幾何異構
類型 ①在雙鍵兩側的兩個不飽和碳上,分別連有兩個不同的原子或原子團時,會產生幾何異構,例如:


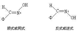
結構的化合物中,如果與氮原子相連的另一個原子與C=N雙鍵不在一條直線上,而偏在雙鍵的一邊,當雙鍵碳原子連有不同的原子或原子團時,便存在幾何異構體。例如,苯甲醛肟有下列兩種異構體: 
④ 含氮-氮雙鍵-N匉N-結構的化合物,也會有幾何異構現象。它們的異構體可以用順式、反式或用同式、逆式區別,例如偶氮苯:




② Z/E命名法,以原子序數的優先次序排列,如優先次序是a>b、d>e,兩個占先的a和d在雙鍵的同側稱為Z式;兩個占先的a和d在雙鍵的兩側稱為E式,例如:



