數字濾波器
正文
由數字乘法器、加法器和延時單元組成的一種算法或裝置。數字濾波器的功能是對輸入離散信號的數字代碼進行運算處理,以達到改變信號頻譜的目的。數字濾波器一詞出現在60年代中期。由於電子計算機技術和大規模積體電路的發展,數字濾波器已可用計算機軟體實現,也可用大規模集成數字硬體實時實現。數字濾波器是一個離散時間系統。套用數字濾波器處理模擬信號時,首先須對輸入模擬信號進行限帶、抽樣和模數轉換。數字濾波器輸入信號的抽樣率應大於被處理信號頻寬的兩倍。數字濾波器的頻率回響具有以抽樣頻率為間隔的周期重複特性,且以摺疊頻率(即二分之一抽樣頻率點)呈鏡像對稱。為得到模擬信號,數字濾波器處理的輸出數位訊號須經數模轉換、平滑。
數字濾波器具有高精度、高可靠性、可程控改變特性或復用、便於集成等優點。數字濾波器在語聲信號處理、圖像信號處理、醫學生物信號處理以及其他套用領域(如通信、雷達、聲納、儀器儀表和地震勘探等)都得到了廣泛的套用。
數字濾波器有低通、高通、帶通、帶阻和全通等類型。它可以是時不變的或時變的、因果的或非因果的、線性的或非線性的。如果數字濾波器的內部參數不隨時間而變化,則稱為時不變的,否則為時變的。如果數字濾波器在某一給定時刻的回響與在此時刻以後的激勵無關,則稱為因果的,否則為非因果的。如果數字濾波器對單一或多個激勵信號的回響滿足線性條件,則稱為線性的,否則為非線性的。套用最廣的是線性、時不變數字濾波器。
數字濾波器可以按所處理信號的維數分為一維、二維或多維數字濾波器。一維數字濾波器處理的信號為單變數函式序列,例如時間函式的抽樣值。二維或多維數字濾波器處理的信號為兩個或多個變數函式序列。例如,二維圖像離散信號是平面坐標上的抽樣值。
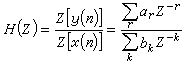
一維數字濾波器 處理一維數位訊號序列的算法或裝置。線性、時不變一維數字濾波器的輸出信號序列y(n)和輸入信號序列x(n)的關係由線性、常係數差分方程描述
(1)
(2)
(3)
有限衝激回響數字濾波器一般採取非遞歸型算法結構,因此也稱非遞歸型數字濾波器。無限衝激回響數字濾波器只能採取遞歸型算法結構,故又稱遞歸型數字濾波器。
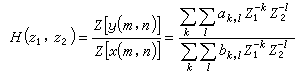
二維數字濾波器 處理二維數位訊號序列的算法或裝置。線性、時不變二維數字濾波器的輸出 y(m,n)與輸入 x(m,n)關係由兩個變數線性常係數差分方程描述:
(4)
(5)
,b
為濾波器係數,Z【y(m,n)】和Z【x(m,n)】分別為輸出和輸入信號序列的二維Z變換。轉移函式H(z1,z2)的二維Z反變換h(m,n)=Z-1【H(z1,z2】,稱為二維數字濾波器的單位衝激回響。二維數字濾波器的輸出y(m,n)亦可表示為輸入信號序列x(m,n)和單位衝激回響h(m,n)的二維離散褶積
(6)
有限字長效應和穩定性 這是研究和設計數字濾波器的重要問題。信號序列和數字濾波器係數均以有限長碼位來表示,稱為有限字長。係數的有限字長影響頻率回響特性,信號序列和運算過程的有限字長影響數字濾波器輸出噪聲。非遞歸型數字濾波器可以保證絕對穩定,而遞歸型數字濾波器則由於有限字長影響可能導致不穩定或產生極限環振盪。
一維數字濾波器的設計理論已相當成熟,但低靈敏度、低噪聲的算法結構仍在研究中。二維和多維數字濾波器的設計,特別是無限衝激回響二維和多維數字濾波器的穩定性等問題,有待進一步研究解決。
參考書目
鄒理和著:《數字濾波器》,國防工業出版社,北京,1979。
A.Antoniou Digital Filter:Analysis and Design,McGraw-Hill Co.,New York,1979.
T.S.Huang,Two Dimensional Digital Signal Processing,Springer-Verlag, Berlin, 1981.

