同時也鼓勵企業勇擔社會責任,爭做優秀企業公民。
4、中國投資者論壇
2013年1月5日,主題為“重塑理念,重啟股市”的《中國投資者論壇》於北京四季星河酒店隆重舉行,華民創富董事長、漢家族辦公室創始人楊輝先生作為特邀嘉賓參加會議並作重要發言。
首屆北京國際私人定製文化暨設計博覽會
2011年9月15-18日,在北京光華路五號國際會展中心舉辦的首屆北京國際私人定製文化暨設計博覽會上,華民創富在中國首次推出了“私屬資產管理”這一創新的服務模式。
私屬資產管理的核心理念是由多對一的投資專家為客戶提供精心設計的專業化、個性化投資組合,滿足客戶多元化的財富管理需求。通過測評客戶的風險偏好和收益預期,貼合客戶個性,提出完整的資產配置建議,量身定製個性化財富管理方案,為客戶的財富保障、財富增值和財富傳承提供完善的整體解決方案。
2012年中國私募基金髮展研討會暨《中國私募基金(2011)》新書發布會
2012年2月28日,“2012年中國私募基金髮展研討會暨《中國私募基金(2011)》新書發布會”在京舉行。此次研討會由華民創富投資控股有限公司、中國人民大學企業與組織研究中心、中國人民大學中國財政金融政策研究中心共同主辦。還有來自清華大學、北京大學、私募基金、私人銀行、券商、信託公司等單位的學者、專家參加了研討會。國務院參事、央行貨幣政策委員會委員夏斌,國家發改委國際合作中心主任曹文煉,華民創富董事長楊輝和中國人民大學教授汪昌雲等專家學者發表了主題演講。
“愛心傳遞”慈善晚宴成功舉辦
2012年9月8日,由華民創富董事長楊輝先生與全國政協委員、著名京劇表演藝術家、人大藝術研究院院長孫萍女士共同發起的,由中社社會工作發展基金會主辦的“愛心傳遞”慈善晚宴在北京麗晶酒店成功落下帷幕。
這是一場慈善盛典,300餘名社會名流、企業精英和演藝明星出席了晚宴。晚宴得到了多方助力,全部拍品均由眾愛心人士提供。有博鰲亞洲論壇秘書長周文重捐贈的由金庸先生親筆題字的瓷器,申銀萬國證券股份有限公司董事長汪建熙捐贈的國畫《瑞雪》,中國前駐歐盟大使關呈遠、國務院外事辦公室原副主任呂鳳鼎、中國前駐泰國大使張九恆更是現場揮毫潑墨。香港資深藝人恬妞、著名歌手胡海泉、藝術家艾敬等擔任助拍嘉賓,用自己的獨特方式為中國的孤殘兒童奉獻愛心。
“愛心傳遞”慈善晚宴還得到了37位愛心志願者的大力支持,每個愛心志願者都在用自己的方式傳遞著慈善的力量,為中國的孤殘兒童奉獻自己的一份愛心。
2012年6月,作為中國重要嘉賓,受邀參加中國關愛基金(ChinaCareFoundation)在美國康州舉行的慈善活動,為中國孤殘兒童募集善款。
2012年11月,受邀參觀訪問橋水公司(BridgeWater)中國代表處,與橋水公司創始人、世界對沖基金之王——RayDalio先生親切會談。

