常函式
基本函式稱f(x)=C為常數函式,其中 C為常數,它的定義域為 。
冪函式
基本函式
基本函式稱形如 的函式為冪函式,其中 C, r為常數。冪函式的定義域與 r的值有關,但是不管 r取何值,該函式在 上總有意義。
指數函式
基本函式
基本函式
基本函式
基本函式稱形如 的函式為指數函式,其中 a是常數,a>0且 。該函式的定義域為 ,值域為 。
對數函式
基本函式
基本函式
基本函式
基本函式
基本函式稱形如 的函式為對數函式,其中a>0且,是指數函式 的反函式。該函式定義域為 ,值域為 。
三角函式
正弦函式
基本函式
基本函式
基本函式稱形如(x)=sin x的函式為正弦函式,它的定義域為 ,值域為[-1,1],最小正周期為 。
餘弦函式
基本函式
基本函式稱形如 f(x)=cos x的函式為餘弦函式,它的定義域為,值域為[-1,1],最小正周期為。
正切函式
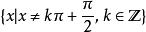
基本函式
基本函式稱形如f(x)=tan x的函式為正切函式,它的定義域為 ,值域為 ,最小正周期為π。
餘切函式
基本函式
基本函式稱形如f(x)=cot x的函式為餘切函式,它的定義域為,值域為 ,最小正周期為π。
正割函式
基本函式
基本函式
基本函式稱形如f(x)=sec x}的函式為正割函式,它的定義域為,值域為,最小正周期為。
餘割函式
基本函式
基本函式
基本函式稱形如 f(x)=csc x的函式為餘割函式,它的定義域為,值域為,最小正周期為。
其它常見函式
雙曲函式
基本函式雙曲正弦函式:
基本函式雙曲餘弦函式:
基本函式雙曲正切函式:
反雙曲函式
基本函式反雙曲正弦函式:
基本函式反雙曲正切函式:

