位錯位錯的“幾何概念”
簡單立方(simple cubic)晶體原子排列和{100}晶面示意圖 |
刃位錯和螺位錯是主要的兩種位錯類型。然而實際晶體中存在的位錯往往是混合型位錯,即兼具刃型和螺型位錯的特徵。
晶體材料由規則排列的原子構成,一般把這些原子抽象成一個個體積可忽略的點,把它們排列成的有序微觀結構稱為空間點陣。逐層堆垛的原子構成一系列點陣平面的,稱為晶面(可以將晶體中原子的排列情況想像成把橙子規則地裝進箱子裡的樣子)。具體的排列情況如圖2所示。在無位錯的晶體(完整晶體)中,晶面(右圖中的紅色平行四邊形)以等間距規則地排列。
刃位錯
一個刃位錯附近的晶面排列情況,圖中黑線代表伯格斯矢量方向,藍線為位錯線。 |
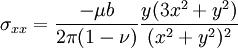
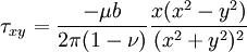
若一個晶面在晶體內部突然終止於某一條線處,則稱這種不規則排列為一個刃位錯。如圖3和圖4所示,刃位錯附近的原子面會發生朝位錯線方向的扭曲。刃位錯可由兩個量唯一地確定:第一個是位錯線,即多餘半原子面終結的那一條直線;第二個是伯格斯矢量(Burgers vector,簡稱伯氏矢量或柏氏矢量),它描述了位錯導致的原子面扭曲的大小和方向。對刃位錯而言,其伯氏矢量方向垂直於位錯線的方向。
利用彈性力學理論可求得刃位錯導致的應力場為:
位錯
位錯
位錯其中 μ 為材料的剪下模量,b 為伯格斯矢量,ν 為泊松比,x 和 y 為直角坐標分量。 從上述解中可以看出,在含有多餘半原子面的一側(y > 0),材料承受壓應力(σxx > 0)。
螺位錯
一個螺位錯附近的晶面排列情況 |
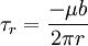
儘管形象不甚直觀,但螺位錯的應力場卻遠比刃位錯的應力場容易求解。在一級近似下,螺位錯應力場只有一個剪應力分量不為零:
位錯式中 μ 為材料的剪下模量,b 為伯氏矢量,r 為所在點的極坐標極軸分量。 該應力解顯示,螺位錯附近的應力場呈軸對稱式分布,大小從內到外遞減。但需要注意的是在位錯核心區(r=0)處按上述解將得出應力無窮大,這是不符合實際情況的。因此上述應力表達式不適用於位錯核心的嚴重畸變區。
混合位錯
如前所述,刃位錯的伯氏矢量垂直於位錯線的方向,螺位錯的伯氏矢量平行於其位錯線方向。但實際材料中位錯的伯氏矢量往往既非平行又非垂直於位錯線方向,這些位錯兼具了刃位錯和螺位錯的特徵,稱為混合位錯。
位錯的觀測
間接觀察,若材料中的位錯線與材料表面相交(俗稱位錯“露頭”),則交點處附近由於位錯應力場的存在,其化學穩定性將低於表面的其它部分。若用酸性腐蝕劑(如氫氟酸和硝酸的混合溶液)對這樣的表面進行腐蝕,則位錯“露頭”處的腐蝕速度將遠高於其它部分,可形成一個“腐蝕坑”。再利用一些表面顯微觀察技術(如掃描電子顯微鏡、乾涉顯微鏡等等)便可以觀察到位錯的“露頭”位置。下圖中展示了在干涉顯微鏡下,經上述方法製備得到矽片表面位錯腐蝕坑的形態,根據腐蝕坑邊緣的形狀可以確定矽片的晶體學取向——橢圓形代表矽片表面為(100)晶面,三角形代表矽片表面為(111)晶面。
![]() | ![]() | ![]() |
| (100)矽片表面的位錯 | (111)矽片表面的位錯 | (111)矽片表面的位錯 |
若施加外力令材料發生一系列微小變形,則每次變形後某一特定位錯都將處於不同的位置。如果每次變形後都對材料表面進行腐蝕,則同一位錯形成的一系列腐蝕坑將粗略地顯示出位錯運動的軌跡。
直接觀察,利用透射電子顯微鏡(Transmission Electron Microscope,簡稱TEM)可直接觀察到材料微結構中的位錯。TEM觀察的第一步是將金屬樣品加工成電子束可以穿過的薄膜。在沒有位錯存在的區域,電子通過等間距規則排列的各晶面時將可能發生衍射,其衍射角、晶面間距及電子波長之間滿足布拉格定律(Bragg's law)。而在位錯存在的區域附近,晶格發生了畸變,因此衍射強度亦將隨之變化,於是位錯附近區域所成的像便會與周圍區域形成襯度反差,這就是用TEM觀察位錯的基本原理,因上述原因造成的襯度差稱為衍射襯度。
位錯的透射電子顯微鏡照片 |
位錯的透射電子顯微鏡照片 |
在右圖中,中間稍亮區域(晶粒)里的暗線就是所觀察到位錯的像。由於多晶材料中不同晶粒的晶體學取向不同,因此晶粒之間亦存在襯度差別,這就是圖7和圖8中中間區域較周圍區域更亮的原因。值得注意的是,圖中位錯像所具有的“蜿蜒”的形態,這是位錯線在厚度方向穿過試樣(薄膜)的位錯在TEM下的典型形態;還需注意的是圖中位錯像的終結處實際上是因為位錯線到達了試樣表面,而非終結在了試樣內部。所有位錯都只能以位錯環的形式終結於晶粒的內部。
用TEM觀察位錯時,放大倍數一般選在5萬到30萬倍之間,這遠未達到TEM放大倍數的極限。部分TEM還配有對試樣進行在觀察中原位加熱/變形的裝置,可以直接對位錯的運動進行實時觀察。
場離子顯微鏡(Field ion microscopy,簡稱FIM)和原子探針(atom probe)技術提供了放大倍數更高(一般在300萬倍以上)的觀測方法,可在原子尺度對材料表面的位錯進行直接觀測。
位錯源
材料中的位錯密度會隨著塑性形變的進行而增加,其數量大致滿足關係:
位錯人們已發現材料中存在以下三種位錯的起源(成核)機制:均勻成核、晶界成核和界面成核,其中最後一種包括各種沉澱相、分散相或增強纖維等等。
位錯的增殖機制主要也有三種機制:弗蘭克-里德位錯源(Frank-Read source)機制、雙交滑移增殖機制,和攀移增殖機制。
位錯的滑移與晶體塑性
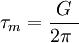
在1930年代以前,材料塑性力學行為的微觀機理一直是嚴重困擾材料科學家重大難題。1926年,蘇聯物理學家雅科夫·弗侖克爾(Jacov Frenkel)從理想完整晶體模型出發,假定材料發生塑性切變時,微觀上對應著切變面兩側的兩個最密排晶面(即相鄰間距最大的晶面)發生整體同步滑移。根據該模型計算出的理論臨界分剪應力τm 為:
位錯其中G 為剪下模量。一般常用金屬的G 值約為10000MPa~100000MPa,由此算得的理論切變強度應為1000MPa~10000MPa。然而在塑性變形試驗中,測得的這些金屬的屈服強度僅為0.5~10MPa,比理論強度低了整整3個數量級。這是一個令人困惑的巨大矛盾。
1934年,埃貢·歐羅萬(Egon Orowan),麥可·波拉尼(Michael Polanyi)和 G.I. 泰勒(G. I. Taylor)三位科學家幾乎同時提出了塑性變形的位錯機制理論,解決了上述理論預測與實際測試結果相矛盾的問題。位錯理論認為,之所以存在上述矛盾,是因為晶體的切變在微觀上並非一側相對於另一側的整體剛性滑移,而是通過位錯的運動來實現的。一個位錯從材料內部運動到了材料表面,就相當於其位錯線掃過的區域整體沿著該位錯伯格斯矢量方向滑移了一個單位距離(相鄰兩晶面間的距離)。這樣,隨著位錯不斷地從材料內部發生並運動到表面,就可以提供連續塑性形變所需的晶面間滑移了。與整體滑移所需的打斷一個晶面上所有原子與相鄰晶面原子的鍵合相比,位錯滑移僅需打斷位錯線附近少數原子的鍵合,因此所需的外加剪應力將大大降低。
在對材料進行“冷加工”(一般指在絕對溫度低於0.3 Tm下對材料進行的機械加工,Tm 為材料熔點的絕對溫度)時,其內部的位錯密度會因為位錯的萌生與增殖機制的激活而升高。隨著不同滑移系位錯的啟動以及位錯密度的增大,位錯之間的相互交截的情況亦將增加,這將顯著提高滑移的阻力,在力學行為上表現為材料“越變形越硬”的現象,該現象稱為加工硬化(work hardening)或應變硬化(strain hardening)。纏結的位錯常能在塑性形變初始發生時的材料中找到,纏結區邊界往往比較模糊;在發生動態回復(recovery)過程後,不同的位錯纏結區將分別演化成一個個獨立的胞狀結構,相鄰胞狀結構間一般有小於15°的晶體學取向差(小角晶界)。
由於位錯的積累和相互阻擋所造成的應變硬化可以通過適當的熱處理方法來消除,這種方法稱為退火。退火過程中金屬內部發生的回復或再結晶等過程可以消除材料的內應力,甚至完全恢復材料變形前的性能。
刃位錯的攀移
位錯可以在包含了其伯格斯矢量和位錯線的平面內滑移。螺位錯的伯氏矢量平行於位錯線,因此它可以在位錯線所在的任何平面內滑移。而刃位錯的伯氏矢量垂直於位錯線,所以它只有一個滑移面。但刃位錯還有一種在垂直於其滑移面方向上的運動方式,這就是攀移,即構成刃位錯的多餘半原子面的伸長或縮短。
刃位錯的攀移 |
攀移的驅動力來自於晶格中空位的運動。右圖所示,若一個空位移到了刃位錯滑移面上與位錯線相鄰的位置上,則位錯核心處的原子將有可能“躍遷”到空位處,造成半原子面(位錯核心)向上移動一個原子間距,這一刃位錯“吸收”空位的過程稱為正攀移。若反之,有原子填充到半原子面下方,造成位錯核心向下移動一個原子間距,則稱為負攀移。
由於正攀移導致了多餘半原子面的退縮,所以將使晶體在垂直半原子面方向收縮;反之,負攀移將使晶體在垂直半原子面方向膨脹。因此,在垂直半原子面方向施加的壓應力會促使正攀移的發生,反之拉應力則會促使負攀移的發生。這是攀移與滑移在力學影響上的主要差別,因為滑移是由剪應力而非正應力促成的。
位錯的滑移與攀移另一處差異在於溫度相關性。溫度的升高能大大增加位錯攀移的機率。相比而言,溫度對滑移的影響則要小得多。

簡單立方(simple cubic)晶體原子排列和{100}晶面示意圖
一個刃位錯附近的晶面排列情況,圖中黑線代表伯格斯矢量方向,藍線為位錯線。
一個螺位錯附近的晶面排列情況


位錯的透射電子顯微鏡照片
位錯的透射電子顯微鏡照片
刃位錯的攀移