定義
形式為
循環矩陣的 矩陣 C 就是 循環矩陣。
特性
循環矩陣遵循代數運算法則。對於兩個循環矩陣 A 與 B 來說, A + B 也是循環矩陣。 AB 也是循環矩陣,並且 AB=BA。
循環矩陣的特徵向量矩陣是同樣維數的離散傅立葉變換矩陣,因此循環矩陣的特徵值可以很容易地通過快速傅立葉變換計算出來。
套用示例
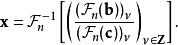
設矩陣方程
循環矩陣其中 C 是 n 維方形循環矩陣,這樣就可以將方程表示成循環卷積
循環矩陣其中 c 是循環矩陣 C 的第一列, c、 x與 b分別向每個方向循環。用離散傅立葉變換將循環卷積轉換成兩個變數之間的乘積
循環矩陣因此
循環矩陣這個算法比標準的高斯消去法的速度要快很多,尤其是當使用快速傅立葉變換的時候更是如此。
圖論中的套用
在圖論中,鄰接矩陣為循環矩陣的圖與有向圖叫作 輪換圖。同樣,如果圖的自同構群包含全部的循環,那么圖就是輪換圖。Möbius ladder 就是輪換圖的例子。
