人物簡介
Marc-Antoine Parseval desChênes(1755年4月27日 - 1836年8月16日)是法國數學家,最著名的是現在被稱為帕塞瓦爾定理,預示了傅立葉變換的單一性。
他出生在法國的Rosières-aux-Salines,成為一個貴族法國家庭,並於1795年與Ursule Guerillot結婚,但此後不久離婚。一個反對法國革命的君主主義在1792年被監禁,Parseval後來逃離了國家出版批評拿破崙政府的詩歌。
後來,他被提名為法國科學院五次,從1796年到1828年,但從未當選。他的唯一的數學出版物顯然是在1806年發表的五篇論文,以數學家和物理學家的身份發表。
他在1799年的第二個回憶錄中提到,但沒有證明,現在這個名字的定理。他在1801年的回憶錄中進一步擴展,並用它來解決各種微分方程。這個定理在1800年被第一次印刷成Lacroix的“特徵之都”(P377)。
定理表述
通俗地說,帕塞瓦爾恆等式表明“函式的傅立葉係數的平方和”與“函式平方後的積分值”可以直接換算:
帕塞瓦爾恆等式,
帕塞瓦爾恆等式
帕塞瓦爾恆等式在這裡的傅立葉係數可通過下式計算得到:
帕塞瓦爾恆等式,
帕塞瓦爾恆等式
帕塞瓦爾恆等式
帕塞瓦爾恆等式正式一點地說,結論成立的前提是上面提到的必須是平方可積函式,或者更一般地說,要是在中(參見LP空間)。一個與之相似的結果就是Plancherel定理,它指出函式的傅立葉轉換的平方和的積分等於函式本身平方的積分。
定理的推廣
帕塞瓦爾恆等式
帕塞瓦爾恆等式
帕塞瓦爾恆等式
帕塞瓦爾恆等式
帕塞瓦爾恆等式
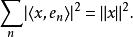
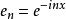
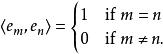
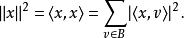
帕塞瓦爾恆等式帕塞瓦爾恆等式與畢達哥拉斯定理在如下更具一般性的情形下存在聯繫,下面說的是一種拓撲可分離的希爾伯特空間。假設是一個具有內積〈·,·〉的希爾伯特空間,令是的一組正交基;也就是說,的線性張成是中的稠密集,且彼此正交:
帕塞瓦爾恆等式
帕塞瓦爾恆等式利用帕塞瓦爾恆等式隨即可以斷言對於任何,有:
帕塞瓦爾恆等式
帕塞瓦爾恆等式
帕塞瓦爾恆等式
帕塞瓦爾恆等式
帕塞瓦爾恆等式
帕塞瓦爾恆等式
帕塞瓦爾恆等式
帕塞瓦爾恆等式
帕塞瓦爾恆等式
帕塞瓦爾恆等式
帕塞瓦爾恆等式這個式子與畢達哥拉斯定理有著顯而易見的相似性,後者指出“向量的正交分量的平方和”等於“向量長度(模)的平方”。由此也不難得到傅立葉級數版本的帕塞瓦爾恆等式,只需讓
取代,並對於所有,令。更一般地說,帕塞瓦爾恆等式在任何內積空間中都成立,而不只局限於希爾伯特空間。因此假定是一個內積空間。令表示的一組正交基;換句話說,是一個其線性張成在中稠密的正交集合。然後可得:
帕塞瓦爾恆等式
帕塞瓦爾恆等式
帕塞瓦爾恆等式
帕塞瓦爾恆等式
帕塞瓦爾恆等式
帕塞瓦爾恆等式“是全體的總和”這一假定對於恆等式的有效性是不可或缺的。如果不是的總和,那么帕塞瓦爾恆等式中的等號必須用“”符號替換,恆等式此時退化為貝塞爾不等式。帕塞瓦爾恆等式的這種推廣形式可以用里斯-費歇爾定理加以證明。
定理介紹
畢達哥拉斯定理也叫做勾股定理,是一個基本的幾何定理,指直角三角形的兩條直角邊的平方和等於斜邊的平方。中國古代稱直角三角形為勾股形,並且直角邊中較小者為勾,另一長直角邊為股,斜邊為弦,所以稱這個定理為勾股定理,也有人稱商高定理。
勾股定理現約有500種證明方法,是數學定理中證明方法最多的定理之一。勾股定理是人類早期發現並證明的重要數學定理之一,用代數思想解決幾何問題的最重要的工具之一,也是數形結合的紐帶之一。在中國,商朝時期的商高提出了“勾三股四玄五”的勾股定理的特例。在西方,最早提出並證明此定理的為公元前6世紀古希臘的畢達哥拉斯學派,他用演繹法證明了直角三角形斜邊平方等於兩直角邊平方之和。

