多滑移簡述及舉例
施密特定律的意義,不僅在於闡明了晶體開始塑性變形時,切應力需達到某一臨界值,而且也容易說明滑移變形可有單滑移、多滑移和交滑移幾種情況。
當只有一個滑移系統上的分切應力最大並達到了臨界切應力,這時只發生單滑移。在一個晶粒內只有一組平行的滑移線(帶)。它是在變形量很小的情況下發生,位錯在滑移過程中不會與其它位錯互動作用,因此加工硬化也很弱。
多滑移
多滑移
多滑移
多滑移當拉力軸在晶體的特定取向上,可能會使幾個滑移繫上的分切應力相等,在同時達到了臨界切應力時,就會發生多滑移。例如,面心立方金屬滑移面為 滑移方向為 ,4個 構成一八面體,當拉力軸為 時,由幾何圖形(如圖)可以看出:
面心立方晶體造成的多滑移
多滑移(1)對所有 平面,φ角是相同的,為54.7°。
多滑移
多滑移
多滑移
多滑移(2)λ角對 , , 也是相同的,為45°。
多滑移
多滑移(3)錐體底面上的兩個 方向和 垂直。
因此,錐體上有4×2=8個滑移系具有相同的施密特因子,當達到了臨界切應力時可同時動作。但是,由於這些滑移系是由不同位向的滑移面和滑移方向構成,所以當一個滑移系啟動後,另一滑移系的滑動就必須穿越前者,兩個滑移繫上的位錯會有互動作用,產生交割和反應。因而,多系滑移會產生強的加工硬化。
多系滑移時,形成兩組或多組交叉的滑移線。由於各組滑移系之間互相穿插和影響,所以多滑移比單滑移困難。通常把單滑移時的力軸取向稱為軟取向,而多滑移時的力軸取向則為硬取向。晶體變形時,若從單滑移發展成多滑移。稱為幾何硬化,反之則稱為幾何軟化。
晶界和多滑移效應
已經發現,對於高純多晶金屬近表面晶粒的變形,一般也可以用在延性單晶體中所觀察到的循環損傷機制加以說明。但是,在工業材料中存在沉澱、雜質、夾雜物和晶界等,它們會使疲勞形變表現出一些新的特徵。
根據多晶金屬的研究結果已經確定,PSB能夠在材料體內形成。Winter,Pederson和Rasmussen(1981)研究經受疲勞形變的晶粒尺寸為100~300μm的多晶Cu的體內結構。他們對取自自由表面之下不同深度的TEM薄膜進行觀察。在大約10 的應變幅下,在多晶疲勞試樣內部看到類似於單晶的PSB牆結構,PSB局限於單滑移繫上。Pohl,Meyer和Macherauch(1980)也在經受疲勞循環的多晶碳鋼的內部截面上觀察到PSB。雖然PSB能夠穿過小角度晶界,但不能穿過大角度晶界。當應變幅增加到超過10 時,與單晶體的情況一樣,在多晶Cu中看到迷宮和胞結構。單、多晶Cu之間的主要差別在於,由於存在各種晶粒取向,即使在低應變幅下多晶Cu也出現次級滑移。
關於多晶金屬的研究也證實在循環應力。應變曲線上存在不同的區段,PSB的形成對疲勞形變有明顯的影響(Lukas和Kunz,1985)。特別應該指出,在粗晶粒Cu的飽和應力-應變曲線上有低應變硬化區(類似於單晶體的B區平台),PSB所占材料體積的連續增加與該區的出現有對應關係;PSB所攜帶的塑性應變數比基體高。
面心立方金屬單晶體與多晶體的比較
多滑移
多滑移
多滑移對於取向滿足單滑移條件的面心立方單晶體。其循環應力-應變曲線在一較寬的塑性分解切應變幅(γ)範圍呈現出一平台。在這一平台區,飽和分解切應力保持不變,即 ,變形集中在駐留滑移帶中。而駐留滑移帶的體積分數隨γ增加而增加,以便在一恆定的 值下容納更大的循環變形。然而在多滑移取向的面心立方單晶體中,往往沒有觀察到發展完全的PSB,即使對於雙滑移取向的單晶體,也僅僅是呈現出一較短的平台。在這些晶體中觀察到多滑移和交滑移產生的一些位錯組態,如 晶體中的迷宮結構。
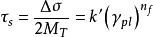
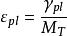
多滑移取向Cu單晶體的研究為多晶體的循環回響提供了認識的基礎。在一有限的塑性應變幅範圍內。許多細晶粒面心立方金屬的循環應力-應變曲線可近似用冪律方程進行描述,即
多滑移
多滑移
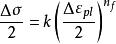
多滑移式中的 和 分別表示外加軸向應力和塑性應變幅,k是一試驗測定的材料常數,n是循環應變硬化指數。通過用Taylor因子M(=3.06,對於無序織構的面心立方多晶金屬)進行轉換,上式可改寫成一種可用單晶體進行檢驗的形式,即:
多滑移
多滑移對於細晶粒Cu多晶體,k'=146MPa和n=0.205(Lukas&Kunz,1985)。
多滑移下圖對單滑移取向、雙滑移取向和多滑移取向Cu單晶體的循環應力-應變曲線進行了對比。實線表示單滑移取向Cu單晶體的循環應力-應變曲線,其B區呈現出一28MPa的飽和應力平台。數據取自宮波、王執銳和王中光(1997)關於具有八個對稱滑移系統的Cu單晶體的實驗。可以看到,多滑移取向Cu單晶體不呈現平台。下圖中的虛線是用Taylor因子修正的用於多晶體的冪函式,即上式。由下圖可以推得,類似於多滑移取向Cu單晶體,面心立方多晶金屬的循環應力-應變曲線不呈現平台特徵。
總體來說,單滑移取向單晶體有兩個方面的因素明顯不同於多晶體:
(1)多晶體中晶粒的滑移取向多種多樣。
(2)多晶體中相鄰晶粒之間的彈性和塑性應變不相容性引起局部多軸載入和明顯的多滑移現象。
對於細晶面心立方多晶金屬,這兩個方面的因素導致多滑移形變,使其循環形變回響類似於多滑移取向單晶體。但這兩個因素不支配粗晶面心立方多晶金屬的循環形變回響。從統計的觀點來看,大多數晶粒的取向並不位於極圖示準三角形的邊上,而是位於三角形的內部。因而粗晶粒面心立方多晶金屬的循環形變表現出與單滑移取向單晶體類似的特徵,呈現較低的應變硬化,甚至輕度的平台(例如,Polak,Klesnil和Lukas,1974)。
織構效應
多滑移已經知道。面心立方多晶金屬各個晶粒滑移特徵的不同(即單滑移或多滑移變形)在循環載入中會引起較強的織構效應。Llanes等人(1993)和Peralta等人(1995)關於粗晶粒Cu多晶(晶粒尺寸≈700μm)的實驗結果表明,沿載入軸的取向織構引起較高的循環硬化,而晶粒尺寸基本相同的無規織構,由於單滑移占主導地位,導致硬化較弱的循環應力-應變曲線。對粗晶粒和細晶粒Cu多晶(晶粒尺寸分別≈700μm和≈100μm)織構效應的對比表明,晶體學織構對多晶循環應力-應變曲線的影響比晶粒尺寸的影響顯著得多。
