來源
對於分母的值為零時,這個分數無意義,所以不允許分母為0,即本身就隱含著分母不為零的條件。當把分式方程轉化為整式方程以後,這種限制取消了,換言之,方程中未知數的值範圍擴大了,如果轉化後的整式方程的根恰好是原方程未知數的允許值之外的值,那么就會出現增根。
舉例
增根解:去分母,x-2=0,
∴x=2。
又因為x-2=0,
∴方程無解
∴方程無意義,X=2是增根。
設方程 A(x)=0 是由方程 B(x)=0 變形得來的,如果這兩個方程的根完全相同(包括重數),那么稱這兩個方程等價。如果 x=a 是方程 A(x)=0 的根但不是B(x)=0 的根,稱 x=a 是方程的增根;如果x=b 是方程B(x)=0 的根但不是A(x)=0 的根,稱x=b 是方程B(x)=0 的失根。
非函式方程的增根
在兩非函式方程(如圓錐曲線)聯立求解的過程中,增根的出現主要表現在定義域的變化上。
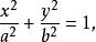
增根例如:若已知橢圓 ,O為原點坐標,A為橢圓右頂點,若橢圓上存在一點P,使OP⊥PA,求橢圓的圓心率的範圍。
解:橢圓上存在一點P,使OP⊥PA,即是以OA為直徑畫圓,要求與橢圓有除了A(a,0)以外的另外一個解。所以聯立橢圓和圓的方程:
增根
增根
增根
增根
增根因為有兩個根,所以
增根
增根而正解卻是
增根由(*)得
增根∴
增根∴
增根然而問題出在,無論怎么取,只要 ,好像△永遠都大於0。
於是我們取e=1/2
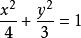
增根假設
增根即可得橢圓 ···①
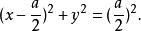
增根與圓 ···②
增根聯立即可得 ···(*)
增根有十字相乘
增根顯然 此時 是增根
增根
增根將 帶入①式
增根
增根將 帶入②式
增根
增根將 帶入(*)式
可知這裡的確是產生了一個增根,而且在解題過程中不能通過任何方式排除,這說明多個非函式方程聯立求解時,方程本身無法限制x的取值。一般來說,直線與圓錐曲線的聯立並沒有出現過算出兩個解,還需要帶回去驗根的情況,大概是因為圓錐曲線不是函式,而直線是函式的原因。
注意:
1.不是任何的兩個非函式方程聯立都會產生增根。例如圓不是函式,但求兩個圓的交點,不會產生增根。
增根
增根2.增根的產生和定義域有關係,但沒有絕對的關係。不能說聯立方程時,將x定義域擴大或縮小就必然會引起增根。如上述例題中,①式定義域(-2,2) ②式定義域(0,2)大多數人是在②式中,用x表示y,寫成 ,再帶入①式,產生了增根。但是如果我們在①式中用x表示y,寫成 ,再帶入②式,我們依然會得到增根。
下面列出兩種必然會出現增根的一般式:
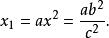
橢圓與拋物線增根
增根
增根橢圓(和拋物線聯立方程式得:
增根
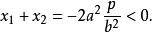
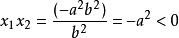
增根
增根由韋達定理得 且
增根
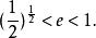
增根
增根
增根可知,若,則,出現原因是忽略了中的隱含定義域x>0。聯立方程式求解誤認為x∈R(另外我們還知道)。
雙曲線與拋物線增根
增根
增根雙曲線和拋物線聯立方程式得
增根
增根
增根由韋達定理得且
增根
增根
增根
增根可知,若,則,出現原因是忽略了中的隱含定義域x>0。聯立方程式求解誤認為x∈R(另外我們還知道)。
無理數方程的增根
增根
增根解:兩邊平方得
增根得
得x=5或x=-6(增根)
出現增根的原因是由於兩邊平方忽略了上式的X>0且根號內的值大於等於0。
由於同樣的粗心大意,錯誤還會在無理不等式中體現。
解法
解分式方程時出現增根或失根,往往是由於違反了方程的同解原理或對方程變形時粗心大意造成的。
如果不遵從同解原理,即使解整式方程也可能出現增根.例如將方程x-2=0的兩邊都乘x,變形成x(x-2)=0,方程兩邊所乘的最簡公分母,看其是否為0,是0即為增根。
還可以把x代入最簡公分母也可。
增根的產生,歸根結底都是因為思維的不全面產生的。解題時要保證步步變形的等價性,這種等價性要通過等式和不等式去約束出來,特別是不等式,容易被忽略。如果不得已必須用不等價變形來解題,那么最後千萬別忘記通過檢驗來去掉增根,這種檢驗也要注意全面性。
增根的不可忽視性
許多人解方程時,得到了增根,比如說能量是負值,一般的人都會將這個忽視掉,但這些值是挺令人尋味的。著名的物理學家狄拉克利用相對論、量子力學尋找粒子的能量時,他發現某個粒子的能量和其動量緊密相關,即E^2=p^2+m^2(p為動量,m為粒子的質量),解得E=±(p^2+m^2)^(1/2),你肯定想保留正根,因為你知道能量不會是負值,但數學家們告訴狄拉克,你不能忽略負值,因為數學告訴我有兩個根,你不能隨便丟掉。
後來事實證明,第二個根,也就是為負的那個根,正是理論的關鍵:世界上既有粒子,也有反粒子。負能量就是用來解釋什麼是反粒子的。

