有理分數的背景術語
有理分式在代數分式 中,被除數稱為分子,除數稱為分母,兩者都是代數分式的項。
若代數分式的分子或分母中包括複數,則稱為複數分式。
簡分式是其分子或分母都不是分式的代數分式,若一個表示式不是以分式的形式表示,則稱為整式,不過只要將分母設為1,即可以將整式表示為代數分式,帶分式指整式和分式的代數和。
有理分式的代數表達
有理分式
有理分式
有理分式
有理分式
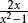
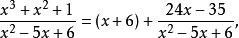
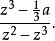
有理分式若代理分式的a和b都是多項式,此分式稱為有理代數分式,或簡稱為有理分式。 有理分式也稱為有理表示式或有理函式。若有理分式滿足,稱為真分式,否則稱為假分式,像 為真分式,而 和 是假分式。假分式可以表示為整式(可能是常數)及真分式的和,例如以上提到的假分式可以表示為
有理分式其中第二項為真有理分式,二個真分式的和也會是真分式,有時會將真分式的分母因式分解,再將真分式表示數個真因式,其分母分別為原分母的因式(或因式次方),這稱為部分分式,例如以下等號右邊的即為部分分式
有理分式因此等號右邊的稱為部分分式,例如真分式積分時會先進行部分分式分解,再進行積分,稱為部分分式積分法。
區別於有理分式的無理分式
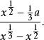
無理分式是指分式中有變數的冪式為小數,像以下的分式即為無理分式
有理分式
有理分式將無理分式變為有理分式的過程稱為有理化,每個根式為單項的無理分式可以用以下的方式有理化:找到所有冪次分母的最低公倍數,再將變數用另一變數的冪次取代,使原來的根式都變為新變數的整數冪次,例如在上式中,冪次分母的最低公倍數為6,因此可以令,得到
有理分式
