![]() |
| 定量金相技術 |
簡介
定量金相技術是指在金相觀測中對金相組織進行幾何學定量測定的技術(見金相學),也稱立體金相。為了研究金屬材料的金相組織和性能的定量關係,常需將檢驗面上二維空間的組織參數,依立體幾何和體視學原理換算成三維空間參數進行分析。1938年美國材料試驗協會制定ASTM-E八級晶粒度標準,定量金相技術就開始套用於金屬材料的檢驗和研究。60年代,由於可自動測量的定量金相顯微鏡的製成和體視學的套用,金相定量測定的技術得到進一步發展和推廣。在金屬和合金組織的各種形態參數的測量中,套用定量金相技術來測定第二相體積分數、第二相尺寸、質點間距、對有方向性組織的取向程度、比相界面、近鄰率、連續性等。有比較法和測量法兩類。
定量金相技術比較法
將所測相和標準圖片比較定出一個定量級別,用此法只能得到關於材料組織或缺陷的一個籠統的概念,準確性差,但快速簡便。
定量金相技術測量法
能得到所測相的準確定量的數據,分為非自動測量法和自動測量法兩種。非自動測量法利用一般光學顯微鏡和一些簡單測量工具,測量可在金相組織照片或在金相顯微鏡投影屏上進行,也可直接通過帶有測微標尺的目鏡在試樣上測定。自動測量法使用定量儀器,測量既可直接在試樣檢驗面上進行,也可在組織的電子圖象或金相組織照片上進行,測量速度快,誤差小。非自動測量法
常用的有測量面積法、線分法和點標法三種:
①測量面積法。可用求積儀測量模板直接測量被測相在檢驗面上的面積,也可以把被測相從金相照片上剪下來,秤重以計算其重量而換算成面積。
定量金相技術②線分法。利用測微標尺測量被測相在單位測試線上所占的比率LL、單位測試線上的點數PL和單位測試線上的相個數NL。 線分法測量實例見圖1。測得α相在單位測試線上所占的比率LL=0.38,單位測試線上的點數PL=8,則單位測試線上的相個數NL=4。線分法測量除用有刻度的標尺外,還用已知周長的圓模板(圖2a)和標有方位角的圓模板(圖2b)來測量有方向性的組織。
③點標法。用於測量第二相的百分數等;一種是數出檢驗面上被測相的點數,例如位錯露頭的蝕坑、三個晶粒間的結點數等;另一種是用一個帶點的陣列,置於檢驗面上,數出落在被測相上的點數,除以陣列的總點數。陣列有正方形和正六方形等,按金相組織疏密程度選用(圖3)。
定量金相技術
定量金相技術自動測量法
主要是利用線分法,其測量原理是將組織的光信號轉變成電信號,再把電信號數位化成所需要的定量參數。從圖5可見,電信號振幅大小反映相的灰度,而振幅寬窄則是相大小的量度。
定量金相技術定量金相顯微鏡線性掃描程式是由掃描點組成的掃描線,以回紋形軌跡對金相組織進行掃描(圖6),從不同相的光電流得到不同的電脈衝並由各相的計數系統進行累計。掃描結束後,如果掃過第二相的掃描點數為n,掃描點間距為K,被掃的第二相個數為N,掃過第二相的掃描線總長度為L=n·K,則第二相的平均截長為:

定量金相技術三維空間參數的換算
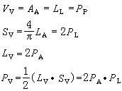
為了將二維平面參數轉換為三維空間參數,根據體視學原理,把從二維平面中觀察到的相的不同形狀和特點,藉助簡單的幾何模型(圖7)及四個基本方程,將二維平面參數轉換成三維空間參數,進而用數字表示出金屬組織的幾何形貌和分布特徵。四個基本方程是:
定量金相技術
定量金相技術定量金相顯微鏡
各國製造的定量金相顯微鏡,按其掃描類型分機械掃描和視頻掃描兩類。機械掃描是試樣相對物鏡移動,光電探測器接受的光束是由試樣表面一小塊面積反射發出,速度慢,誤差小;視頻掃描(即圖象分析)的光電探測器接受的光束,不直接由試樣表面反射發出,而由光電管上的電子圖象發出。這種掃描速度快,誤差較大。
自動測量時要獲得準確定量數據,必須①試樣表面平正無劃痕、浮凸和污染;②試樣浸蝕合宜,灰度差明顯;③測量儀器精度高。
參考書目
G.E.彼里西阿,S.M.浦迪著,孫惠林、馬繼畲譯:《體視學和定量金相學》,機械工業出版社,北京,1980。

