簡介
旁切圓三角形的旁切圓是指與三角形的一邊及另外兩邊的延長線都相切的圓,每個三角形都有3個旁切圓,各與三角形其中一邊和另外兩邊的延線相切。而它們的圓心稱為旁心,旁心是三角形一內角平分線和另外兩外角平分線的交點,每個三角形有三個旁心,一般記為J。
旁切圓
旁切圓
旁切圓在三線性坐標系中,旁心分別是-1:1:1、1:-1:1和1:1:-1。三角形關於頂點A、B、C的旁切圓的半徑分別是 、 和 ,其中S表示三角形面積,a、b、c分別是A、B、C的對邊。
旁切圓與三角形相切的點,和三角形相對的頂點連起,三線交於一點,稱為奈格爾點。
費爾巴哈點等相關概念
旁切圓和內切圓有密切的聯繫。它們都與九點圓相切,切點稱為費爾巴哈點。三個旁心與內心組成一個垂心組,也就是說內心是三個旁心所組成的三角形的垂心,而相應的三個垂足則是旁心所對的頂點。
旁切圓與三角形的邊(或其延長線)相切的點稱為旁切點。從一個頂點沿著三角形的邊走到與之相對的旁切圓在對邊的切點所用的距離必定是周長的一半,也就是說,這個頂點和它“對面”的旁切點將三角形的周界等分為兩半。將三角形的每個頂點和與之相對的旁切圓關於對邊的旁切點連起,則根據塞瓦定理,三線交於一點,這個點稱為奈格爾點。
梅涅勞斯定理
梅涅勞斯(Menelaus)定理,簡稱梅氏定理,是由古希臘數學家梅涅勞斯首先證明的。它指出:如果一條直線與△ABC的三邊AB、BC、CA或其延長線交於F、D、E點,那么(AF/FB)×(BD/DC)×(CE/EA)=1。
或:設X、Y、Z分別在△ABC的BC、CA、AB所在直線上,則X、Y、Z共線的充要條件是(AZ/ZB)*(BX/XC)*(CY/YA)=1。
旁切圓的性質
如圖1,⊙O切BC邊於D,切AB、AC的延長線於E、F,那么:
圖1(1)OD=OE=OF;
旁切圓(2)∠BOC=90° ∠A;
(3)BE+CF=BC。
事實上其逆命題也成立:
旁切圓(4)如果O為∠A平分線上的一點,且∠BOC=90° ∠A,那么O為△ABC的旁切圓圓心(旁心)。
(5)如果O為∠A平分線上一點,OE⊥AB於E,OF⊥AC於F,且BE+CF=BC,那么O為△ABC的旁切圓圓心(旁心)。
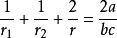
旁切圓半徑的性質
旁切圓
旁切圓
旁切圓
旁切圓
旁切圓(1)性質1:在△ABC中,三邊BC、CA、AB分別為a、b、c,AD為BC邊上的高,⊙ 、⊙ 、⊙ 分別為△ABC中∠BAC所對的旁切圓,△ADC中∠ADC所對的旁切圓,△ADB中∠ADB所對的旁切圓。半徑分別為 ,則: 。
旁切圓
旁切圓
旁切圓
旁切圓
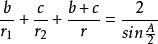
旁切圓推論1:在△RtABC中,三邊BC、CA、AB分別為a、b、c,∠A=90°,AD為BC邊上的高,⊙ 、⊙ 、⊙ 分別為△ABC中∠BAC所對的旁切圓,△ADC中∠ADC所對的旁切圓,△ADB中∠ADB所對的旁切圓。半徑分別為 ,則: 。
旁切圓
旁切圓
旁切圓
旁切圓
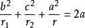
旁切圓(2)性質2:在△ABC中,三邊BC、CA、AB分別為a、b、c,AD為BC邊上的中線,⊙ 、⊙ 、⊙ 分別為△ABC中∠BAC所對的旁切圓,△ADC中∠ADC所對的旁切圓,△ADB中∠ADB所對的旁切圓。半徑分別為 ,則: 。
旁切圓
旁切圓
旁切圓
旁切圓
旁切圓推論2:在△ABC中,三邊BC、CA、AB分別為a、b、c,∠A=90°,AD為BC邊上的中線,⊙、⊙、⊙分別為△ABC中∠BAC所對的旁切圓,△ADC中∠ADC所對的旁切圓,△ADB中∠ADB所對的旁切圓。半徑分別為,則:。
旁切圓
旁切圓
旁切圓
旁切圓
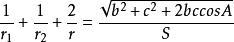
旁切圓(3)性質3:在△ABC中,三邊BC、CA、AB分別為a、b、c,AD為∠BAC的平分線,⊙、⊙、⊙分別為△ABC中∠BAC所對的旁切圓,△ADC中∠ADC所對的旁切圓,△ADB中∠ADB所對的旁切圓。半徑分別為,則:。
旁切圓
旁切圓
旁切圓
旁切圓
旁切圓推論3:在△ABC中,三邊BC、CA、AB分別為a、b、c,∠A=90°,AD為∠BAC的平分線,⊙、⊙、⊙分別為△ABC中∠BAC所對的旁切圓,△ADC中∠ADC所對的旁切圓,△ADB中∠ADB所對的旁切圓。半徑分別為,則:。

