簡介
希舒美(Zithromax、Azithromycin),西藥名,非多重耐藥淋球菌所致的單純性生殖器感染(需排除梅毒螺鏇體的合併感染)。半合成的十五元環大環內酯類抗生素。適用於敏感細菌所引起中耳炎、鼻竇炎、咽炎、扁桃體炎等上呼吸道感染;支氣管炎、肺炎等下呼吸道感染。皮膚和軟組織感染。沙眼衣原體所致單純性生殖器感染。其不良反應有噁心、嘔吐、偶見腹脹等。
成分
本品主要成份為阿奇黴素二水合物。
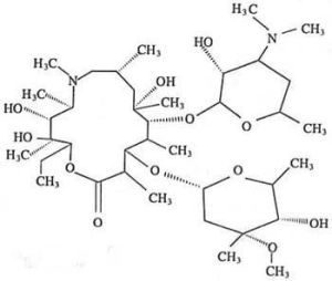
化學結構式化學名稱:
(2R,3S,4R,5R,8R,10R,11R,12S,13S,14R)-13-[(2,6-二脫氧-3-C-甲基-3-O-甲基-α-L-核-己吡喃糖基)氧]-2-乙基-3,4,10-三羥基-3,5,6,8,10,12,14-七甲基-11-[[3,4,6-三脫氧-3-(二甲氨基)-β-D-木-己吡喃糖基]氧]-1-氧雜-6-氮雜環十五烷-15-酮
化學結構式:
二水合物分子式:C38H72N2O12·2H2O
二水合物分子量:785.00
無水物分子式:C38H72N2O12
無水物分子量:749.00
阿奇黴素乾混懸劑含有蔗糖,無水磷酸三鈉,羥丙基纖維素,合成生物聚合膠,人造櫻桃香精,人造奶油香草香精,人造香蕉香精。
適應症
希舒美(阿奇黴素)分子結構本品適用於敏感細菌所引起的下列感染:中耳炎、鼻竇炎、咽炎、扁桃體炎等上呼吸道感染;支氣管炎、肺炎等下呼吸道感染。皮膚和軟組織感染。沙眼衣原體所致單純性生殖器感染。非多重耐藥淋球菌所致的單純性生殖器感染(需排除梅毒螺鏇體的合併感染)。
規格
每袋含阿奇黴素二水合物104.81mg,相當於阿奇黴素100mg。用量用法
希舒美對沙眼衣原體、杜克嗜血桿菌或敏感淋球菌所致的性傳播疾病,僅需單次口服本品1000mg。
對其他感染的治療:總劑量1500mg,每日一次服用本品500mg共三天。或總劑量相同,
仍為1500mg,首日服用500mg,第二至第五日每日一次口服本品250mg。
腎功能不全患者
輕、中度腎功能不全者(腎小球濾過率為10-80ml/min)不需要調整劑量,嚴重腎功能不全
者(腎小球濾過率<10ml/min)用藥請遵醫囑。
肝功能不全患者
輕中度肝功能不全患者,本品的用法與用量同肝功能正常者。
不良反應
希舒美鮮有血管性水腫和膽汁淤積性黃疸這兩種潛在嚴重不良反應的報告。在為期5天的多劑量臨床試驗中,有0.7%的患者(成年和兒童患者)因治療相關不良反應而中止希舒美(阿奇黴素)治療。在接受3天的500mg/天劑量治療的成人中,因治療相關不良反應而停藥的比率為0.6%。在臨床試驗中,兒童患者服用30mg/kg本品(單劑量或3天內分次服用),因治療相關不良反應而停止試驗的比率約為1%。導致停藥的不良反應大多與胃腸道有關,例如噁心、嘔吐、腹瀉或腹痛。
成人:多劑量方案:總體來說,在接受希舒美多劑量方案的成人患者中,最常見的治療相關不良反應大多與胃腸系統有關,其中最常報告的有腹瀉/稀便(4~5%)、噁心(3%)以及腹痛(2~3%)。在接受希舒美多劑量方案的患者中,沒有出現其他發生率高於1%的治療相關不良反應。發生率不高於1%的不良反應包括:
心血管:心悸、胸痛;
胃腸道:消化不良、腸胃脹氣、嘔吐、黑便及膽汁淤積性黃疸;
泌尿生殖系統:念珠菌病、陰道炎及腎炎;
神經系統:頭暈、頭痛、眩暈及嗜睡;
全身性:疲勞;
過敏:皮疹、瘙癢、光敏反應及血管性水腫。
1克單劑量方案:總體來說,在接受希舒美1克單劑量方案的患者中,最常見的不良反應大多與胃腸系統有關,而且比在接受多劑量方案的患者中發生率更高。在接受希舒美1克單劑量方案的患者中,發生率不低於1%的不良反應包括腹瀉/稀便(7%)、噁心(5%)、腹痛(5%)、嘔吐(2%)、消化不良(1%)及陰道炎(1%)。
2克單劑量方案:總體來說,在接受希舒美2克單劑量方案的患者中,最常見的不良反應大多與胃腸系統有關。在本研究的患者中,發生率不低於1%的不良反應包括噁心(18%)、腹瀉/稀便(14%)、嘔吐(7%)、腹痛(7%)、陰道炎(2%)、消化不良(1%)及頭暈(1%)。這些主訴中大多數症狀輕微。
兒童患者:
單劑量和多劑量方案:與成人相比,雖然兒童患者出現的不良反應類型相似,但採用建議的劑量方案時,兒童患者的不良反應發生率有所不同。
禁忌症
已知對阿奇黴素、紅黴素、其他大環內酯類或酮內酯類藥物過敏的患者禁用。以前使用阿奇黴素後有膽汁淤積性黃疸/肝功能不全病史的患者禁用。藥物過量
藥物過量時發生的不良反應事件與推薦劑量的相同。一旦發現超量使用,可根據病情給予對症和支持治療。研發歷程
最先由克羅埃西亞Pliva公司研製合成,1988年由SourPliva公司率先在前南斯拉夫上市原研發公司將全球的生產和市場開發權轉讓給美國輝瑞
1990年英國上市,商品名為“Zithromax”
1991年美國上市,商品名為“Zithromax”
1996年中國口服劑型上市,商品名為“希舒美”
2005年希舒美專利期滿
2005年中國注射劑型上市

