外推極限法
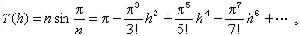
例如,計算圓周率π,即直徑為1的圓的周長時,利用外推極限法,只要通過對上述圓的內接正二、三、四、六、八邊形等五個正多邊形的周長的計算(圓內接正二邊形的周長等於直徑的二倍),即可得出π的接近9位有效數字的近似值T孈=3.141592648。計算過程如下面形式:
,表示第i+1個正多邊形的周長,其邊數為
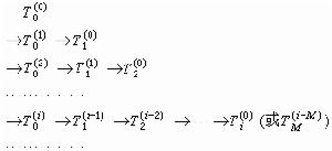
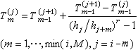
而計算過程可用公式表達為
(1)



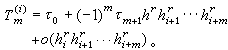
=T(hi)(hi≠0,i=0,1,…)來推算τ0的更精確的近似值。 這種算法的思想,是通過T(hi),T(hi+1),…,T(hi+m)的線性組合,消去τ0的近似b值T(h)展開式中所含hr的低次誤差項,使得

來代替T(h),用
來近似表示τ0的值,因此它又稱作多項式外推法。 如將插值多項式p嫑(h)改為其他插值函式,則得到其他的外推法,諸如有理式外推法、ε算法等。
外推極限法廣泛地套用於數值積分、微分方程和積分方程求解等方面。
參考書目
鄧建中著:《外推法及其套用》,上海科學技術出版社,上海,1984。

