系統思考摘要
系統思考是最基本的原理和分析方法,用來分析各種因素的互動影響。系統思考來源於控制理論,它不僅適用於自動化,航空航天等領域,也適用於戰爭,管理學,經濟學以及其他領域。
系統思考的基本框圖為:
系統思考框圖系統框圖來自於控制理論。系統思考用來分析各種因素的互動影響。
控制理論的系統思考模型
系統思考框圖反饋控制系統(feedbackcontrolsystem)是一種“閉環”系統,是控制理論的基本概念。反饋指將系統的輸出返回到輸入端並以某種方式改變輸入,進而影響系統功能的過程。反饋可分為負反饋和正反饋。負反饋使輸出起到與輸入相反的作用,使系統輸出與系統目標的誤差減小,系統趨於穩定;正反饋使輸出起到與輸入相似的作用,使系統偏差不斷增大,使系統振盪,可以放大控制作用。
如果沒有反饋環節的控制稱為開環控制。
下圖為負反饋的框圖,負反饋通過輸入量和輸出量的偏差來對系統進行調節,使系統趨於均衡和穩定。
負反饋模型
負反饋模型例子下圖為正反饋的框圖,正反饋的輸出量經過反饋與輸入量相加,增加了系統的輸入,從而使系統的輸出增加,而系統輸出的增加會經過反饋進一步增加系統的輸入,從而使系統的輸出越來越大。
正反饋模型
正反饋模型例子延時可以存在與任何系統中,可能任何環節都有延時。行動和結果的延時無處不在。厄爾•南丁格爾在《最奇妙的秘密》中說:“成功是一個等待的過程”。當你為了某個目標行動後,不會馬上得到結果,而需要一段時間。以廣義動量定理來Fαt=MV解釋,當目標為一定程度的成果MV時,也需要一段時間t才能達到這個成果MV。
系統思考在戰爭、管理學和經濟學套用概述
在戰爭中,通過系統思考來分析各種因素的互動影響,我方對敵方的殺傷會影響敵方的戰鬥力,敵方對我方的殺傷會影響我方的戰鬥力,雙方的戰鬥力是互動影響的,通過系統思考來分析這種互動影響。
在管理學上,彼得•聖吉將控制理論上的負反饋與正反饋模型引入管理學,提出了第五項修煉——系統思考。負反饋是趨於穩定的,正反饋是趨於加強的。馬太效應,比爾•蓋茨的正反饋理論,巴菲特的滾雪球理論,賈伯斯的平台理論和索羅斯的反身理論均是正反饋模型。高德拉特聚焦於系統的限制因素,創立了TOC制約理論。系統思考用來分析各種因素的互動作用,廣義動量定理Fαt=MV用來分析如何增加成果,它們共同構成管理學最基本的原理。
在經濟學上,通過系統思考分析消費者利益,價格對購買量的影響,得到需求定律公式;通過系統思考分析消費者,生產者,成本,價格,消費者利益,創新,專業化等因素得到需求定律框圖。通過系統思考分析科斯定理的牛吃小麥案例中利潤,權利的分配等因素的關係,得到科斯定理的分析框圖;通過系統思考分析貨幣的供應量,流通速度,價格,商品的成交量等因素的互動關係,得到貨幣分析框圖;通過系統思考分析有效需求,就業量,生產量等因素的關係,得到就業框圖;通過系統思考分析交易量,稅率,總稅收等因素的關係,得到拉弗曲線公式和完整的拉弗曲線。
系統思考在戰爭中的運用
在戰爭中,通過系統思考來分析各種因素的互動影響,我方對敵方的殺傷會影響敵方的戰鬥力,敵方對我方的殺傷會影響我方的戰鬥力,雙方的戰鬥力是互動影響的,通過系統思考來分析這種互動影響。
系統思考在蘭切斯特法則中的運用
軍事上有一個比較著名的法則叫做蘭切斯特法則,蘭切斯特法則又稱蘭切斯特戰鬥理論或戰鬥動態理論,是套用數學方法研究敵對雙方在戰鬥中的武器、兵力消滅過程的運籌學分支。在1915年,英國工程師F.W.蘭切斯特(FrederickWilliamLanchester,1868-1948)在《戰鬥中的飛機》一文中,首先提出用常微分方程組描述敵對雙方兵力消滅過程,定性地說明了集中兵力的原理。1945年,J.H.恩格爾撰文肯定了蘭切斯特定律的實踐意義。他曾經根據在第二次世界大戰中美軍攻占日軍防守的琉璜島之役的作戰數據,計算了各方的消滅率係數,且用這兩個係數結合美軍的兵力增補率構成一個特殊的蘭切斯特方程。它的數值解相當準確地與該次作戰中的實際兵力變化進程相吻合。從此,這門理論得到不斷發展。蘭切斯特有兩個法則,分別為:
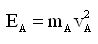
第一法則,遠距離作戰時:攻擊力=武器性能×兵力數,即E=mv
第二發則,近距離作戰時:攻擊力=武器性能×兵力數的平方,即E=mv^2
這裡E表示攻擊力,m表示武器性能,v表示兵力數。
蘭切斯特第二法則分析框圖
A隊人數受B隊戰鬥力的影響,B隊的人數同時也受A隊戰鬥力的影響,這是一個數學遞歸問題,可以使用系統思考來分析雙方兵力的互動影響。
假設A隊每a發子彈打死1人,B隊每b發子彈打死1人。A隊的剩餘人數等於A隊戰鬥人數減去B隊消滅人數,即
蘭切斯特第二法則公式1同理
蘭切斯特第二法則公式2如下面框圖所示
蘭切斯特第二法則系統思考框圖假設A隊和B隊武器性能相同,設為1,且均是a發子彈打死一個敵人。則
蘭切斯特第二法則公式3
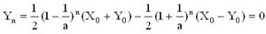
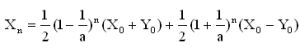
蘭切斯特第二法則公式4求出上述2個方程式的解,得到A隊和B隊人數的方程式
蘭切斯特第二法則公式5
蘭切斯特第二法則公式6
蘭切斯特第二法則公式7
蘭切斯特第二法則公式8蘭切斯特第二法則的動能定理闡釋
蘭切斯特第二法則:攻擊力=武器性能×兵力數的平方,即E=mv^2。這裡E表示攻擊力,m表示武器性能,v表示兵力數。
如A和B兩隊進行近距離作戰,則可使用蘭切斯特第二法則進行分析。A隊的戰鬥力為
蘭切斯特第二法則公式9,B隊的戰鬥力為
蘭切斯特第二法則公式10。兩隊進行戰鬥,A隊人數比B隊人數多,最後剩餘的戰鬥力
蘭切斯特第二法則公式11,將這個公式稱為第二法則戰鬥公式。而最後可以求出A隊剩餘的人數為:
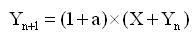
蘭切斯特第二法則公式12在兵力框圖分析中,使用遞歸方程式時,當初始兵力為X0=9,Y0=6,所能承受的被擊中的槍數越多(即a越大),則所需要的交火次數n越多,並且A隊剩餘人數Xn逐漸增大,最終A隊剩餘6.7人左右,B隊全部陣亡。
而使用動能定理來計算剩餘人數時,
蘭切斯特第二法則公式13首先來考察Xn(Yn最終為0,不需考慮)的遞歸方程
蘭切斯特第二法則公式8
蘭切斯特第二法則公式7
蘭切斯特第二法則公式14
蘭切斯特第二法則公式15
蘭切斯特第二法則公式16
蘭切斯特第二法則公式17
蘭切斯特第二法則公式13遞歸方程所計算的結果與動能定理計算的結果完全相同。隨機取X0,Y0進行計算,其結果都是完全相同的。
蘭切斯特第二法則的動能定理和系統思考結果對比
蘭切斯特第二法則公式18
蘭切斯特第二法則公式19而當武器性能不同時,用遞歸方程推算會比較複雜,而用動能定理
蘭切斯特第二法則公式12系統思考在孫子兵法中的運用
《孫子兵法》作戰篇:“車雜而乘之,卒善而養之,是謂勝敵而益強。”這是一個正反饋過程,戰爭勝利,獲得戰利品和俘虜,戰利品為己所用,歸順的俘虜增加了自己的兵力,從而增加了自己軍隊的戰鬥力,增加了下一次勝利的可能性。從而形成了一個戰鬥力不斷增加的正反饋過程。
孫子兵法戰鬥力正反饋模型戰爭總結
戰爭總結圖 戰爭是敵對雙方互相毀滅的過程,不僅能毀滅人類所創造的文明,更是毀滅了創造人類文明本身的人類。戰爭是政治的延續,其目的是為了利益,也可以說戰爭是為了更好的和平。戰爭可以通過智謀,外交,戰鬥等途徑而取得勝利,進而達到政治目的,獲得利益。戰鬥只是戰爭的一種形式,戰鬥的目的是追求有效的消滅敵人,並且減少自身的傷亡。即戰鬥的目的是追求戰鬥力盈餘最大化。而追求戰鬥力盈餘最大化又可以分為追求自身戰鬥力最大化,這是《戰爭論》的核心;另一個是追求對手實力最小化,這是《間接路線》的核心。會戰四原則是戰爭的基本原則,貫穿的動量定理Fαt=MV和系統思考。(1)用最高的精力使用我們所可能動用的一切兵力(增加F);(2)儘可能集中兵力在準備作決定性打擊的點上(選擇作用點);(3)不可浪費時間,行動快速始可制敵機先(時間t)。奇襲(方向α),為獲致勝利的最強力因素;(4)用最高的精力來追隨已獲的成功。追擊已敗的敵人實為獲致勝果的唯一手段(系統思考分析互動影響)。戰鬥通過分散敵人的兵力以減少敵人的戰鬥力,集中自己的兵力以獲得局部的兵力對比優勢,使用包圍的戰鬥方式,以增加兵力的協同作用,有效減少自身的傷亡,從而增加對方的傷亡。通過分散敵人兵力,集中自己兵力,造成局部兵力對比優勢,各個擊破敵人,最終取得戰鬥的勝利。
系統思考在管理學中的運用
在管理學上,彼得•聖吉將控制理論上的負反饋與正反饋模型引入管理學,提出了第五項修煉——系統思考。負反饋是趨於穩定的,正反饋是趨於加強的。馬太效應,比爾•蓋茨的正反饋理論,巴菲特的滾雪球理論,賈伯斯的平台理論和索羅斯的反身理論均是正反饋模型。高德拉特聚焦於系統的限制因素,創立了TOC制約理論。系統思考用來分析各種因素的互動作用,廣義動量定理Fαt=MV用來分析如何增加成果,它們共同構成管理學最基本的原理。
彼得•聖吉——系統思考
彼得•聖吉在《第五項修煉》中寫道:“
正負反饋和延遲:系統思考的積木塊
有兩種不同類型的反饋過程:正反饋和負反饋。正反饋(或放大反饋)過程是增長的引擎。只要你處在增長的局面,一定就有正反饋作用。正反饋過程也可以產生加速的衰減:很小的衰減被放大成越來越嚴重的衰減,就像金融恐慌時銀行財產的衰減情況一樣。
負反饋(穩定反饋)起作用時,就有以目標為導向的表現。如果目標是穩定不動,那么負反饋的作用就像車上的剎車裝置。如果目標是保持每小時60英里的速度,那么負反饋作用就會讓車加速到每小時60英里,但不會再高。目標可以是明確的,例如公司的市場份額目標;它也可以是隱性的,比如一個壞習慣,儘管我們聲稱要去掉,但還是堅持不改。
另外,許多反饋過程都有“延遲”,就是影響作用過程中的間歇和中斷,它使作用的結果逐漸才能顯現出來。
系統思考語言中的所有觀念,都是以這三個元素為基礎建立的,就好像英語的句子基本上都是由名詞和動詞組成的。
正反饋:發現微小變化是如何增長的
你身處正反饋系統中,可也許就是看不見,很小的行動如何被放大,帶來很大的結果—或好或壞的結果。而看清這個系統,往往就能讓你影響其走向。
在皮格馬利翁效應這樣的正反饋過程中,有一點變化就能帶來不斷的自我增強。不管什麼動作,一發生就會被放大,就會在同一方向上產生越來越大的動作。小動作得到滾雪球般的放大,同樣的動作越滾越大,就像利上滾利。其中,有些正反饋(放大反饋)作用是“惡性循環”:壞的開端導致越來越糟的結果。“汽油危機”是個經典案例。一旦汽油緊缺的訊息傳播出去,到加油站排隊加油的浪潮就被觸發了。一旦人們看到加油站排隊的場景,就對危機的到來深信不疑了,恐慌和囤積行為就被觸發了。很快,即使油箱還剩大半箱油,每個人也都要去加滿油,以防加油站沒了油。一場暴風雪來臨以前,同樣的情況也會發生在食品和水上面,因為大家預計會出現電力中斷和其他正常供給中斷的情況。銀行擠兌是另一個例子;而某種股票價格下跌的訊息傳出去以後,引發恐慌拋售浪潮,又是一個例子。這些都是逐步升級的結構模式:在不想看到的方向上發生一個小動作,就會引起不斷加劇的惡性循環。
但是,正反饋並非一定都是壞事。還有良性循環,即在想看到的方向上不斷增強的過程。比如,體育鍛鍊就能帶來良性循環:你感覺良好,於是更積極地參加鍛鍊,於是感覺更好,於是鍛鍊更積極。反恐戰爭如果能持續地逆向進行,也會是一個良性循環。新產品的市場培育也是正反饋循環過程。例如,許多新產品都從“口口相傳”,開始其市場增長的歷程。產品口口相傳就能有滾雪球效應(大眾汽車的甲殼蟲車型和蘋果公司的iPod都是如此),滿意的顧客告訴別人去購買產品,更多滿意的顧客又告訴更多的人。今天的網路設備給分享信息(或歌曲)的行動增加了另一層正反饋機制:一旦有人使用某種網路設備,信息分享就只能通過同類的設備進行。
下面就是口口相傳增加銷售和滿意度的正反饋示意圖:
口口相傳負反饋:發現穩定因素和抵制的來源
負反饋系統是尋求穩定的系統。自然界特別偏愛負反饋的平衡穩定作用。但人類卻經常作出與這些平衡機制相悖的決策,並為此付出代價。例如,經理人在預算緊張的時候通常會壓縮員工數量,以降低成本;但是他們會逐漸發現,剩餘的員工工作壓力過大,而且成本也沒有下來,因為完不成的工作又得雇用外部人員,或者付加班費來完成。成本下不來的原因是,系統有自身的工作安排。它有自己隱性的目標,一種未經表述卻又非常真實的目標—即預期要完成的工作量。
在負反饋(穩定反饋)系統中,有一種自我調節機制,來保持某種目標或指標。拿杯子接水就是一個負反饋過程,其目標是一杯水。雇用新員工也是一個負反饋過程,目標是某個數目的員工隊伍,或某個增長率。開車或騎腳踏車也是負反饋的例子,目標是駛向某個方向。
負反饋過程無處不在,是所有目標導向的行為表現背後的機制。像人體這樣複雜的機體,會有數千個負反饋過程來維持體溫、保持平衡、癒合傷痛、調節瞳孔採光量,以及進行危機報警。生物學家會說,所有這些機制都是為了讓身體得到“內穩態”(homeostasis),即在變化的環境中保持其生存所必需的內部條件。負反饋作用讓我們在飢餓時進食,睏倦時睡眠,寒冷時添加衣服。
和所有負反饋過程一樣,關鍵要素指標,如體溫,會逐漸調節到期望值,如下圖所示。
體溫負反饋組織機構和社會也像複雜的生物體一樣,因為它們也有許多各種各樣的負反饋過程。公司里的生產和採購過程,就是根據產品訂單的變化來不斷調整的;臨時的(折扣)和長期的(目錄)價格是根據需求變化和競爭對手的價格來調整的;而借貸則要依據現金餘額變化和財務需求來調整。
延遲:事情會發生的……等時候一到
我們已經看到,系統似乎有自己的主見。這在延遲上反映得最明顯。延遲就是在行動和結果之間的間斷和空隙。它可以讓你行動過火,搞得適得其反;但如果你能夠辨認並應對它,它又能給你帶來積極的效果。
模擬器件公司前CEO,麻薩諸塞州高科技委員會(MassachusettsHighTechnologyCouncil)創始人斯達塔,在他發表在《斯隆管理評論》(SloanManagementReview)雜誌上的一片經典文章中說:“系統績效改善工作最有效的槓桿作用點之一,就是把系統的延遲縮減到最小。”斯達塔這裡指的,是20世紀80年代後期美國製造業越來越強烈地意識到,傳統的嚴格控制庫房存貨的做法,與日本同行減小延遲(使庫存過多或過少的現象根本就不發生)的方法相比,根本就是低槓桿效益的方法。這後來發展成“時效競爭”(timebasedcompetition)的理念。波士頓諮詢公司(BCG)副總裁喬治•斯托克(GeorgeStalk)說:“領先企業在生產、新產品研發、銷售和配送等領域的時間管理方法,成為新的競爭優勢的最有效來源。”對減小延遲的重要性的認識,還進一步變成“柔性製造”和現在的“精益製造”的基礎。
當某個變數的作用需要經歷時間來影響另一個變數的時候,延遲就出現了,它成為系統語言的第三個基本要素。幾乎所有反饋過程都有某種延遲,但卻不被人注意,也不被人很好地理解。而這往往導致當事人“做過頭”,即在追求期望的目標時走得太遠,做過火了。進食和感覺到吃撐之間的延遲,是對許多用餐者的懲罰。我們本應停止繼續吞咽的時候,並不覺得很飽,於是就繼續吃下去,結果吃得太多。新開發的建設項目從開始到完工之間的延遲,導致房地產市場過熱,最終致使一些開發商被淘汰。
未經辨別的延遲,尤其是拖得很久的那種,還可能導致不穩定和失常的故障。比如調節淋浴水溫,10秒鐘的延遲就比一兩秒的延遲要困難得多。”
水溫調節延時
水溫曲線正反饋中的延遲也是同樣的問題。比如反恐戰爭,雙方都以為使自己對抗活動擴大、反應行動升級,會給自己帶來優勢,讓自己占到上風。這是由於反應行動結果的延遲。這種延遲可能是幾天、幾個月,甚至幾年,因為聚集力量進行下一輪攻擊行動是需要時間的。使這種惡性競爭得以維持下去的原因之一,就是暫時的、自鳴得意的優勢地位的感覺。假如雙方能夠立即對對方的力量聚集活動作出反應,持續聚集活動的動力就消失了。
系統觀點總是傾向於長期的視角。這就是為什麼延遲和反饋環路會如此重要。短期來看,你往往可以忽視這些東西。它們在眼下似乎微不足道,但長期來看,卻會回來找你的麻煩。
正反饋、負反饋和延遲都很簡單,作為“系統基本模式”的積木塊,它們得以實現自身價值。而系統基本模式,就是我們生活和工作中反覆發生的、更複雜的結構模式。”
馬太效應
馬太效應(MatthewEffect)來自聖經《新約•馬太福音》中的一則寓言:“天國又好比一個人要往外國去,就叫了僕人來,把他的家業交給他們。按著各人的才幹,給他們銀子。一個給了五千,一個給了二千,一個給了一千。就往外國去了。那領五千的,隨即拿去做買賣,另外賺了五千。那領二千的,也照樣另賺了二千。但那領一千的,去掘開地,把主人的銀子埋藏了。
過了許久,那些僕人的主人來了,和他們算賬。那領五千銀子的,又帶著那另外的五千來,說:“主阿,你交給我五千銀子,請看,我又賺了五千。”主人說:“好,你這又良善又忠心的僕人。你在不多的事上有忠心,我把許多事派你管理。可以進來享受你主人的快樂。”那領二千的也來說:“主阿,你交給我二千銀子,請看,我又賺了二千。”主人說:“好,你這又良善又忠心的僕人。你在不多的事上有忠心,我把許多事派你管理。可以進來享受你主人的快樂。”
那領一千的,也來說:“主阿,我知道你是忍心的人,沒有種的地方要收割,沒有散的地方要聚斂。我就害怕,去把你的一千銀子埋藏在地里。請看,你的原銀在這裡。”主人回答說:“你這又惡又懶的僕人,你既知道我沒有種的地方要收割,沒有散的地方要聚斂。就當把我的銀子放給兌換銀錢的人,到我來的時候,可以連本帶利收回。奪過他這一千來,給那有一萬的。”
因為凡有的,還要加給他,叫他有餘;沒有的,連他所有的也要奪過來。”
馬太效應因取自聖經馬太福音25章中耶穌的有關才幹比喻的一節著名經文而得名:“因為凡有的,還要加給他,叫他有餘。沒有的,連他所有的也要奪過來”。
1968年,美國科學史研究者羅伯特•莫頓(RobertK.Merton)歸納“馬太效應”為:任何個體、群體或地區,一旦在某一個方面(如金錢、名譽、地位等)獲得成功和進步,就會產生一種積累優勢,就會有更多的機會取得更大的成功和進步。
馬太福音是一種正反饋現象,這一次的成功(輸出)會增加此人的某種能力(輸入),從而使下一次成功的可能性增大,而下一次的成果又會促進再下一次的成果,從而使此人的成果越來越大。
比爾•蓋茨的正反饋
比爾•蓋茨在他的書《未來之路》中寫道:“事實標準常常通過經濟機制在市場上發生演變,這種經濟機制與推動商業成功的正向螺鏇的概念十分相似,它使一個成功推動另一個成功,這一概念叫做正反饋,它說明事實標準之所以常常出現在人們尋求兼容性的時候的原因。
在一個發展的市場上,只要存在一種稍微優於競爭對手的做法,這時正反饋循環就開始了。這種情況最容易發生在下面這種高技術產品上,這種產品可以大量製造,而成本卻很少增長,其一部分價值來源於他們的兼容性。家用錄像遊戲系統就是一個例證。這是一種有特殊目的的計算機,安裝有一張供特殊目的用的作業系統,該作業系統形成了遊戲軟體平台。兼容性的重要性,還在於可利用的應用程式(例如這裡的遊戲程式)越多,則機器本身對用戶來說就越有價值。同時,用戶購買的機器越多,軟體開發者就會為它開發越多的軟體。一旦一台機器的推廣到達了一個高水平,銷售量就會不斷上升。這時,正反饋循環就開始了。
計算機行業學到的最重要的教訓之一是,計算及對其用戶的價值大小取決於質量和可供計算機使用的各種套用軟體。
但是最初的IBM個人計算機實際上可以選擇裝入3個作業系統——即我們的PC-DOS,CP/M-86和UCSDPascalP-System。我們知道三個系統中只有一個能夠成功,從而成為標準。我們需要向VHS錄像帶推入每一個錄像帶商店那樣的同一類的力量,使MS-DOS也成為一個標準。我們看到有三種方法使MS-DOS名列前茅。
第一種就是要使MS-DOS成為最好的產品。第二種就是幫助別的公司編寫以MS-DOS為基礎的軟體。第三種是要確保MS-DOS價格便宜。
我們和IBM做了一筆令人難以置信的交易——即只交低廉的一次性費用,就使該公司在所銷售的許多計算機上使用微軟公司的作業系統。這就使得IBM有了動力去推廣MS-DOS,廉價地銷售它們。我們的策略成功了。IBM以大約450美元的價格出售UCSDPascalP-System,以175美元出售CP/M-86,而以60美元出售MS-DOS。
我們的目的不是要直接從IBM那裡賺錢,而是要從出售MS-DOS特許權賺錢,有的計算機公司想要提供或多或少的與IBM個人計算機兼容的機器,我們就把MS-DOS的特許權出售給這些公司。IBM可以免費的使用我們的軟體,但是它對未來的升級版軟體並不能享有獨占使用權和控制權。這使得微軟公司做起了把軟體平台的特許使用權出售給個人計算機工業的生意。結果IBM放棄了UCSDPascalP-System和CP/M-86的升級版本。
用戶們充滿信心的購買IBM個人計算機,在1982年,軟體開發者們開始拋出在這一DOS下運行的應用程式。每一個新的應用程式都增加了IBM個人計算機作為潛在的工業界的事實標準的實力。
一個正反饋的循環開始趨動個人計算機市場。一旦開了頭,成千上萬的應用程式出現了。不計其數的公司開始製造內置卡或“附屬檔案卡”,這些卡擴展了個人計算機的硬體能力,軟體和硬體的珠聯璧合所帶來的好處使個人計算機的銷售量遠遠超了IBM的預期銷量——成百上千萬地增加。正反饋循環為IBM循環出數十億美元。有好幾年,所有商用個人計算機中的半數以上是IBM的產品,其餘的大多數產品也與它兼容。
在三年內,幾乎所有的個人計算機競爭標準都消失了,唯一的例外是蘋果公司的蘋果二型(AppleII)和Mac機(Macintoch)。惠普,DEC,德州儀器和施樂公司,儘管在技術聲望和用戶方面都有很強的實力,但在80年代初期的個人計算機市場上均告敗北。原因在於它們的機器缺乏兼容性,而且沒有對IBM內部結構提供足夠的重大改進。”
比爾•蓋茨在《未來之路》中,詳細的介紹了微軟利用正反饋原理打敗所有的其他作業系統而成為行業標準。
比爾•蓋茨的正反饋思路是當微軟的作業系統在市場上有較多一些份額,就會有較多的軟體開發者為微軟的作業系統編寫套用軟體,這樣微軟的作業系統的價值就會提高,就會有更多的人購買微軟的作業系統,然後又有更多的軟體開發者為微軟系統編寫應用程式,增加微軟系統的價值,從而又再促進銷售。最後形成正反饋,打敗所有其他對手,成為行業標準。
比爾•蓋茨提出三種方法來增加微軟作業系統的市場份額的方法:“第一種就是要使MS-DOS成為最好的產品。第二種就是幫助別的公司編寫以MS-DOS為基礎的軟體。第三種是要確保MS-DOS價格便宜。”
“我們和IBM做了一筆令人難以置信的交易——即只交低廉的一次性費用,就使該公司在所銷售的許多計算機上使用微軟公司的作業系統。這就使得IBM有了動力去推廣MS-DOS,廉價地銷售它們。我們的策略成功了。IBM以大約450美元的價格出售UCSDPascalP-System,以175美元出售CP/M-86,而以60美元出售MS-DOS。”
微軟允許IBM以很低的費用使用微軟的作業系統,從而使IBM有動力去推廣微軟的作業系統而不是其他家的。而由於IBM在個人商用電腦上的巨大成功,使微軟的作業系統成為了行業標準。
微軟通過將作業系統的特許權出售給其他IBM的兼容機廠商賺錢。
在這裡作者以系統框圖來分析微軟的正反饋,並且介紹一條作者要在經濟學中講的重要原理:消費者盈餘決定購買數量;而不是價格決定購買數量。
消費者盈餘=消費者利益-價格。消費者利益指消費者購買某種產品或服務所獲得的利益,也就是商品價值。消費者盈餘與購買數量正相關,消費者盈餘越多,購買數量越多。
比爾蓋茨正反饋模型第二種方法是:“幫助別的公司編寫以MS-DOS為基礎的軟體”。幫助其他公司編寫與微軟系統兼容的軟體會提高微軟系統的價值,即提高了消費者的利益,從公式可以推出,消費者盈餘增加,購買量增加。
第三種方法是:“要確保MS-DOS價格便宜。”在消費者利益不變的情況下,降低價格會提高消費者盈餘,從而增加銷售量。
而比爾•蓋茨的三種方法都用了,則消費者盈餘會變的很大,購買量會增加很多,從而推動MS-DOS成為了行業標準。
在這3中方法中,微軟允許IBM以很低的價格在其計算機上使用微軟的作業系統,促使電腦界的巨人有動力去推廣微軟的作業系統,借著IBM的成功,而使自己的作業系統迅速成為行業標準,從而打敗所有其他的作業系統。蘋果系統,UNIX系統和其他作業系統的失敗都是因為他們的兼容性不好,甚至於蘋果公司自己的系統都不兼容,從而降低了消費者的利益。
巴菲特的滾雪球理論
巴菲特說:“人生如滾雪球,重要的是找到很濕的雪和很長的山坡。”
1994年10月10日巴菲特在內布拉斯加大學的演講中說:“複利有點像從山上往下滾雪球。最開始時雪球很小,但是往下滾的時間足夠長(從我買入第一隻股票至今,我的山坡有53年這么長),而且雪球黏得適當緊,最後雪球會很大很大。”
濕雪,指的是在合適的環境中投入能不斷滾動增長的資金。長坡,指的是能讓資金有足夠的時間滾大變強的企業。
其實巴菲特是用滾雪球比喻通過複利的長期作用實現巨大財富的積累,雪很濕,比喻年收益率很高,坡很長,比喻複利增值的時間很長。
巴菲特1963年寫給合伙人的信中說:“我們的合夥基金存在的根本原因就是要以高於平均水平的收益率複利增長,而且長期資本損失的風險比主要投資公司更低。”
網上寫:從1965年巴菲特接管伯克希爾公司,到2010年,過去46年巴菲特平均取得了20.2%的年複合收益率。
巴菲特是通過複利而賺到如此多的財富的。在2014福布斯全球財富榜上,沃倫•巴菲特以582億美元排名第4位。
巴菲特不是一次性投入一定數量的錢,然後通過複利而賺到如此財富的。巴菲特擁有一家全資的保險公司—伯克希爾哈撒韋。這家保險公司每年為巴菲特的投資提供巨大的資金流,從而使巴菲特有足夠的資金投入到股票當中,從而賺到如此財富的。
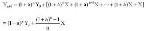
巴菲特滾雪球模型如上圖所示,假設巴菲特以年的時限來計算投資,每年伯克希爾哈撒韋公司為它提供的資金為X,每年他投資股票的回報為a,則他每年的新投入的資本為Y=(1+a)X,而上一年所賺的資本和本金今年也會以比例為a大小來增值。則可以得到一個巴菲特的資本為
滾雪球公式1
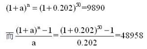
滾雪球公式2如果巴菲特的年複合收益率為20.2%,即a=20.2%,而他的投資年限從1965年到2014年為50年的話,那么
滾雪球公式3從上兩式可以看出,X所乘的比例要遠大於Y0所乘的比例,所以巴菲特每年的資金投入增值後的加總是巨大的。巴菲特本是沒有資本的,他的原始資本Y0也是通過吸納別人的錢做投資而積累的收益盈餘,這和他使用伯克希爾哈撒韋的資金做投資是相同道理的。
賈伯斯的平台理論
唐•瓦倫丁創立了全球最大的VC(風險投資商)——紅杉資本,且為風險投資四大巨頭之一。他說自己一生只見過兩個擁有超人洞見力的創業者:英特爾的羅伯特•諾伊斯和蘋果的史蒂夫•賈伯斯。
他也曾經宣稱,自從自己1959年去到矽谷,“沒有什麼是革命性的,全是進化”。就是說,所有技術進步都是相互呼應的,所以投資決策並非憑空而來。
賈伯斯是世界上最有洞見力的創業者,他創立了蘋果公司,Next,收購併成就了皮克斯,他至少五次改變了這個世界:一是通過蘋果電腦Apple-I,開啟了個人電腦時代;二是通過皮克斯電腦公司,改變了整個動漫產業;三是通過iPod,改變了整個音樂產業;四是通過iPhone,改變整個通訊產業;五是通過iPad,重新定義了PC,改變了PC產業。
比爾•蓋茨在《未來之路》中寫道:“在三年內,幾乎所有的個人計算機競爭標準都消失了,唯一的例外是蘋果公司的蘋果二型(AppleII)和Mac機(Macintoch)。”當比爾•蓋茨的正反饋作用開始後,所有的計算機競爭標準都被打敗了,唯有蘋果。可見蘋果是多么的有實力。作者將比爾•蓋茨的成功歸為商業模式的成功。作者認為,即使當年比爾•蓋茨擁有的不是PC-DOS,而是其他的作業系統,如CP/M-86。比爾•蓋茨一樣能通過正反饋模式使這個作業系統成為行業標準,然後出售作業系統特許權而成為世界首富。
“Windows贏了,”賈伯斯說,“很不幸,它打敗了Mac,打敗了Unix,打敗了OS/2。一個低劣產品勝出了。”
賈伯斯與沃茲尼亞克創辦了蘋果電腦公司,先後推出了APPLE-I,APPLE-II,Lisa和麥金塔電腦。在與IBM,微軟及兼容機的競爭中失敗,只占有少量的市場份額。賈伯斯那時沒有認識到兼容性對提高蘋果作業系統的重要性,採用封閉的系統,從而在作業系統上輸給了微軟。
1997年賈伯斯回歸蘋果,賈伯斯接連創造出3款偉大的產品:ipod,iphone,ipad還有軟體平台itunes。三大產品與itunes的完美結合,完成了賈伯斯所說的平台,即完成了正反饋。itunes上銷售的歌曲,視頻,軟體越多,ipod,iphone,ipad的價值越大,越能促進3款產品的銷售;而3款產品銷售的越多,為三款產品所開發的軟體利益越大,開發者開發的軟體和配套越多。從而完成正反饋效應。
賈伯斯的平台理論模型在正反饋中,初始的一點優勢就能激發正反饋效果。在比爾蓋茨的正反饋中,比爾•蓋茨是通過降低價格來增加銷量,完成初始的競爭優勢的。
而在賈伯斯的平台中,則是自然演化的,開發itunes是為了使ipod功能可以減少,使其易用。甚至於一段期間內賈伯斯都很排斥為微軟的作業系統開發Window版的itunes,但這樣做卻能增加正反饋的成果。賈伯斯是通過創新來增加消費者利益,從而完成早期的競爭優勢的。
淘寶網也是平台理論,屬於正反饋模型。在淘寶網上的商品越多,買家就越多,淘寶網的價值就越大,從而吸引更多的賣家和買家;賣家和買家越多,淘寶網的平台價值增加的就越大。
索羅斯的反身理論
索羅斯的核心投資理論就是所謂“反身理論”。簡單來說,反身理論是指投資者與市場之間的一個互動影響。索羅斯認為,金融市場與投資者的關係是:投資者根據掌握的資訊和對市場的了解,來預期市場走勢並據此行動,而其行動事實上也反過來影響、改變了市場原來可能出現的走勢,二者不斷地相互影響。因此根本不可能有人掌握到完整資訊,再加上投資者同時會因個別問題影響到其認知,令其對市場產生“偏見”。
反身理論是正反饋現象,索羅斯挑戰了傳統經濟學的價格均衡理論。
TOC制約理論
艾利•高德拉特博士,是以色列物理學家、企業管理大師,“TOC制約法”的創造者。TOC提供一套基於系統方式的整體流程與規則,去挖掘複雜系統固有的簡單性,通過聚焦於少數“實體的”和“邏輯的”“槓桿點”,使系統各部分同步運行,從而達成系統整體績效持續改善的理論。
TOC認為,任何系統至少存在著一個制約因素——瓶頸,否則它就可能有無限的產出。因此要提高一個系統(任何企業或組織均可視為一個系統)的產出,必須要打破系統的瓶頸。任何系統可以想像成由一連串的環所構成,環與環相扣,這個系統的強度就取決於其最薄弱的一環,而不是其最強的一環。相同的道理,我們也可以將我們的企業或機構視為一條鏈條,每一個部門是這個鏈條其中的一環。如果我們想達成預期的目標,我們必須從最弱的一環,也就是從瓶頸的一環下手,才可得到顯著的改善。換句話說,如果這個瓶頸決定一個企業或組織達成目標的速率,我們必須從克服該瓶頸著手,才可以更快速的步伐在短時間內顯著地提高系統的產出。
彼得•聖吉在《第五項修煉》中寫道:“
系統思考還指出:微小的、集中的行動,如果選對地方,有時會帶來可觀的、可持續的改善。系統思考學者們把這個原則叫做“槓桿作用”(leverage)。管理方針:此時不要嘗試去推動成長,而要除掉限制成長的因素。”
彼得聖吉和高德拉特的方法都是系統思考的方法,他們都認為集中力量於限制因素會使系統的產出有持續的增加。
系統最終的產出將受到系統內最薄弱環節的限制。換言之,任何一個鏈條的牢固程度取決與它最薄弱的環節。TOC理論的約束與木桶理論很像,是木桶最低的那塊板決定木桶能裝水的高度,而不是最高的那塊板。
價格,成本和利潤
消費者利益(商品的價值)與購買量正相關,消費者利益越大,購買量越多;商品的價格與購買量負相關,價格越高,購買量越少。消費者盈餘=消費者利益-商品的價格,所以消費者盈餘與購買量正相關。設商品的價值為B(Benefit),商品的價格為P(Price),消費者盈餘為S(Surplus),購買量為Q(Quantity),消費者盈餘轉化為購買量的函式為K(K與購買量正相關,但不一定成正比例),為計算方便,假設K與購買量成正比例,則
Q=K(B-P)
將此公式稱為需求定律公式或需求公式。
需求定律公式框圖 消費者盈餘轉化率K在市場中的表現形式被稱為市場行銷,即在消費者利益和價格不變的情況下,改變消費者盈餘轉化率K,也可以改變購買量。
管理學家彼得•德魯克說:“企業的宗旨是創造顧客,所以企業有且只有兩項基本職能:創新和市場行銷。創新不等同與發明。創新是一種經濟上的術語,而非技術上的術語。”創新是指創造更大的消費者盈餘S,而市場行銷是指增加消費者盈餘轉化率K,從而增加購買量。
傑克•特勞特說:“彼得•德魯克自1954年開始,終其一生都在說:企業存在的唯一目的是創造顧客。我則花了40多年時間,來告訴全球的企業人士如何創造顧客:關鍵在於通過精準定位獲得顧客心智的認同。”傑克•特勞特在市場行銷上創造了定位理論,通過定位理論可以提高消費者盈餘轉化率K,從而增加購買量Q。
企業創造了消費者盈餘(B-P),通過市場行銷增加了盈餘轉化率K,進而創造了購買量Q=K(B-P),則企業實現了自己的宗旨:創造顧客。所以,有三種因素會影響購買量,消費者利益(商品的價值),商品的價格和盈餘轉化率。
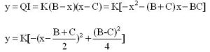
如果將單個產品的利潤設為I(Interest),產品的成本設為C(Cost),則I=P-C。結合需求定律公式Q=K(B-P),總利潤T(Total)等於購買量乘以單個產品的利潤,即T=QI=K(B-P)(P-C)。
總利潤公式分析
分析一下定價對產品總利潤的影響。假設產品的價格為x,總利潤為y,盈餘轉化率K假定不變。(現實中消費者盈餘與銷售量正相關,但不一定是正比例關係)。則總利潤
y=QI=K(B-x)(x-C)
總利潤公式1如圖所示,這是一條開口向下的拋物線,當定價x為(B+C)/2時,總利潤得到最大值為K(B-C)^2/4。
總利潤曲線這是不考慮競爭對手時的極限情況,而當考慮對手時,如某產品的市場需求為d,而所有競爭對手都能提供類同的價格和消費者利益,假設有n個廠家,那么此時自己可以占有的市場可以簡單的設為d/n。如果已有統計的各家市場的占有率,自己的市場占有率乘以市場容量就是自己自己的產品市場大小。當自己選擇提高價格時,一般不會有廠家跟隨,因為提價會減少消費者盈餘,而降低銷量。由於競爭的原因,相當於別人的產品更有競爭力,自己的產品的銷售量還會進一步下降,所以一般情況下提價很難得到利潤最大化。而當自己通過降價來提高消費者盈餘,從而提高銷量時,很容易引起競爭對手也跟隨降價。如果與競爭對手進入價格戰,最後大家的利潤總額都會降低,甚至虧本。在沒有成本優勢或者在不考慮競爭對手的進一步行為的情況下而盲目降價是不明智的,很難達到預先的增加利潤總額的目的。
在價格函式中,定價不同則總利潤是不同的,定價對一家企業來說是至關重要的,因為在不改變消費者利益和產品成本的情況下,定價的不同對應著不同的總利潤值,這關係到公司的生存和發展。定價不僅受消費者利益和成本的影響,還受競爭對手產品的價格及消費者利益影響,並且還受到競爭對手的價格變化影響。
在價格函式中,當定價x為(B+C)/2時,總利潤得到最大值為K(B-C)^2/4。總利潤最大值與消費者利益與成本相關,消費者利益越大,成本越低,則總利潤越大,這是與常識完全相符的。並且總利潤還與比例K有關,即與消費者盈餘與銷售量的比例有關,而此係數則可以通過行銷的作用使其最大化。所以有三種方法來增加總利潤:
1)增加消費者利益,可以增加總利潤。消費者利益可以通過研發增加產品功能,增加產品可靠性,便利性等;也可以通過配套產品增加消費者利益,如兼容軟體增加了微軟作業系統的消費者利益。
麥可•波特的差異化和專一化戰略都是增加消費者利益的戰略。
2)降低成本可以增加總利潤。精益生產和阿米巴的生產方法都可以有效的降低產品成本;提高產品的產出速度也可以有效降低成本,如TOC。
麥可•波特的總成本領先戰略就是降低成本的戰略。
3)增加消費者盈餘轉化為銷售量的比例K。這點需要行銷等方式來實現,而行銷中的定位理論是一個較好的行銷理論和方法。
消費者利益有上限,成本有下限,盈餘轉化率K有上限。消費者利益的上限通常較難達到,並且第一屬性達到消費者要求後則會轉向對下一個屬性的利益需求,這是克里斯坦森破壞性創新所講述的。而產品一旦達到消費者利益上限,很容易促發價格戰;因為當產品達到消費者利益上限後,想通過提高消費者盈餘來提高銷量的話,只有降低售價。成本有下限,成本越降,進一步下降的難度越大,而成本的極限是0,但不可能降到0。並且當越來越多的企業引入先進的生產方法時,每一家企業在產品成本上的差距越來越小。在許多企業中,產品的生產都是外包的,甚至於互為競爭對手的兩家可能將產品外包給同一家企業進行代工生產。所以產品在生產上的成本很難有大的競爭優勢,在成本控制這一點上,日本豐田是其中的佼佼者。盈餘轉化率也有上限,合適的行銷會增加盈餘轉化為銷售量的比例K,而隨著行銷的增加,比例K的增加會減少,並且行銷也是有成本的。但行銷提供了第三種方法來提高銷售量,當產品達到消費者利益上限後,除了通過降價來提高總利潤外,還可以通過行銷來實現。所以傑克•特勞特說在同質化的產品時代,行銷定位是提高產品銷售額的有效方法。從產品競爭演化的角度來說,大部分產業首先競爭的都是產品的消費者利益,然後是成本,最後是行銷。在不同行業中,消費者利益,成本和行銷的競爭先後順序不同,重要性也不相同。在保險行業,各保險公司的消費者利益和成本是差不多的,競爭的重點是行銷和推銷。在大部分行業中,當產品的消費者利益,產品成本和行銷都經過了較激烈和充分的競爭後,市場上一般只會剩下兩家企業,成為特勞特所說的兩匹馬的競爭。
價格戰框圖
價格戰系統框圖假設某產品市場中有兩家企業(多家企業也可),我們用系統框圖來分析兩家企業的之間價格戰情況。假設兩家企業都是分別為A企業和B企業,他們都是希望通過增加銷售量來增加利潤,而兩家企業都選擇了通過降價來提高消費者盈餘,從而提高銷售量的方法。A企業為了提高銷售量,選擇降低產品價格,此時消費者盈餘=消費者利益-原價格-價格增量。降價時,價格增量是負的,原價格指未降價時的價格,價格增量為價格增加的量,降價時價格增量為負數。比如一產品原價100元每件,降價5元,價格增量為-5,現價格為100-5=95元。
A企業產品降價,增加了消費者盈餘,增加了自己的銷售量。對B企業來說,A企業產品降價相當於降低了B企業產品的競爭力,從而吸引了自己的一些原有客戶,導致自己的銷售量減少,即相比以前銷售增量是負數。B企業為了提高銷售量也選擇降低產品價格,即銷售增量與價格增量是同向的。現期銷售量相比以前減少,銷售增量為負。為了提高未來的銷售量,選擇降低產品價格,即價格增量為負。比如由於A企業產品的降價,導致B企業此月的銷售量從10萬件下降到9萬件,銷售增量為-1萬件。而為了提高銷售量,就要提高消費者盈餘。B企業打算通過降價的方法提高消費者盈餘,從而提高下個月的銷售量。而價格下降的越多,消費者盈餘越多,銷售量越多。A企業降價越多引起B企業銷售增量負的越多,B企業降價的幅度越大,則價格增量負的越大。
A企業的產品降價引起B企業產品銷售量減少,從而導致B企業產品降價,進而又導致A企業銷售量減少。企業以降價來提升銷售量的做法很容易觸發價格戰。當產品的價格在價格函式曲線中過拋物線直線的右邊時,降低價格會提高總的利潤;而當價格在直線的左邊時,降低價格會減少總的利潤。如果競爭雙方價格戰升級到惡性價格戰,甚至於價格低於成本時,則受到傷害的不僅是競爭對手,更是自己。惡性價格戰沒有勝利者,競爭雙方都在喪失實力,甚至於導致雙方企業的破產。
十七種企業戰略
參照廣義動量定理Fαt=MV,利潤函式最大值K(B-C)2/4,需求框圖,戰爭理論,麥可•波特三大戰略和系統思考,總結十七種商業戰略,
十七種戰略為:
1.力量最大化戰略
2.歧異化戰略
3.競時戰略
4.聚焦戰略
5.競質戰略
6.競速戰略
7.消費者利益最大化戰略
8.成本最小化戰略
9.銷售量最大化戰略
10.渠道戰略
11.創造需求戰略
12.模仿戰略
13.攻敵弱點戰略
14.對手競爭力最小化戰略
15.合作戰略
16.協同戰略
17.正反饋戰略
其中戰略1到6來自於廣義動量定理。戰略7到12來自於利潤函式與需求定律框圖,戰略13和14來自於軍事,戰略15到17來自於系統分析。
這些戰略的目的是追求利潤最大化。
管理學總結
管理學總結圖 德魯克為管理學提供了理論基礎,他指出企業的唯一宗旨就是創造顧客,所以企業有且只有兩項職能:創新和市場行銷。這和經濟學上的專業化與分工合作有異曲同工之妙,創新和專業化都能增加有效產出,市場行銷和分工合作都可以增加交易量。
管理學的深層原理就是廣義動量定理Fαt=MV,成果MV就是力量F在方向α上經過時間t的積累。廣義動量定理過程包括四要素,力量F,方向α,時間t和力量的作用點;成果MV包括廣義質量M和廣義速度V;增加這六個要素就能增加成果。眾多管理學家的管理理論均符合廣義動量定理。在力量F上,哈默爾提出了核心競爭力;在方向α上,麥可•波特提出了三大競爭戰略,赫爾伯特•西蒙提出了管理決策理論,本文提出了17種企業戰略,包括力量最大化戰略,歧異化戰略,競時戰略,聚焦戰略,競質戰略,競速戰略,消費者利益最大化戰略,成本最小化戰略,銷售量最大化戰略,渠道戰略,創造需求戰略,模仿戰略,攻敵弱點戰略,對手競爭力最小化戰略,合作戰略,協同戰略,正反饋戰略。在時間t上,德魯克等管理學家提出了時間的管理原則,增加有效工作時間,可以增加產出。在作用點上,克里斯坦森提出了破壞性創新,指出客戶的需求從功能性向可靠性,便利性和價格的轉移,而競爭的焦點和企業成功的衡量標準也隨之轉移;傑克•特勞特通過在行銷上的聚焦,提出了定位理論;高德拉特在生產流程約束上的聚焦,提出了制約理論。增加力量F的大小,提高力量方向α的準確性,增加時間t,選擇合適的作用點,都可以增加成果MV的大小。在廣義質量M上,戴明提出了14要點,朱蘭提出了朱蘭三部曲,克勞斯比提出了零缺陷,摩托羅拉提出了六西格瑪;在廣義速度V上,福特創造了流水線生產,大野耐一創造了精益生產,高德拉特創造了制約理論。提高廣義質量M和廣義速度V,成果MV都可以增加。
在系統思考上,彼得•聖吉將控制理論上的負反饋與正反饋模型引入管理學,提出了第五項修煉。馬太效應,比爾•蓋茨的正反饋理論,巴菲特的滾雪球理論,賈伯斯的平台理論和索羅斯的反身理論均是正反饋模型。系統思考用來分析各種因素的互動作用。本章通過系統思考給出了企業的總利潤函式,指出了商品價值,成本,價格和銷售量之間的關係,提出消費者盈餘決定銷售量,價格決定最低消費者層次。廣義動量定理Fαt=MV用來分析如何增加成果,系統思考用來分析各種因素的互動影響,它們共同構成管理學最基本的原理。
系統思考在經濟學中的運用
在經濟學上,通過系統思考分析消費者利益,價格對購買量的影響,得到需求定律公式;通過系統思考分析消費者,生產者,成本,價格,消費者利益,創新,專業化等因素得到需求定律框圖。通過系統思考分析科斯定理的牛吃小麥案例中利潤,權利的分配等因素的關係,得到科斯定理的分析框圖;通過系統思考分析貨幣的供應量,流通速度,價格,商品的成交量等因素的互動關係,得到貨幣分析框圖;通過系統思考分析有效需求,就業量,生產量等因素的關係,得到就業框圖;通過系統思考分析交易量,稅率,總稅收等因素的關係,得到拉弗曲線公式和完整的拉弗曲線。
需求定律公式
消費者利益(商品的價值)與購買量正相關,消費者利益越大,購買量越多;商品的價格與購買量負相關,價格越高,購買量越少。消費者盈餘=消費者利益-商品的價格,所以消費者盈餘與購買量正相關。設商品的價值為B(Benefit),商品的價格為P(Price),消費者盈餘為S(Surplus),購買量為Q(Quantity),消費者盈餘轉化為購買量的函式為K,則
Q=K(B-P)
將此公式稱為需求定律公式或需求公式。
需求定律公式框圖當價格P下降時,消費者盈餘S=(B-P)上升,由需求定律公式Q=K(B-P)可以得到購買量Q上升;當價格上升時,消費者盈餘下降,所以購買量上升。當消費者利益B(商品的價值)上升時,消費者盈餘S=(B-P)上升,所以購買量Q上升;當消費者利益(商品的價值)下降時,消費者盈餘下降,所以購買量下降。對於大多數商品,消費者利益(商品的價值)是固定的,所以才有價格下降,購買量上升的一直的反向關係。消費者盈餘轉化率K在市場中的表現形式被稱為市場行銷,即在消費者利益和價格不變的情況下,改變消費者盈餘轉化率K,也可以改變購買量。
管理學家彼得•德魯克說:“企業的宗旨是創造顧客,所以企業有且只有兩項基本職能:創新和市場行銷。創新不等同與發明。創新是一種經濟上的術語,而非技術上的術語。”創新是指創造更大的消費者盈餘S,而市場行銷是指增加消費者盈餘轉化率K,從而增加購買量。企業創造了消費者盈餘(B-P),通過市場行銷增加了盈餘轉化率K,進而創造了購買量Q=K(B-P),則企業實現了自己的宗旨:創造顧客。所以,有三種因素會影響購買量,消費者利益(商品的價值),商品的價格和盈餘轉化率而不是傳統需求定律所說的價格決定購買量。
如果將單個產品的利潤設為I(Interest),產品的成本設為C(Cost),則I=P-C。結合需求定律公式Q=K(B-P),總利潤T(Total)等於購買量乘以單個產品的利潤,即T=QI=K(B-P)(P-C)。我們在管理學價格,成本與利潤那節已經論述過,總利潤曲線是一條以價格P為自變數的拋物線,當價格P為(B+C)/2時,企業獲得利潤最大值為K(B-C)^2/4。
對於傳統需求定律,它遇到了3種物品的挑戰,奢侈品,吉芬物品和投機品,這三者的價值是隨價格的變化而會發生變化的。
需求定律的四條準則:價值決定價格基準,競爭決定價格波動幅度;消費者盈餘決定購買量,價格決定最低消費者層次。
需求定律框圖
通過系統思考分析消費者,生產者,商品利益,價格,成本,購買量等的一系列因素的互動影響,畫出了簡要的需求定律經濟學框圖。
需求定律框圖反身理論與均衡價格論
經濟學家馬歇爾在《經濟學原理》提出均衡價格論,均衡價格論是該書的核心。馬歇爾以英國古典經濟學中生產費用論為基礎,吸收邊際分析和心理概念,論述價格的供給一方;又以邊際效用學派中的邊際效用遞減規律為基礎,對其進行修改,論述價格的需求一方,認為商品的市場價格決定於供需雙方的力量均衡,猶如剪刀之兩刃,是同時起作用的,從而建立起均衡價格論。
價格均衡論圖如圖所示,ss’為供給曲線,dd’為需求曲線。供給量越多,價格越低;需求量越高,價格越高。由於供給與需求的互動作用,最後兩條曲線相交於均衡點A點。
在現實中,股票價格上升,購買量也上升,需求定律無法解釋,並且供需曲線也並沒有如均衡價格曲線那樣達到一個均衡點,而是處在非均衡的狀態。金融家索羅斯通過反身定理和金融經歷對經濟學的均衡模型提出了挑戰。
經濟學上用羊群效應來解釋股票市場的價增購買量增多,並且認為是不理性的行為(與人是自利的假設衝突),這是用現象解釋現象,缺乏解釋力。經濟學家也試圖通過將股票市場的價升需求量上升定義為不理性的行為來迴避與需求定律價升需求量應下降的矛盾。羊群效應是指不去思考的從眾效應,而金融投機者整天在做的事情就是思考投機哪只股票,以及何時投機。
金融家喬治•索羅斯提出反身理論來解釋這種非均衡現象,並對傳統的經濟學理論提出質疑。
在控制理論上有2種模型,負反饋模型和正反饋模型。馬歇爾的均衡價格論是負反饋模型,負反饋是趨於穩定的;而索羅斯的反身理論是正反饋模型,正反饋是趨向於加強,非穩定狀態的。負反饋與正反饋一同構成完整的經濟學模型。
反身理論框圖科斯定理分析
通過系統思考對科斯定理中牛吃麥子的案例進行詳盡的分析。。
牛吃小麥的權利歸種麥者
科斯定理牛吃小麥案例框圖1
科斯定理牛吃小麥案例框圖1分析牛吃小麥的權利歸養牛者
科斯定理牛吃小麥案例框圖2
科斯定理牛吃小麥案例框圖2分析通過系統思考對科斯定理中牛吃麥子的案例進行詳盡的分析。科斯定理的本質是理性人會對資源進行最有效率的配置,即科斯定理的本質是資源配置。科斯創造性的提出了交易費用,交易費用是一種廣義的摩擦力。當交易費用為零,不管產權如何配置,都會達到帕累托最優;當交易費用固定,有可能達到帕累托最優;交易費用不固定,不能達到帕累托最優。不同產權配置會帶來不同的資源配置,越小的交易費用越接近資源的最優配置。為了達到社會財富最大化,產權的制度應該是向最小交易費用的方向傾斜,即向競爭最激烈的方向配置產權。
科斯和張五常都認為市場的存在是為了降低交易費用。人們進行交易不是為了節約交易費用,而是為了能獲得產品帶來的利益。科斯只看到了交易費用對市場的影響,沒有看到產品利益和其他成本對市場的影響,從而得出市場是為了降低交易費用的錯誤結論。市場的存在不只是為了降低交易費用,而是為了促使消費者盈餘最大化。
科斯在《企業的性質》一文中寫道:企業的存在是為了節約市場交易費用,即用費用較低的企業內交易代替費用較高的市場交易。
企業的存在不是為了節約交易費用,企業的存在是為了創造成果,創造消費者盈餘,進而創造了購買量,最終創造了利潤。
科斯定理的本質是資源配置,所以科斯定理解釋不了創新,解釋不了經濟成長,也解釋不了經濟危機。即使是交易費用無限趨近於零,市場本身也創造不出iPhone。所以說企業的存在是為了節約市場交易費用是不對的,企業的存在是為了創造成果,創造消費者盈餘,進而使社會財富最大化。
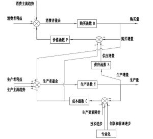
貨幣框圖分析
通過系統思考分析貨幣數量,貨幣流通速度,價格和商品交易量等因素的互動關係,得到貨幣框圖。貨幣框圖分析中指出貨幣供應量增多,商品的價格上升;商品價格的調整速度要快於貨幣速度的調整。
貨幣物價分析框圖就業框圖
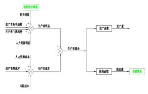
通過系統思考分析生產者利益,消費者有效需求,生產者成本和就業量等因素,得到就業框圖,指出就業量和需求量是互相影響的。
有效需求和就業框圖在經濟周期和經濟危機的分析中指出經濟危機是由反向的正反饋作用引起,經濟周期是無法避免的,但經濟危機是可以避免的。
拉弗曲線分析
通過系統思考分析價格,購買量,稅率,消費者利益等的關係,得到拉弗曲線公式和完整的拉弗曲線。分析了減稅政策對於滯脹的影響,並且指出稅收對於市場來說屬於交易費用,阻礙社會財富達到最大化。在稅收上的政策不應該是追求稅收最大化或者稅收適當化,而是應該追求稅收最小化,小到僅夠維持政府和市場的正常運行即可。
拉弗曲線公式
完整拉弗曲線經濟學總結
經濟學總結圖 廣義動量定理Fαt=MV和系統思考是分析經濟學的兩大工具,用廣義動量定理來分析如何取得成果,用系統思考來分析各種因素的互動影響。
