基本原理
不同的{hkl}晶面,其面間距(即相鄰的兩個平行晶面之間的距離)各不相同。總的來說,低指數的晶面其面間距較大,而高指數面的面間距小。以圖1-22所示的簡單立方點陣為例,可看到其{100}面的晶面間距最大,{120}面的間距較小,而{320}面的間距就更小。但是,如果分析一下體心立方或面心立方點陣,則它們的最大晶面間距的面分別為{110}或{111}而不是{100},說明此面還與點陣類型有關。此外還可證明,晶面間距最大的面總是陣點(或原子)最密排的晶面,晶面間距越小則晶面上的陣點排列就越稀疏。正是由於不同晶面和晶向上的原子排列情況不同,使晶體表現為各向異性。
計算公式
例:關於立方點陣的晶面間距,公式如下:
晶面間距
晶面間距
晶面間距
晶面間距
晶面間距簡單立方晶體(SC)晶面間距與點陣常數a之間的關係:
。面心立方晶體(FCC)晶面間距與點陣常數a之間的關係:
若h、k、l 均為奇數,則;否則,。
體心立方晶體(BCC)晶面間距與點陣常數a之間的關係:
若h+k+l=偶數,則;否則,。
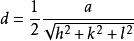
其中d為晶面間距(indice spacing),a為晶格常數(lattice constant)(慣用晶胞),hkl為密勒指數(Miller index)(慣用晶胞)。
註:上一版本中稱以上公式有誤,但實際上可將晶面指數與密勒指數(Miller index)區分對待。晶面指數是固體物理中以初基晶胞(原胞)為坐標軸確定的指數,而密勒指數是以結晶學中的單胞晶軸為基確定的指數。但不管是哪種指數,必須使其三個指數互質。在sc結構中,兩組參數是一樣的,但對於fcc和bcc結構則大不相同。按d=2π/∣G〡確定晶面間距的公式只適用於晶面指數。而以上給的幾個計算公式使用的是慣用晶胞下的參數(密勒指數),這些公式是經過重新計算和修改過的,具體推導過程見參考資料。

