廣義動量定理與系統思考的簡要介紹
廣義動量定理和系統思考是兩種分析方法,適用於戰爭,管理學與經濟學,也適用於其他領域。廣義動量定理的基本表達式為:
Fαt=MV
廣義動量定理來自物理學的動量定理Ft=Δmv,為便於分析,將矢量F分解為大小F和方向α,MV也為增量。廣義動量定理用來分析如何增加成果。
系統思考的基本框圖為:
系統思考框圖 系統框圖來自於控制理論。系統思考用來分析各種因素的互動影響。
戰爭通論
在戰爭上,本文討論戰爭的核心原則,常規作戰與游擊作戰的異同,兵力數量和武器裝備對戰局的影響,作戰方式對勝敗的影響等方面。
戰爭是敵對雙方互相毀滅的過程,不僅能毀滅人類所創造的文明,更是毀滅了創造人類文明本身的人類。戰爭是政治的延續,其目的是為了利益,也可以說戰爭是為了更好的和平。戰爭可以通過智謀,外交,戰鬥等途徑而取得勝利,進而達到政治目的,獲得利益。戰鬥只是戰爭的一種形式,戰鬥的目的是追求有效的消滅敵人,並且減少自身的傷亡。即戰鬥的目的是追求戰鬥力盈餘最大化。追求戰鬥力盈餘最大化又可以分為追求自身戰鬥力最大化,這是《戰爭論》的核心;另一個是追求對手實力最小化,這是《戰略論:間接路線》的核心。會戰四原則是戰爭的基本原則,貫穿的基本原理是廣義動量定理Fαt=MV和系統思考。(1)用最高的精力使用我們所可能動用的一切兵力(增加F);(2)儘可能集中兵力在準備作決定性打擊的點上(選擇作用點);(3)不可浪費時間,行動快速始可制敵機先(時間t)。奇襲(方向α),為獲致勝利的最強力因素;(4)用最高的精力來追隨已獲的成功。追擊已敗的敵人實為獲致勝果的唯一手段(系統思考分析互動影響)。戰鬥通過分散敵人的兵力以減少敵人的戰鬥力,集中自己的兵力以獲得局部的兵力對比優勢,使用包圍的戰鬥方式,以增加兵力的協同作用,有效減少自身的傷亡,從而增加對方的傷亡。通過分散敵人兵力,集中自己兵力,造成局部兵力對比優勢,各個擊破敵人,最終取得戰鬥的勝利。
戰爭總結圖管理學通論
企業和管理學的根本目的是為了人類的進化,即為了社會的發展和人類的進步。企業的直接目的是利潤最大化,企業只有滿足顧客的需求才能創造利潤,而滿足客戶需求而創造利潤的過程就是在增加社會的物質財富,促進了社會的發展和人類的進步。每一個企業都有自身的使命,利用自身的專長創造物質財富。利潤是考量企業有效性的一種指標,大部分時候是和社會的發展正相關的。一旦企業超越了生存的危機,就應該進化去重視社會貢獻,而不只是關注於利潤。
德魯克為管理學提供了理論基礎,他指出企業的唯一宗旨就是創造顧客,所以企業有且只有兩項職能:創新和市場行銷。這和經濟學上的專業化與分工合作有異曲同工之妙,創新和專業化都能增加有效產出,市場行銷和分工合作都可以增加交易量。
管理學的深層原理就是廣義動量定理Fαt=MV,成果MV就是力量F在方向α上施加於作用點經過時間t的積累。廣義動量定理過程包括四要素,力量F,方向α,時間t和力量的作用點;成果MV包括廣義質量M和廣義速度V;增加這六個要素就能增加成果。眾多管理學家的管理理論均符合廣義動量定理。在力量F上,哈默爾提出了核心競爭力;在方向α上,麥可•波特提出了三大競爭戰略,赫爾伯特•西蒙提出了管理決策理論,本文提出了17種企業戰略包括力量最大化戰略,歧異化戰略,競時戰略,聚焦戰略,競質戰略,競速戰略,消費者利益最大化戰略,成本最小化戰略,銷售量最大化戰略,渠道戰略,創造需求戰略,模仿戰略,攻敵弱點戰略,對手競爭力最小化戰略,合作戰略,協同戰略,正反饋戰略。其中戰略1到6來自於廣義動量定理,戰略7到12來自於利潤函式與需求定律框圖,戰略13和14來自於軍事,戰略15到17來自於系統分析。在時間t上,德魯克等管理學家提出了時間的管理原則,增加有效工作時間,可以增加產出。在作用點上,克里斯坦森提出了破壞性創新,指出客戶的需求從功能性向可靠性,便利性和價格的轉移,而競爭的焦點和企業成功的衡量標準也隨之轉移;傑克•特勞特通過在行銷上的聚焦,提出了定位理論;高德拉特在生產流程約束上的聚焦,提出了制約理論。增加力量F的大小,提高力量方向α的準確性,增加時間t,選擇合適的作用點,都可以增加成果MV的大小。在廣義質量M上,戴明提出了14要點,朱蘭提出了朱蘭三部曲,克勞斯比提出了零缺陷,摩托羅拉提出了六西格瑪;在廣義速度V上,福特創造了流水線生產,大野耐一創造了精益生產,高德拉特創造了制約理論。提高廣義質量M和廣義速度V,可以增加成果MV。
在系統思考上,彼得•聖吉將控制理論上的負反饋與正反饋模型引入管理學,提出了第五項修煉。馬太效應,比爾•蓋茨的正反饋理論,巴菲特的滾雪球理論,賈伯斯的平台理論和索羅斯的反身理論均是正反饋模型。系統思考用來分析各種因素的互動作用。
比爾蓋茨的正反饋本章通過系統思考給出了企業的總利潤函式,指出了商品價值,成本,價格和銷售量之間的關係,提出消費者盈餘決定銷售量,價格決定最低消費者層次。
利潤函式
利潤曲線廣義動量定理Fαt=MV用來分析如何增加成果,系統思考用來分析各種因素的互動影響,它們共同構成管理學最基本的原理。
管理學總結圖經濟學通論
在經濟學通論中,介紹了學習(資源配置—科斯定理),競爭(博弈論),創新(創新理論),合作和交易(分工合作與專業化)這五種增加有效產出的手段,這五種手段符合廣義動量定理Fαt=MV。使用系統思考分析來自身與環境之間的互動作用,包括需求定律分析,五種手段,貨幣框圖分析,凱恩斯主義分析,有效需求與就業量的分析,經濟周期與經濟危機的分析,拉弗曲線與稅收的分析,吉芬物品,水與鑽石悖論,碗型曲線,市場與廣義動量定理分析,政府的經濟職能等。
經濟學的根本目的是進化,即促進人類的發展和社會的進步,具體目標是實現人民物質財富最大化。實現物質財富最大化有5種手段,分別為學習,競爭,創新,合作與交易,它們均符合廣義動量定理。創新是經濟發展的根本動力,沒有創新,經濟會停止發展,人類會停止進步。
1.需求定律分析
本文提出價值決定價格基準,競爭決定價格波動幅度;消費者盈餘決定購買量,價格決定最低消費者層次。
經濟學上有一條基礎的定律叫做需求定律,其內容為任何產品的價格下降,購買量必定上升;任何物品的價格上升,購買量必定下降。但是在現實中需求定律遇到了挑戰,需求定律解釋不了股票價格上升購買量上升,奢侈品價格上升購買量上升的現象。不是價格決定購買量,而是消費者盈餘決定購買量,價格決定最低消費者層次。
因為大多數商品給消費者帶來的利益是不變的,所以才會有價格和購買量的同方向變化。當消費者利益也發生改變時,價格和購買量就會出現同方向變化的現象。在文中給出了需求定律框圖,並對框圖進行了說明。
2.反身理論和均衡價格論
經濟學家馬歇爾在《經濟學原理》提出均衡價格論,他以英國古典經濟學中生產費用論為基礎,吸收邊際分析和心理概念,論述價格的供給一方;又以邊際效用學派中的邊際效用遞減規律為基礎,對其進行修改,論述價格的需求一方,認為商品的市場價格決定於供需雙方的力量均衡,猶如剪刀之兩刃,是同時起作用的,從而建立起均衡價格論。
在現實中,股票價格上升,購買量也上升,需求定律無法解釋,並且供需曲線也並沒有如均衡價格曲線那樣達到一個均衡點,而是處在非均衡的狀態。金融家索羅斯通過反身定理和自己的金融經歷對經濟學的均衡模型提出了挑戰。在控制理論上有2種模型,負反饋模型和正反饋模型。馬歇爾的均衡價格論是負反饋模型,負反饋是趨於穩定的;而索羅斯的反身理論是正反饋模型,正反饋是趨向於加強,非穩定狀態的。負反饋與正反饋一同構成完整的經濟學模型。
3.科斯定理
本文將通過分析牛吃麥子的案例對科斯定理進行詳盡的分析。科斯定理的本質是理性人會對資源進行最有效率的配置,即科斯定理的本質是資源配置。科斯創造性的提出了交易費用,交易費用是一種廣義的摩擦力。當交易費用為零,不管產權如何配置,都會達到帕累托最優;當交易費用固定,有可能達到帕累托最優;交易費用不固定,不能達到帕累托最優。不同產權配置會帶來不同的資源配置,越小的交易費用越接近資源的最優配置。為了達到社會財富最大化,產權的制度應該是向最小交易費用的方向傾斜,即向競爭最激烈的方向配置產權。
科斯和張五常都認為市場的存在是為了降低交易費用。人們進行交易不是為了節約交易費用,而是為了能獲得產品帶來的利益。科斯只看到了交易費用對市場的影響,沒有看到產品利益和其他成本對市場的影響,從而得出市場是為了降低交易費用的錯誤結論。市場的存在不只是為了降低交易費用,而是為了促使消費者盈餘最大化。
科斯在《企業的性質》一文中寫道:企業的存在是為了節約市場交易費用,即用費用較低的企業內交易代替費用較高的市場交易。
企業的存在不是為了節約交易費用,企業的存在是為了創造成果,創造消費者盈餘,進而創造了購買量,最終創造了利潤。
科斯定理的本質是資源配置,所以科斯定理解釋不了創新,解釋不了經濟成長,也解釋不了經濟危機。即使是交易費用無限趨近於零,市場本身也創造不出iPhone。所以說企業的存在是為了節約市場交易費用是不對的,企業的存在是為了創造成果,創造消費者盈餘,進而使社會財富最大化。
在文中也試著闡釋科斯鍾情於中國的原因。
4.博弈論
在博弈論中有:“非零和博弈中,帕累托最優和納什均衡是互相衝突的。”的結論。在牛吃小麥非零和博弈系統中,當交易費用固定時,是可以達到帕累托最優的。這和非零和博弈的結論衝突。
5.分工與專業化
斯密分析的分工理論提高效率的原因:第一,分工專業化是勞動者的勞動技巧或熟練程度日益增進。第二,分工可以減少由一種工作換到另一種工作損失的時間。第三,分工使勞動簡單化、專門化,從而為機械的發明和使用創造了條件。
從廣義動量定理Fαt=MV的角度來分析斯密所說的原因:1)勞動技巧,熟練程度的提高和機械的發明都是增加了力量F;2)減少轉換時間的損失就是增加了有效工作時間t;3)勞動簡單化和專門化就是力量的作用點明確,力量的方向α偏差減少,使方向α增加,增加了力量的準確度並減少力量轉變的損失。所以增加了力量F,時間t和方向α和明確了作用點,成果MV會增加。
我們的目標是為了成果最大化而不是專業化,專業化只是實現成果最大化的手段之一,不要把手段當成了目標本身。
6.創新
在經濟學上,熊彼特是第一個提出創新理論的,創新是經濟發展的最根本的動力,沒有創新,經濟最終會停止發展,進入循環流轉。所以,創新是社會發展和人類進步最根本的動力。
7.貨幣框圖分析
本文給出了貨幣框圖,並分析了貨幣供應量和需求量變化對價格的影響。貨幣供應量增多,商品的價格上升。商品價格的調整速度快於貨幣速度的調整。
8.自由經濟和凱恩斯主義
本文分析了弗里德曼的貨幣主義和凱恩斯主義,指出金錢數量是衡量經濟發展的指標而不是經濟發展的原因,凱恩斯錯把結果當做條件來使用,企圖以投資來發展經濟;凱恩斯的乘數效應也是錯誤的。
9.薩伊定律,有效需求與就業量
本文討論了薩伊定律,需求量和就業量之間的關係,並給出了就業量與需求量的分析框圖,指出就業量和需求量是互相影響的。
10.經濟周期和經濟危機
經本文解釋了經濟危機是由反向的正反饋作用引起,經濟周期是無法避免的,但經濟危機是可以避免的。
11.拉弗曲線與稅收
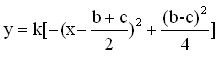
本文對拉弗曲線進行了分析,給出了拉弗曲線的數學方程式,指出了稅收最大值的稅率為消費者盈餘除以2倍價格(B-P)/(2P)。分析了減稅政策對於滯脹的影響,並且在文中論述了稅收對於市場來說屬於交易費用,阻礙社會財富達到最大化。所以政府在稅收上的政策不應該是追求稅收最大化或者稅收適當化,而是應該追求稅收最小化,小到僅夠維持政府和市場的正常運行即可。
12.經濟分析
本章分析了吉芬物品,水與鑽石悖論,碗型曲線,市場與廣義動量定理,政府的經濟職能。指出政府在經濟上主要有兩項職能:一是將經濟上的阻力降到零,交易費用最小化。二是提供必要的監管。
經濟學總結圖廣義動量定理Fαt=MV和系統思考是分析經濟學的兩大工具,用廣義動量定理來分析如何取得成果,用系統思考來分析各種因素的互動影響。
為什麼將戰爭,管理學和經濟學放在一起寫呢?
在生物學,最佳化算法,戰爭,管理學和經濟學上有著非常大的類同性,以下圖進行展示。
類比圖在這五個領域中,追求的根本目的都是進化,具體目標都是最大化,只是最大化的內容所不同。在生物學上,動物追求最大的生存可能性;在最佳化算法上,追求數值最大化;在戰爭中,對壘雙方追求利益最大化;在商業管理上,企業追求利潤最大化;在經濟學上,人民追求國民物質財富最大化。實現最大化有五種基本的手段,分別為學習,競爭,合作,創新和交易。這五種手段在不同領域的稱呼不同,比如在生物學和函式最佳化上叫做學習,在管理學上叫做模仿,在經濟學上叫資源最佳化配置。雖然叫法不同,但本質是相同的。
在生物學上,小動物要向父母學習捕食,競爭,逃亡等經驗以保證自身的生存。在人類的進化史中,文字的發明使人類的經驗可以延續,加快了經驗的滲透作用,提高了人類的學習能力。在函式最佳化中,不好的自變數要向好的自變數學習,以促使整個種群的因子趨向最優方向。在企業管理中,企業之間互相學習對方的優點,增加自身的實力,從而增加利潤。在經濟學上,理性人將資源向最有效率的方向最佳化配置,來增加社會的物質財富。學習和最佳化是有極限的,最多只能達到與環境中最好的個體相同的結果。競爭是用來比較哪一個個體更有效率,哪一個數值最大化,從而優勝劣汰,為進化指出方向。合作是為了獲得更大的成果。在生物學上,狼以合作獲得更大的成果而聞名。在函式最佳化上,一維函式是不需要合作的,越高維的函式越需要自變數之間的合作。在戰爭中,軍隊通過士兵間的合作產生協同作用,從而更有效的消滅對手。在企業管理上,員工通過合作來創造更大的成果。在經濟學上,即使基於李嘉圖的靜態的比較優勢,分工合作也可以增加產出。亞當斯密與楊小凱論述了分工可以促進專業化能力的提高,持續增加產出。越複雜的工作越需要合作來完成。在生物學上,沒有變異,生物最終會停止進化。在函式最佳化上,沒有變異,函式會陷入局部極值點而產生早熟。過小的變異會使函式跳不出局部極值點,而過大的變異會使種群不穩定,不能使好的因素通過學習而滲透,從而增加了尋優的時間。在戰爭中,軍隊依靠出奇制勝。在企業管理學上,企業通過創新來創造市場,創新是企業的兩項職能之一。在經濟學上,創新是經濟發展的根本動力,沒有創新,經濟最終會停止發展。在生物界很少有交換的發生,他們也很少有分工,沒有人看到過兩隻狗用兩根骨頭彼此進行公平的有意識的交換。在生物遺傳上,父母的基因會進行交換,以期產生出更好的後代,但這是非自主的。在最佳化算法中,需要進行因子交換,以期能產生更好的解;在高維函式的最佳化中,如果沒有自變數的交換,函式是無法求解到最優解的。在戰爭中,通過利益交換可以拉攏同盟者來增加自己一方的力量;失敗方通過割地賠款等交易來獲得免受侵略的結果,當然這是非自願的。在商業和經濟上,消費者和生產者通過市場交易進行交換,以此獲得更大的利益。
學習,合作,競爭,創新和交易都會影響對方的利益和市場環境,而對方的行為和市場環境也會影響自己的行為,這種互動式的影響需要用系統思考來分析。
本文將戰爭,管理學和經濟學放在一起論述是因為1)它們的研究對象都是關於人的,沒有人就沒有戰爭,企業管理和經濟學。2)戰爭,管理學和經濟學的根本目的都是追求人類的進化,即社會的發展和人類的進步。3)他們的具體目標也都是追求最大化,他們實現目標的基本手段都是學習,競爭,合作,創新與交易。這五種基本的手段都是通過力量使獲得的成果最大化,他們的基本的原理都是廣義動量定理Fαt=MV。廣義動量定理來自於物理學,愛因斯坦和稻盛和夫採用不同的表述對廣義動量定理進行了論述。4)在這三個領域中的人在追求最大化的過程中,都會對自身,競爭對手和環境產生影響,而競爭對手和環境又會影響自身,他們之間的影響是相互的,這就需要系統思考來分析他們之間的互動影響。系統思考引入控制理論中的負反饋和正反饋模型來分析系統要素之間的關係,負反饋是趨於穩定的,正反饋是趨於加強的。經濟學家馬歇爾的均衡價格論是負反饋模型;彼得聖吉的正反饋,比爾蓋茨的正反饋,巴菲特的滾雪球理論,賈伯斯的平台理論和索羅斯的反身理論均是正反饋模型。
人做每一件事情都會獲得利益並且付出成本,利益包括經濟利益,經驗利益,成長利益,機會利益,感情利益,愉悅利益等等;成本包括經濟成本,時間成本,感情成本,風險成本,精力成本等等,人們追求利益最大化,成本最小化,也就是人們追求利益與成本之差最大化,即人們追求盈餘最大化,盈餘=利益-成本,這條基本公式貫穿著整個人類活動。在戰爭中追求戰鬥力盈餘最大化,戰鬥力盈餘=我方戰鬥力-敵方戰鬥力;在商業管理上,追求利潤最大化,利潤=銷售額-成本;在經濟上追求物質財富最大化,財富=社會利益-成本。
戰爭的核心力量是暴力,商業的核心力量是財富,經濟的核心力量是知識,未來學家托夫勒說暴力,財富和知識可以互相轉化。在三個不同的領域,每個核心力量F通過廣義動量定理Fαt=MV創造著對應的成果MV。在這三個領域中,其他兩種力量也在起著作用。在戰爭中,財富可以購買武器,加強暴力的效果,暴力可以掠奪財富。知識可以指導暴力獲得更大的成果,而暴力可以脅迫知識的協作。沒有知識指導的暴力是盲目的,不會獲得任何重大成果,這就是兵法的重要性。在商業領域,管理學的知識可以指導財富創造更大的財富,財富也可以促使知識工作者工作而獲得商業成果;在工業革命時期,許多商人的財富都是靠暴力掠奪獲得的;而今,暴力的在商業中依舊存在。在經濟領域,經濟學家通過知識指導政府制定經濟政策,促進財富的創造;而政府具有“暴力潛能”,通過暴力潛能可以獲得財富和推行政策。財富也影響著經濟政策的制定。
在這三個領域中,力量不僅可以做出成果,也會影響對手和周圍的環境,而周圍的環境和對手又影響著自身。用系統思考來分析各種因素的互動影響。
廣義動量定理Fαt=MV和系統思考是最基本的原理與分析方法,它們不僅適用於戰爭,管理學和經濟學,也適用於其他學科。
目錄
《廣義動量定理與系統思考——戰爭、管理學與經濟學通論》目錄
緒論 1
第一章廣義動能定理和系統思考 9
1.1蘭切斯特法則 9
1.1.1蘭切斯特第一法則 9
1.1.2蘭切斯特第二法則 11
1.1.2.1蘭切斯特第二法則的框圖分析 12
1.1.2.2蘭切斯特第二法則的闡釋 16
1.1.2.3蘭切斯特第二法則的動能定理闡釋 17
1.1.2.4蘭切斯特第二法則的遞歸和動能定理對比 27
第二章戰爭通論 30
2.1廣義動量定理 31
2.2力的三要素 33
2.3戰爭的基本原則 35
2.3.1蘭切斯特法則 35
2.3.2《戰爭論》的基本原則 35
2.3.3《戰略論--間接路線》的基本原則 36
2.3.4《孫子兵法》的基本原則 38
2.3.4.1計篇 38
2.3.4.2作戰篇 40
2.3.4.3謀攻篇 41
2.3.4.4形篇 44
2.3.4.5勢篇 47
2.3.4.6虛實篇 48
2.3.4.7軍爭篇 50
2.3.4.8九變篇 51
2.3.4.9行軍篇 53
2.3.4.10地形篇 53
2.3.4.11九地篇 54
2.3.4.12火攻篇 58
2.3.4.13用間篇 59
2.3.5《五輪書》的基本原則 59
2.3.6游擊戰的基本原則 60
2.4軍事與廣義動量定理 62
2.4.1兵貴神速 62
2.5軍事原則的套用 64
2.5.1軍事與行銷 64
2.6軍事原則總結 65
第三章管理學通論 67
3.1廣義動量定理 68
3.1.1廣義質量,管理學質量,物理學質量 69
3.1.2動量定理和廣義動量定理 70
3.2系統分析之正反饋 72
3.2.1馬太效應 73
3.2.2彼得•聖吉的正反饋 74
3.2.3比爾•蓋茨的正反饋 75
3.2.4巴菲特的滾雪球 79
3.2.4.1滾雪球理論分析 79
3.2.4.2巴菲特,索羅斯和西蒙斯 81
3.2.4.3金融學72法則 83
3.2.5賈伯斯的平台 83
3.2.6索羅斯的反身理論 86
3.3管理的基本原則 87
3.3.1彼得•德魯克——管理學之父 87
3.3.1.1德魯克的管理學理論 88
3.3.1.2德魯克的言論分析 93
3.3.2彼得•聖吉——系統思考 96
3.3.3加里•哈默爾——核心競爭力 103
3.3.4麥可•波特——戰略 104
3.3.4.1三大戰略 104
3.3.4.2五力理論 107
3.3.4.3價值鏈 107
3.3.5赫爾伯特•西蒙——管理決策理論 108
3.3.6克萊頓•克里斯坦森——破壞性創新 109
3.3.7傑克•特勞特——行銷定位 113
3.3.7.1行銷定位介紹 113
3.3.7.2定位理論的分析與局限 114
3.3.7.3品牌,消費者,感性和理性 117
3.3.8時間管理 118
3.3.8.1柳比歇夫時間管理法 119
3.3.8.2德魯克時間管理法 120
3.3.8.3科維四象限時間管理 122
3.3.8.4番茄工作法時間管理 123
3.3.8.5帕金森定律在時間上的運用 125
3.3.9艾利•高德拉特——TOC制約理論 128
3.3.9.1流水線生產,精益生產和TOC 132
3.3.9.2經濟批量與單件流 133
3.3.9.3TOC的集批與精益生產的一件流 136
3.3.9.4工序切換的解決 137
3.3.10質量管理 139
3.3.10.1愛德華茲•戴明——14要點 139
3.3.10.2約瑟夫•莫西•朱蘭——質量三部曲 141
3.3.10.3菲利浦•克勞士比——零缺陷之父 142
3.3.10.4六西格瑪 143
3.3.11阿爾文•托夫勒——未來學家 144
3.3.12價格,成本和利潤 146
3.3.13價格戰 149
3.3.14專業化與多樣化 150
3.3.15十七種企業戰略 151
3.3.15.1力量最大化戰略 152
3.3.15.2歧異化戰略 152
3.3.15.3競時戰略 152
3.3.15.4聚焦戰略 153
3.3.15.5競質戰略 154
3.3.15.6競速戰略 154
3.3.15.7消費者利益最大化戰略 156
3.3.15.8成本最小化戰略 156
3.3.15.9銷售量最大化戰略 157
3.3.15.10渠道戰略 158
3.3.15.11創造需求戰略 158
3.3.15.12模仿戰略 159
3.3.15.13攻敵弱點戰略 159
3.3.15.14對手競爭力最小化戰略 160
3.3.15.15合作戰略 160
3.3.15.16協同戰略 160
3.3.15.17正反饋戰略 161
3.3.16創新與企業家精神 162
3.3.16.1八個天才的叛逆 162
3.3.16.2賈伯斯與蘋果 164
3.3.16.3PayPal黑幫 165
3.3.17情報與決策 167
3.3.18下一個商業模式——免費 169
3.3.18.1再下一個商業模式——消費者盈餘最大化 170
3.3.19利潤和企業目標 171
3.3.20管理學總結 175
3.4企業家 177
3.4.1史蒂夫•賈伯斯 177
3.4.2稻盛和夫 181
3.4.3比爾•蓋茨 183
3.4.4亨利•福特 187
3.4.5傑克•韋爾奇 189
3.4.6小托馬斯•沃森 190
3.4.7黃仁勛 192
3.4.8安迪•格魯夫 193
3.4.9拉里•佩奇和謝爾蓋•布林 195
3.4.10李健熙 196
3.4.11孫正義 197
3.4.12拉里•埃里森 199
3.4.13任正非 200
3.4.14馬雲 201
3.5企業分析 204
3.5.1蘋果 204
3.5.2微軟 204
3.5.3三星 206
3.5.4日企的輝煌與迷失 206
3.5.5華為 208
3.5.6失落的沃爾沃 208
第四章經濟學通論 212
4.1需求定律分析 215
4.1.1價值決定價格基準 215
4.1.2競爭決定價格波動幅度 216
4.1.3消費者盈餘決定購買量 216
4.1.4價格決定消費者的最低層次 217
4.1.5消費者盈餘和購買量 218
4.1.5.1消費者利益持續提高,購買增量會逐漸降低 218
4.1.5.2產品的價格持續降低,購買增量會逐漸降低 218
4.1.6需求定律框圖 219
4.1.6.1消費者框圖分析 219
4.1.6.2生產者框圖分析 220
4.1.6.3趨勢與結果 222
4.1.7三種需求曲線 222
4.1.7.1價格下降購買量上升 223
4.1.7.2價格上升購買量上升 223
4.1.7.3價格上升購買量不變 224
4.2反身理論與均衡價格論 225
4.3科斯定理 234
4.3.1科斯定理的內容 234
4.3.2科斯定理的著名案例 235
4.3.3牛吃小麥案例分析 236
4.3.3.1前提分析 236
4.3.3.2牛吃小麥的系統分析 239
4.3.4交易費用不為0時的分析 245
4.3.4.1交易費用函式固定 245
4.3.4.2交易費用函式不固定 247
4.3.4.3交易費用小於零的情況 249
4.3.5產權的設定對資源配置的影響 249
4.3.6交易費用與市場作用的分析 251
4.3.7科斯為什麼鍾情於中國? 253
4.3.8科斯的局限 254
4.4博弈論 256
4.4.1經典的囚徒困境 256
4.4.2科斯定理與博弈論 257
4.5創新 259
4.6分工合作與專業化 260
4.7貨幣框圖分析 262
4.7.1貨幣供應量變化的影響 263
4.7.1.1貨幣供應量增加的影響 263
4.7.1.2貨幣供應量減少的影響 265
4.7.2需求量變化的影響 265
4.7.2.1需求量增加的影響 265
4.7.2.2需求量降低的影響 266
4.8自由經濟與凱恩斯主義 267
4.8.1凱恩斯與弗里德曼 267
4.8.2乘數模型 269
4.8.3凱恩斯的局限 271
4.9薩伊定律,有效需求和就業量 272
4.10經濟周期和經濟危機 274
4.11拉弗曲線與稅收分析 276
4.11.1拉弗曲線簡介 276
4.11.2拉弗曲線與稅收分析 277
4.11.3拉弗曲線與滯脹 278
4.11.4拉弗曲線的稅收政策啟示 279
4.12經濟學家 280
4.12.1亞當•斯密 280
4.12.2大衛•李嘉圖 282
4.12.3阿爾弗雷德•馬歇爾 284
4.12.4約翰•梅納德•凱恩斯 285
4.12.5約瑟夫•熊彼特 287
4.12.6弗里德里希•哈耶克 288
4.12.7羅納德•科斯 290
4.12.8米爾頓•弗里德曼 291
4.12.9加里•斯坦利•貝克爾 292
4.12.10楊小凱 293
4.12.11張五常 294
4.13經濟分析 295
4.13.1吉芬物品 295
4.13.2水與鑽石悖論 296
4.13.3碗型曲線 298
4.13.4市場,企業與廣義動量定理 299
4.13.5政府在經濟上的職能 299
4.14經濟學總結 301
第五章雜論 304
5.1思想家 304
5.2勵志和成功學 305
5.2.1戴爾•卡耐基 305
5.2.2拿破崙•希爾 306
5.2.3安東尼•羅賓 308
5.2.4奧格•曼狄諾 309
5.2.5厄爾•南丁格爾 310
5.2.6神經語言程式學NLP 311
5.3進化論 313
5.4最佳化算法與利益最大化 314
5.5世界的需求 317
第六章結語 319

