基本信息
埃克曼輸送
āikèmànshūsòng
Ekmantransport
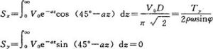
由埃克曼漂流引起的海水體積運輸。在無限深海的情況下,由流速公式對深度的積分可分別求得沿x方向和y方向的體積運輸分量為
公式上式說明,在無限深海的情況下,由風海流引起的體積運輸與風向垂直,北半球向右,南半球向左。對於淺海可以用同樣的方法求得,但計算結果表明,其體積輸運不僅有與風向垂直的部分,還有沿風向或背風向的體積運輸。
海洋學相關知識(二)
| 海洋科學是研究海洋的自然現象、性質及其變化規律,以及與開發利用海洋有關的知識體系。下面讓我們來完善與海洋學相關的詞條,以此來更加深入的了解海洋學的相關知識。 |
