數值逼近

數值逼近

數值逼近,泛指數學計算問題的近似解法。

基本信息

數值逼近

正文

泛指數學計算問題的近似解法。狹義的理解則專指對函式的逼近,即對於給定的較廣泛的函式類F中的函式ƒ=ƒ(x),從較小的子類H中尋求在某種意義下ƒ的一個近似函式h(x),以便於計算和處理。∏.Л.切比雪夫K.(T.W.)外爾斯特拉斯曾於19世紀中後期做了奠基性工作。函式逼近的主要內容有,對於某些特定的被逼近函式類F與逼近函式類H,討論逼近的可能性,最佳逼近的存在性、特徵、惟一性、誤差估計以及算法等。它是現代數值分析的基本組成部分,除自身具有獨立學科分支的意義外,還可用於構造數值積分、求函式零點、解微分方程和積分方程的近似方法。
設被逼近函式ƒ(x)∈C【α,b】,逼近函式類記作H嶅C【α,b】,定義兩個函式ƒ與g之間的距離為 數值逼近式中ω(x)>0為取定的權函式。當p=∞時,通常取ω(x)呏1,此時⑴簡化為

數值逼近

這種度量下的逼近稱為一致逼近;另一種重要情形是p=2的度量,稱為均方逼近或平方逼近。
最佳逼近 若h(x)∈H 滿足

數值逼近

則稱h為距離度量(1)的意義下ƒ 在H 中的最佳逼近。對於p=2和∞,相應的h分別稱為ƒ 在H 中的最佳平方逼近和最佳一致逼近,後一種情形又稱切比雪夫逼近或極小極大逼近,它是由切比雪夫在1854年首先開始研究的。
多項式逼近 指H 取作多項式類的情形。關於用多項式一致逼近連續函式到任意精度的可能性問題,外爾斯特拉斯於 1885 年以定理的形式給出肯定的答案:若ƒ(x)∈C【α,b】,則對於任何ε>0,都存在代數多項式p(x),使‖ƒ-p‖∞<ε。關於用三角多項式一致逼近周期連續函式到任意精度的可能性問題,他也給出平行的結果。該定理本身及其各種不同的證明和推廣對逼近論的研究和發展有重要的影響。
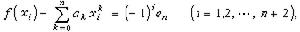
最佳一致多項式逼近 取H =Hn為次數不大於n的多項式集合。若p(x)∈Hn滿足

數值逼近 (2)

則稱p 為ƒ 的次數不大於 n的最佳一致多項式逼近,稱En(ƒ)為極小極大偏差。這樣的多項式p是存在和惟一的。它的特徵可表述為如下的交錯定理:設ƒ(x)∈C【α,b】,則p(x)滿足(2)若且唯若[α,b]上存在一組分點(稱為偏差點組或交錯點組)

數值逼近,

使得

數值逼近

成立。這個定理除了理論上的意義外,還是構造最佳一致多項式逼近算法的依據。
列梅茲算法 以交錯定理為基礎的尋求最佳一致多項式逼近的一種典型方法。主要步驟如下: ①選取初始偏差點組

數值逼近

通常取作[α,b]上n 1次切比雪夫多項式的極值點,即

數值逼近

② 解關於α0,α1,…,αn和en的線性代數方程組

數值逼近

求得逼近多項式數值逼近和在偏差點組上均衡了的偏差量|en|。
③在【α,b)】上求一點x數值逼近使|ƒ(x數值逼近)-p(x數值逼近)|=‖ƒ-p‖∞。
④ 若|en|=‖ƒ-p‖∞,則p(x)已是最佳;否則以x數值逼近替換某個與之鄰近的xj使 ƒ(x數值逼近)-p(x數值逼近)與ƒ(xj)-p(xj)同號,然後回到②重新開始。當α≤x數值逼近<x1且ƒ(x數值逼近)-p(x數值逼近)與ƒ(x1)-p(x1)異號時,則保留x1而去掉xn 2並將諸偏差點按序重新編號。對於出現在右端的這種情形亦做類似處理。經過若干次循環即可得到足夠精確的結果。
逼近階 指極小極大偏差En(ƒ)當n增長時的下降速度,它與被逼近函式的光滑性質有著內在的聯繫。D.傑克森於1911年做了開創性研究。以

數值逼近

表示函式g(x)的連續模,LipM(α)表示所有滿足條件

數值逼近

的函式g(x)的集合,E(ƒ)表示周期為2π的連續函式ƒ用次數不大於n 的最佳一致三角多項式逼近的極小極大偏差。傑克森的基本結果可表述如下:
若ƒ∈C2π,則

數值逼近,

當ƒ∈LipM α(0<α ≤1)時,有

數值逼近

若ƒ∈C【α,b】,則

數值逼近

當ƒ∈LipM α(0<α≤1)時,有

數值逼近

式中A為絕對常數。
從相反方向的研究,即從序列{E奱(ƒ)}或{En(ƒ)}的遞減速度來推斷ƒ的光滑性質,是С.Η.伯恩斯坦1912年的工作。他的結果幾乎就是傑克森定理的逆定理,只是α=1的情形稍有差別。
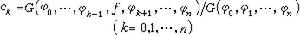
平方逼近 採用p=2時的距離度量(1),被逼近函式ƒ可以屬於比連續函式類C【α,b】更廣的函式類,即所有使數值逼近存在的ƒ 之集合,記作L嵣【α,b】。定義L嵣中兩個函式ƒ 與g 的內積為

數值逼近

當(ƒ,g)=0時,則稱ƒ 與g 正交。設φ0,φ1,…,φn為L嵣中一組線性無關的函式,它們的所有線性組合所構成的函式集合記作φ,則每個ƒ∈L嵣在φ 中的最佳平方逼近

數值逼近(3)

存在且惟一,其特徵為ƒ-Sn與每個φj(i=0,1,…,n)都正交,諸係數сk由數值逼近 (4)確定,其中

數值逼近

為格拉姆行列式。當諸φj兩兩正交時,сk簡化為

數值逼近

並稱為ƒ 的廣義傅立葉係數,相應的(3)稱為ƒ 按正交函式系{φ0,φ1,…,φn}的級數展開式。一種重要的特殊情形是切比雪夫級數展開式。
切比雪夫級數展開式 即[α,b]=【-1,1】,數值逼近數值逼近數值逼近的情形。係數具體表示為

數值逼近

H.L.勒貝格曾證明:若ƒ∈C[-1,1],則

數值逼近

此即表明,對於連續函式類而言,切比雪夫級數展開式的部分和是最佳一致多項式逼近的很好近似,並且由於它簡便易行,在數值逼近的實踐中廣為採用。
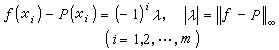
有理逼近 指逼近函式類取作 數值逼近的情形,其中p(x),Q(x)為多項式,嬠p,嬠Q表示它們的次數。當ƒ∈C【α,b】時,ƒ在數值逼近【α,b】中的最佳一致逼近R*存在且惟一,其特徵(充要條件)為在【α,b】上有一組點 數值逼近使得誤差R*-ƒ在這些點上達到其最大絕對值且符號正負交替變化,即

數值逼近

實踐中有各種各樣尋求最佳一致有理逼近的數值方法,其中效果令人滿意者有基於上述特徵的列梅茲算法,還有加權極小極大算法,又稱勞勃算法。前者類同於尋求最佳一致多項式逼近的相應算法,只是將那裡的多項式p(x)代之以有理函式R(x),初始偏差點組中包含n m 2個點,以及在偏差點組上等化偏差時要解一個非線性方程組。後者的主要步驟可表述為:
① 選取初始值Q0(x)>0 (α≤x≤b)。
② 確定數值逼近數值逼近,使

數值逼近

為極小(k=1,2,…)。為避免得到零解,可固定pk或Qk中的係數之一為非零常數,例如取b0呏1。經過若干次疊代,求得的Rk=pk/Qk即為足夠精確的結果。
帕德逼近 一種特殊類型的有理逼近,被逼近的函式由形式冪級數定義。設

數值逼近

若存在多項式

數值逼近

滿足條件數值逼近以及pn/Qm不可約且規範條件為Qm(0)=q0=1,則稱Pn(x)/Qm(x)為ƒ(x)(在點x=0外)的(n,m)階帕德逼近,並簡記為【n/m】=pn(x)/Qm(x)。若【n/m】存在,則必惟一,其係數pj,qj滿足方程組

數值逼近

這個方程組稱為帕德方程組,其中若k<0,αk=0,ql=0(l>m)。當(5)非奇異時,雅可比給出[n/m]的顯式解

數值逼近

式中若出現求和號的下指標超過上指標,則規定該和數為零。這個顯式解儘管(當m 較大時)在計算上並不便利,但它對於研究帕德逼近的代數性質有重要的作用。帕德將諸[n/m]依自然順序排列成形如

數值逼近

的表格,被稱為帕德表,並研究了它的結構性質。表中相鄰近的一些元素之間還存在著若干內在聯繫,可用於構造帕德逼近的各種遞推算法。實踐表明,帕德表中主對角線上及其兩側的元素,即【n/n】和【n/n±1】,在n m相等的諸元素中通常有更好的逼近效果。帕德逼近是函式的泰勒級數的自然引伸,已證明它是最佳局部有理切比雪夫逼近,它在數值分析的一些領域中以及物理學和化學的某些計算問題中有著各種套用。

配圖

相關連線

相關搜尋

熱門詞條

聯絡我們