定理含義
一個信號所含有的能量(功率)恆等於此信號在完備正交函式集中各分量能量(功率)之和。
定理形式
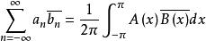
帕塞瓦爾定理假定 A( x)和 B( x)都是平方可積的(參照勒貝格測度)複變函數,且定義在 R上周期為2π的區間上,分別寫成傅立葉級數的形式:
帕塞瓦爾定理則有:
帕塞瓦爾定理
在數學中,帕塞瓦爾定理經常指“傅立葉轉換是么正算符”這一結論;簡而言之,就是說函式平方的和(或積分)等於其傅立葉轉換式平方之和(或者積分)。這個定理產生於Marc-Antoine Parseval在1799年所得到的一個有關級數的定理,該定理隨後被套用於傅立葉級數。它也被稱為瑞利能量定理或瑞利恆等式,以物理學家約翰·斯特拉特,第三代瑞利男爵命名。 雖說這一術語常用來描述傅立葉轉換的么正性,尤其是在物理學和工程學上,但這種屬性最一般的形式還是稱為Plancherel theorem而不是才更合適。
一個信號所含有的能量(功率)恆等於此信號在完備正交函式集中各分量能量(功率)之和。
帕塞瓦爾定理假定 A( x)和 B( x)都是平方可積的(參照勒貝格測度)複變函數,且定義在 R上周期為2π的區間上,分別寫成傅立葉級數的形式:
帕塞瓦爾定理則有:
帕塞瓦爾定理在數學分析中,以Marc-Antoine Parseval命名的帕塞瓦爾恆等式是一個有關函式的傅立葉級數的可加性的基礎結論。表示可積函式與其傅立葉係數之...
人物簡介 定理表述 定理的推廣 定理介紹帕塞瓦爾(Parseval)是一位數學家。提出帕塞瓦爾定理又稱能量守恆定理 帕塞瓦爾定理指出,一個信號所含有的能量(功率)恆等於此信號在完備正交函式集中...
數學定理列表(按字母順序排列) 以下列出了許多數學定理,供查閱與引用。
維弗雷多·帕累托(Vilfredo Pareto ,1848年7月15日—1923年8月19日),義大利經濟學家、社會學家,洛桑學派的主要代表之一。生於...
人物生平 個人成就 主要著作 學術成就 經濟影響貝塞爾不等式(Bessel inequality)是關於傅立葉係數平方和的估計。 在數學裡的泛函分析中,貝塞爾不等式是類似於勾股定理的一種不等式。貝塞爾...
定義及延伸 例子 證明-羅亞爾河谷區 Canton de Tours-Val-du Cher...路易羅亞爾區 Canton de Montlouis-sur-Loire...² 1057人/km² 37 29 聖西爾羅亞爾區 Canton de...
地理 歷史 政治 經濟 交通第一屆阿貝爾獎。獲獎數學家:2003年:讓-皮埃爾·塞爾(法蘭西學院...在拓撲、幾何和代數方面的先驅性發現。2012年:匈牙利數學家安德烈·塞邁雷...
數學研究 數學獎 國外著名數學家 華人數學家 部分數學家簡介爾和E.von柏姆-巴維克為代表。洛桑學派以瓦爾拉斯和他的繼承者V.帕累...)之比,這屬於一般均衡分析,瓦爾拉斯的價格論就是如此。帕累托師承瓦爾拉斯,但他又以效用序數論和無差異曲線方法,修正和發展了瓦爾拉斯的一般均衡分析。帕...
產生 發展 邊際效用價值論 市場價格論 評論《上帝擲骰子嗎》 摘要 愛因斯坦:「一個人的價值,應該看他貢獻了什麼,而不是他取得了什麼。」 愛因斯坦說:「我不相信上帝是靠擲骰...
《上帝擲骰子嗎》 序 第一章 黃金時代 第二章 烏雲 第三章 火流星