基本介紹
最低公倍式是整數環中最低公倍數概念的推廣,如果多項式m(x)滿足:
1.m(x)是多項式f(x)與g(x)的公倍式,即f(x)|m(x),且g(x)|m(x);
2.f(x)與g(x)的任一個公倍式都是m(x)的倍式;
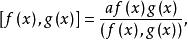
則稱m(x)為f(x)與g(x)的最低公倍式,兩個不全為零的多項式f(x)與g(x)的最低公倍式中首項係數為1的最低公倍式常用[f(x),g(x)]表示,P[x]中非零多項式f(x),g(x)的最低公倍式與最大公因式的關係是
最低公倍式式中a是f(x)與g(x)的首項係數乘積的倒數 。
相關性質定理
定理1 設φ(x)與k(x)都是f(x)與g(x)的最低公倍式,則φ(x)與k(x)只能相差一個非零常數因子 。
證明 因為k(x)是公倍式,φ(x)是最低公倍式,故:
φ(x)|k(x),
同理:
k(x)|φ(x),
所以,k(x)與φ(x)只能相差一個非零常數因子。
定理2 若φ(x)是f(x)與g(x)的最低公倍式,c≠0,則cφ(x)也是f(x)與g(x)的最低公倍式。
證明 首先cφ(x)是f(x)與g(x)的公倍式,此外,若k(x)是f(x)與g(x)的任一公倍式,則由於:
φ(x)|k(x),
必有:
cφ(x)|k(x),
因而cφ(x)是最低公倍式。
推論1 設φ(x)=[f(x),g(x)],則f(x)與g(x)的最低公倍式是且僅是cφ(x)(c≠0)形式的多項式。
定理3 若f(x)|g(x),則[f(x),g(x)] =g(x)。
定理4 若(f(x),g(x)) =1,則[f(x),g(x)]=f(x)g(x)。
定理5 設f(x)和g(x)是數域P.上的非零多項式,d(x)和φ(x)分別是其最大公因式與最低公倍式,則d(x)φ(x)與f(x)g(x)相差一個非零常數因子,即存在c∈P,c≠0,使d(x)φ(x) =cf(x)g(x)。
推論2 兩個多項式f(x)與g(x)的最大公因式與最低公倍式的積等於這兩個多項式的積,即(f(x),g(x)[f(x),g(x)]=f(x)·g(x) 。
求最低公倍式
求最低公倍式的技能指利用兩個 多項式的最大公因式求它們的最小公 倍式,或利用各多項式(大於零次)的標準分解式求其最低公倍式的技能。 它是分式運算中通分的基礎 。
求最低公倍式技能訓練的基本要 求和注意點是:
最低公倍式①會利用兩個非零多項式的最大公因式求它們的最低公倍 式:。但這 一方法不能推廣到求多個非零多項式的最低公倍式,因為一般的
[f(x),g(x),h(x)](f(x),g(x),h(x)) ≠f(x),g(x),h(x)。
②會通過逐次求兩個多項式的最低公倍式來求得兩個以上多項式的最低公倍式。
③會利用所給大於零次的各多項式的標準分解式,求它們的最低公倍式。這時要取各多項式的所有不可約因式, 且冪指數要取它在各標準分解式中的最高次數,所有這樣不可約因式方冪的積才是所求的最低公倍式。並懂得 這一方法的使用是有條件的,需要能求得各個多項式的標準分解式才行, 而這常常是辦不到的。
④對於具體問題,能根據所給多項式或條件,選取恰當的方法 。

