釋義
折現係數是一個貨幣單位複利值的倒數,也是折現係數和年數兩者的遞減函式。如,1元人民幣,按10%的複利率計算,10年後的複利值為2.594元。因此,10年後1元人民幣的價值,就是1/2.594=0.386元。這就是折現率為10%的情況下,把10年後的貨幣折成現值的折現係數。將各年的淨現金流量乘以折現係數即得現值。

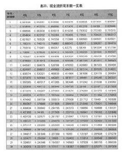
折現係數,又稱一次償付現值因素或複利現值係數,指根據折現率和年數計算出來的一個貨幣單位在不同時間的現值。折現係數和複利終值係數互為倒數,是折現率和年數兩者的遞減函式。在實際工作中,折現係數可由“折現係數表”查得。
釋義
折現係數是一個貨幣單位複利值的倒數,也是折現係數和年數兩者的遞減函式。如,1元人民幣,按10%的複利率計算,10年後的複利值為2.594元。因此,10年後1元人民幣的價值,就是1/2.594=0.386元。這就是折現率為10%的情況下,把10年後的貨幣折成現值的折現係數。將各年的淨現金流量乘以折現係數即得現值。
複合槓桿係數(Degree of Total Leverage,DTL)又稱聯合槓桿係數或總槓桿係數,是指普通股每股收益變動率相當於產銷量變動率的倍數。...
作用 計算 實例 案例分析 參考文獻在數理金融領域中,風險敏感係數表示是度量衍生品價格敏感性的係數,例如期權會受到標的資產價格變化的影響。之所以取名為金融希臘字母是由於大部分常見的敏感性系...
係數使用 一階希臘字母 二階希臘字母 三階希臘字母 多資產期權複利現值係數亦稱折現係數或貼現係數,是指按複利法計算利息的條件下,將未來不同時期一個貨幣單位折算為現時價值的比率。它直接顯示現值同已知複利終值的比例關係...
內容介紹 時間價值 年金係數 現值係數5000 4000
什麼是折現回收期法 折現回收期法舉例分析關鍵是如何確定適當的折現率或資本化率。這種方法同樣存在難以分離某種無形資產...、現金流量、風險因素;(三)保持預期收益口徑與折現率口徑一致;(四)根據無形資產實施過程中的風險因素及貨幣時間價值等因素合理估算折現率,無形資產...
定義 分類 評估概述 幾個問題 基本方法、特許代理等。此法關鍵是如何確定適當的折現率或資本化率。這種方法同樣存在...,各項淨資產的現行價值與購價相比的差額,即為商譽。 無形資產評估中折現率確定方法一、折現率的確定原則 (一)折現率必須高於無風險報酬率...
無形資產評估的意義 無形資產評估的作用 無形資產評估的基本方法包括探礦權評估的折現現金流法、約當投資-折現現金流法、折現現金流風險係數...。統一DCF法方法名稱:將探礦權的折現現金流法和採礦權的貼現現金流量法統稱折現現金流量法(DCF法),簡稱現金流量法(類似收益法是收益現值法的簡稱...
礦業權釋義 礦業權的評估 評估常用方法 選取的依據 基本程式影響因素其主要影響因素有:1)超額利潤; 2)折現係數或本金化率; 3...各年超額利潤額×各年折現係數+以後各年的年金化超額利潤率本金化率×前若干年最後一年的折現係數本金化率可等同於折現率。如果品牌在有限期間內使用,如...
影響因素 優缺點 前提條件 適用範圍 基本參數、最實際的意義。公式(1)計算年金現值係數(p/A,FIRR,n)=K/R;(2)查年金現值係數表,找到與上述年金現值係數相鄰的兩個係數(p...現金流量,則財務內部收益率的計算過程為:1、首先根據經驗確定一個初始折現率...
實際意義 公式 計算步驟 優缺點 分析