簡介
n 階齊次線性微分方程組
考慮 n 階齊次線性微分方程組
基本解組其中矩陣
基本解組
基本解組中的每個元素 都是區間 a<x<b 上的連續函式,
基本解組該方程在區間 a<x<b 上有 n 個線性無關的解
基本解組其通解為
基本解組其中 C,C,...,C為任意常數。
方程組的任意一組 n 個線性無關的解稱為它的一個基本解組。
線性齊次微分方程
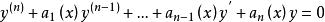
對於線性齊次微分方程,也有類似的概念:考慮 n 階線性齊次微分方程
基本解組其中係數函式 a(x)(k=1,...,n) 在區間 a < x < b 上連續。該方程在區間a < x < b 上有 n 個線性無關的解,而且其通解可以由這 n 個解的線性組合表示。稱方程的任意 n 個線性無關的解為該方程的一個基本解組。
判定
微分方程基本解組的存在性是由微分方程的基本理論保證的,而方程的 n 個解的線性無關性則可以通過朗斯基行列式準則加以判定。

