概念
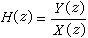
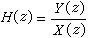
利用Z變換在復頻域(Z域)中對離散時間線性時不變系統在零狀態下激勵信號產生回響的問題進行分析
步驟
離散時間系統的復頻域分析(1)
離散時間系統的復頻域分析(2)
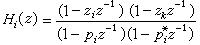
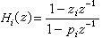
離散時間系統的復頻域分析
離散時間系統的復頻域分析(3)
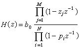
離散時間系統的復頻域分析
離散時間系統的復頻域分析
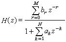
離散時間系統的復頻域分析(4)
離散時間系統的復頻域分析(5)
離散時間系統的復頻域分析
離散時間系統的復頻域分析
離散時間系統的復頻域分析
離散時間系統的復頻域分析
離散時間系統的復頻域分析
離散時間系統的復頻域分析
離散時間系統的復頻域分析
離散時間系統的復頻域分析
離散時間系統的復頻域分析
