帕塞瓦爾
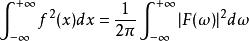
帕塞瓦爾若函式 可積且平方可積,則 。其中 F(ω) 是 f(x) 的傅立葉變換。
帕塞瓦爾
帕塞瓦爾
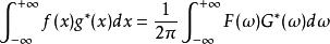
帕塞瓦爾更一般化而言,若函式和皆平方可積,則。其中 F(ω) 和 G(ω) 分別是 f(x) 和 g(x) 的傅立葉變換,* 代表復共軛。這就是普朗歇爾定理。
帕塞瓦爾(Parseval)是一位數學家。提出帕塞瓦爾定理又稱能量守恆定理 帕塞瓦爾定理指出,一個信號所含有的能量(功率)恆等於此信號在完備正交函式集中各分量能量(功率)之和。它表明信號在時域的總能量等於信號在頻域的總能量,即信號經傅立葉變換後其總能量保持不變,符合能量守恆定律。
帕塞瓦爾
帕塞瓦爾若函式 可積且平方可積,則 。其中 F(ω) 是 f(x) 的傅立葉變換。
帕塞瓦爾
帕塞瓦爾
帕塞瓦爾更一般化而言,若函式和皆平方可積,則。其中 F(ω) 和 G(ω) 分別是 f(x) 和 g(x) 的傅立葉變換,* 代表復共軛。這就是普朗歇爾定理。
在數學分析中,以Marc-Antoine Parseval命名的帕塞瓦爾恆等式是一個有關函式的傅立葉級數的可加性的基礎結論。表示可積函式與其傅立葉係數之...
人物簡介 定理表述 定理的推廣 定理介紹西蒙·玻利瓦爾(西班牙語:Simón Bolívar;英語:Simón Bolívar,1783年7月24日—1830年12月17日),全名為“西蒙·何...
人物經歷 軼事典故 人物貢獻 人物事件 後世紀念帕塞瓦爾公式(Parseval formula)是經典帕塞瓦爾公式的推廣。在特殊情況f=g時,帕塞瓦爾公式就是普朗歇爾公式。
簡介 特殊情況 局部緊交換群 特徵標在數學中,帕塞瓦爾定理經常指“傅立葉轉換是么正算符”這一結論;簡而言之,就是說函式平方的和(或積分)等於其傅立葉轉換式平方之和(或者積分)。這個定理產生...
定理含義 定理形式1906年8月17日,智利瓦爾帕萊索港地區發生8.4級地震,致使2萬人死亡,損失達2.56億美元。智利瓦爾帕萊索市的建築物是按照規定的要求設防的,198...
地區介紹 地震預演 08年震情 地震恐慌西蒙·玻利瓦爾(西班牙語:Simón Bolívar;英語:Simón Bolívar,1783年7月24日—1830年12月17日),全名為“西蒙·何...
人物經歷 軼事典故 人物貢獻 人物事件 後世紀念西蒙·玻利瓦爾(西班牙語:Simón Bolívar;英語:Simón Bolívar,1783年7月24日—1830年12月17日),全名為“西蒙·何...
人物經歷 軼事典故 人物貢獻 人物事件 後世紀念1906年8月16日,智利瓦爾帕萊索港地區發生8.4級地震,致使2萬人死亡,損失達2.56億美元。智利瓦爾帕萊索市的建築物是按照規定的要求設防的,198...
地震指數 地震描述 地震分析 頻發地帶 模擬演習