簡介
基本函式空間K是一類測試函式。
線性空間
基本函式空間K設φ是定義在n維歐幾里得空間R 上的函式,稱的閉包為φ的支集,記為supp φ。
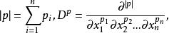
基本函式空間K設 為非負整數組,記
基本函式空間K當p=0時,表示不對x求偏導。特別地,記0=(0,0,...,0),D φ=φ。
設K(或記為)是R 上無限次可微而且有緊支集的函式全體,在通常的線性運算下成為線性空間。
定義
設函式列{φ}⊂K,q∈K,如果:
基本函式空間K1.存在有界集s,使得,即{φ}的支集一致有界;
2.對任何p,{D φ}在R 上一致收斂於D φ,則稱{φ}在K中收斂於φ,記為
基本函式空間K按上述線性運算和極限運算,稱K是一個基本函式空間,而K中每個函式為基本函式或測試函式。
性質
基本函式空間K
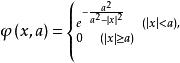
基本函式空間KK是非空的,例如對任何a>0,是 K 中的函式,其中
基本函式空間K設Ω 是 R 中的有界閉集,K中支集包含在Ω 中的函式全體記為K,它是線性空間,且按半範數族 成為局部凸拓撲線性空間,其中
基本函式空間K基本函式空間 K 恰好是一切K的嚴格歸納極限。
