正文
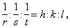
設a、b、c為晶體的一套基向量,晶面在a軸、b軸、c軸上所截長度分別為ra、sb、tc,則r、s、t為晶面在三個晶軸上的截數,而
為倒易截數。將晶面在三個晶軸上倒易截數之比化為一組互質整數,即
則這一套互質整數即為晶面指標,用(hkl)符號來表示。圖
中示出金屬銅單晶的晶面指標及其相應取向。 晶體在實際生長過程中,基於能量的原因,一般是指標小的晶面較易在晶體的外形中呈現出來。不同指標、不同取向的晶面由於原子、離子、分子排列上的差異,將具有不同的物理和化學性質,這是晶體各向異性的一種表現。
晶面間距定義為與晶面對應的平麵點陣組中相鄰平麵點陣的垂直距離。如對具有簡單立方點陣型式的晶體,指標為hkl的晶面間距dhkl與晶胞參數a有dhkl=
的關係。對於具有帶心點陣型式的晶體,計算dhkl值時要作一定的修正。
