簡介
四胞胎素數( 四連素數)是指一組符合以下形式的素數( p, p+2, p+6, p+8)。上述形式是大於3的四個連續素數出現機率最高的形式。頭幾組四胞胎素數如下:
(5, 7, 11, 13),(11, 13, 17, 19),(101, 103, 107, 109),(191, 193, 197, 199),(821, 823, 827, 829)(OEIS中的數列A007530)。
上述四胞胎素數中除了(5, 7, 11, 13)以外的各組均符合(30 n + 11, 30 n + 13, 30 n + 17, 30 n + 19)的形式,各素數除以30的餘數有一定的規則。
有些參考資料將(2, 3, 5, 7)或(3, 5, 7, 11)也視為四胞胎素數,而有些資料不將(5, 7, 11, 13)視為四胞胎素數。
四胞胎素數中有包括二組連續的孿生素數及二組互相重疊的三胞胎素數。
n在2,3,4,...時, n位數十進制的四胞胎素數組數如下1,3,7,26,128,733,3869,23620,152141,1028789,7188960,51672312,381226246,2873279651 (OEIS中的數列A120120)。
猜測
當前還不確定是否存在無限組四胞胎素數。若四胞胎素數有無限組,因為其中也包括孿生素數,也就可推得了孿生素數猜想;相反的,若孿生素數猜想不成立,也可以推得四胞胎素數只有有限組。不過根據現有的知識推測,孿生素數可能有無限組,但四胞胎素數可能只有有限組。
按照最新觀點。四胞胎素數也應是無限的。詳細證明請見“等差數列倍增規律”
| 自然數(表中數字去掉個位9後,實際上是逐行翻倍) | 四胞胎素數個數 | 自然數翻倍後,四胞胎素數增長情況 |
| 655369 | 124 | 0.722222222 |
| 1310729 | 214 | 0.725806452 |
| 2621449 | 363 | 0.696261682 |
| 5242889 | 560 | 0.542699725 |
| 10485769 | 930 | 0.660714286 |
| 20971529 | 1529 | 0.644086022 |
| 41943049 | 2487 | 0.626553303 |
| 83886089 | 4189 | 0.684358665 |
| 167772169 | 7054 | 0.683934113 |
| 335544329 | 12006 | 0.702013042 |
| 671088649 | 20557 | 0.71222722 |
| 1342177289 | 35848 | 0.743834217 |
| 2684354569 | 62387 | 0.740320241 |
| 5368709129 | 109113 | 0.748970138 |
| 10737418249 | 191356 | 0.753741534 |
| 結論:四胞胎素數不可能只有有限組,它將與自然數一樣無限增長。 | ||
| 自然數增加1倍後,四胞胎素數增長趨勢是:逐漸也增加1倍。 | ||
| 自然數趨向無窮大後,自然數增加1倍,四胞胎素數也增加1倍。 | ||
最大值
至2016年為止,已知的最大四胞胎素數有5003位數,第一個質數為
p = 4122429552750669 × 2 - 1
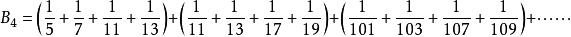
布朗常數
四胞胎素數的布朗常數B4,是所有的四胞胎素數的倒數之和,記為:
四胞胎素數其數值為B=0.87058 83800 ± 0.00000 00005
數表
1000萬以內的四胞胎素數(不包括5,7,11,13),共898個,表中數字沒有個位,加上個位後就是一組四胞胎素數,如第3個數字“19”,加上個位1、3、7、9後就是一組四胞胎素數(191、193、197、199),列表如下:
| 序號 | 1-100 | 101-200 | 201-300 | 301-400 | 401-500 | 501-600 | 601-700 | 701-800 | 801-898 |
| 1 | 1 | 49057 | 117202 | 206200 | 306682 | 439678 | 593785 | 705139 | 851317 |
| 2 | 10 | 49561 | 117253 | 206377 | 307639 | 440455 | 593878 | 707971 | 851947 |
| 3 | 19 | 50023 | 117358 | 206557 | 308932 | 440569 | 596965 | 708118 | 854050 |
| 4 | 82 | 51061 | 118228 | 207583 | 309256 | 441358 | 597733 | 709780 | 855772 |
| 5 | 148 | 51880 | 121087 | 207919 | 310147 | 441544 | 598603 | 713086 | 856180 |
| 6 | 187 | 53644 | 122839 | 208351 | 310327 | 445348 | 600589 | 715114 | 856840 |
| 7 | 208 | 53677 | 123037 | 208444 | 312961 | 446701 | 601315 | 715951 | 857344 |
| 8 | 325 | 53950 | 123343 | 208738 | 315358 | 448780 | 601609 | 716185 | 857659 |
| 9 | 346 | 54916 | 124624 | 210766 | 315757 | 451048 | 602365 | 716614 | 859468 |
| 10 | 565 | 55921 | 124636 | 211657 | 317173 | 452938 | 602404 | 717706 | 860464 |
| 11 | 943 | 56341 | 125707 | 213613 | 318760 | 454009 | 605428 | 718777 | 861691 |
| 12 | 1300 | 57004 | 127228 | 214180 | 320020 | 454324 | 605620 | 720163 | 861943 |
| 13 | 1564 | 57265 | 128551 | 214348 | 320743 | 454420 | 606658 | 723595 | 862186 |
| 14 | 1573 | 58591 | 129811 | 214450 | 320881 | 456163 | 610291 | 726745 | 862303 |
| 15 | 1606 | 59482 | 132217 | 215773 | 321574 | 457528 | 610648 | 727399 | 864883 |
| 16 | 1804 | 59767 | 132259 | 215923 | 322486 | 457987 | 613054 | 728668 | 865810 |
| 17 | 1891 | 60730 | 132457 | 216865 | 324334 | 459607 | 613621 | 730537 | 866962 |
| 18 | 1942 | 62224 | 132970 | 217663 | 327769 | 460657 | 614437 | 731629 | 867739 |
| 19 | 2101 | 62662 | 133726 | 217750 | 329554 | 460930 | 615331 | 732877 | 868537 |
| 20 | 2227 | 63208 | 133990 | 219388 | 330895 | 461560 | 615697 | 733594 | 869158 |
| 21 | 2530 | 63232 | 134032 | 220279 | 332662 | 462787 | 617788 | 734023 | 871774 |
| 22 | 3172 | 63346 | 135124 | 220396 | 332890 | 463597 | 618745 | 734863 | 872905 |
| 23 | 3484 | 63379 | 135220 | 222367 | 334087 | 464728 | 619330 | 735607 | 874114 |
| 24 | 4378 | 65416 | 135880 | 222505 | 336682 | 466054 | 620149 | 736702 | 874858 |
| 25 | 5134 | 65749 | 136078 | 224614 | 337144 | 467524 | 621379 | 736933 | 877315 |
| 26 | 5533 | 66109 | 136846 | 224824 | 337447 | 469369 | 625042 | 737164 | 879961 |
| 27 | 6298 | 66358 | 138127 | 225634 | 337804 | 470641 | 626137 | 741751 | 882754 |
| 28 | 6721 | 66466 | 140080 | 226297 | 340021 | 470797 | 628792 | 742222 | 883198 |
| 29 | 6949 | 66643 | 140236 | 226663 | 341605 | 473467 | 629758 | 743305 | 883324 |
| 30 | 7222 | 68029 | 141097 | 228964 | 343624 | 474064 | 629914 | 744847 | 884437 |
| 31 | 7726 | 68125 | 144058 | 229003 | 343771 | 474370 | 632455 | 746455 | 886852 |
| 32 | 7969 | 69172 | 144700 | 229405 | 346753 | 479608 | 632950 | 746548 | 887827 |
| 33 | 8104 | 70516 | 145183 | 230359 | 347989 | 480994 | 633286 | 747538 | 889831 |
| 34 | 8272 | 71515 | 146140 | 234025 | 351205 | 483241 | 633487 | 747799 | 891418 |
| 35 | 8881 | 73447 | 146863 | 234277 | 351223 | 483313 | 635923 | 748378 | 892645 |
| 36 | 9784 | 73636 | 150862 | 236227 | 351298 | 485245 | 637813 | 749920 | 902098 |
| 37 | 9913 | 73939 | 151432 | 237340 | 351307 | 486865 | 640216 | 752725 | 908146 |
| 38 | 10111 | 76819 | 152407 | 237616 | 351454 | 487525 | 640477 | 753406 | 908188 |
| 39 | 10984 | 77302 | 152596 | 238108 | 351832 | 490045 | 640657 | 753460 | 908302 |
| 40 | 11653 | 79579 | 154096 | 240388 | 355069 | 495013 | 641929 | 753733 | 912763 |
| 41 | 11929 | 80344 | 157174 | 241342 | 358492 | 495682 | 643819 | 754045 | 913813 |
| 42 | 12220 | 81406 | 157354 | 241867 | 358690 | 495904 | 646420 | 754192 | 914698 |
| 43 | 13546 | 82216 | 157393 | 242341 | 359350 | 497206 | 647113 | 754591 | 915496 |
| 44 | 14416 | 82372 | 157729 | 244378 | 362146 | 497743 | 647482 | 758038 | 916525 |
| 45 | 15727 | 82972 | 158443 | 245866 | 365293 | 499738 | 648406 | 758350 | 922024 |
| 46 | 16570 | 83371 | 158875 | 247033 | 366976 | 502507 | 649594 | 759904 | 927685 |
| 47 | 16684 | 83707 | 159286 | 247852 | 369052 | 503791 | 649822 | 761092 | 928054 |
| 48 | 17116 | 84598 | 160333 | 247966 | 371344 | 504712 | 650179 | 764137 | 929164 |
| 49 | 18763 | 85492 | 161584 | 249994 | 372772 | 507337 | 650359 | 764566 | 929944 |
| 50 | 19486 | 85573 | 161680 | 250804 | 373516 | 507487 | 650968 | 765901 | 932032 |
| 51 | 19573 | 85795 | 162172 | 253510 | 374116 | 514648 | 651019 | 766981 | 932443 |
| 52 | 20149 | 87526 | 162760 | 254194 | 379807 | 515476 | 651208 | 768136 | 935329 |
| 53 | 20182 | 87601 | 163105 | 254623 | 381781 | 515803 | 652867 | 770176 | 936559 |
| 54 | 21736 | 88147 | 165310 | 255211 | 383713 | 516892 | 655660 | 770323 | 936955 |
| 55 | 22534 | 88987 | 165910 | 255265 | 383785 | 518479 | 656101 | 773482 | 939496 |
| 56 | 24004 | 90739 | 167056 | 256126 | 384982 | 520129 | 657865 | 775489 | 942649 |
| 57 | 24370 | 93007 | 167875 | 256432 | 385411 | 520546 | 658246 | 777430 | 943927 |
| 58 | 24760 | 93805 | 168187 | 257659 | 389404 | 522940 | 659557 | 780223 | 944044 |
| 59 | 24799 | 94666 | 168544 | 259495 | 391921 | 523468 | 660049 | 780643 | 944686 |
| 60 | 25786 | 95497 | 169186 | 259498 | 391924 | 523918 | 660178 | 781336 | 946324 |
| 61 | 26041 | 95854 | 171181 | 259666 | 395155 | 524809 | 660220 | 781429 | 947941 |
| 62 | 26668 | 95947 | 171886 | 260473 | 397435 | 525178 | 661333 | 784654 | 949420 |
| 63 | 26881 | 97630 | 172777 | 261406 | 397468 | 525376 | 661678 | 786103 | 950395 |
| 64 | 27604 | 97807 | 174772 | 263548 | 397570 | 526174 | 662128 | 787984 | 950806 |
| 65 | 28474 | 98344 | 174847 | 266824 | 399544 | 527416 | 663190 | 788287 | 951142 |
| 66 | 28528 | 100234 | 174949 | 267352 | 399652 | 527467 | 664135 | 791323 | 953809 |
| 67 | 29431 | 100336 | 175582 | 267454 | 401593 | 527857 | 665554 | 793465 | 954199 |
| 68 | 29587 | 100630 | 176422 | 267949 | 401656 | 531889 | 665563 | 794503 | 954910 |
| 69 | 29947 | 100633 | 178048 | 268378 | 403240 | 532789 | 669226 | 796015 | 955039 |
| 70 | 30049 | 100885 | 179173 | 269692 | 403966 | 538186 | 669961 | 796195 | 958588 |
| 71 | 30199 | 101536 | 179737 | 270490 | 404260 | 538210 | 670069 | 798946 | 958942 |
| 72 | 32614 | 102238 | 179863 | 271237 | 405847 | 541738 | 670885 | 802366 | 960055 |
| 73 | 33442 | 102250 | 180265 | 271528 | 405919 | 542575 | 671527 | 805906 | 960058 |
| 74 | 34093 | 102394 | 181984 | 272854 | 409270 | 543628 | 671599 | 806200 | 961798 |
| 75 | 34639 | 102775 | 183034 | 273169 | 409846 | 545011 | 672754 | 807091 | 962746 |
| 76 | 34798 | 104359 | 183352 | 273190 | 411034 | 546199 | 673501 | 810178 | 964048 |
| 77 | 35425 | 106396 | 183403 | 275929 | 413824 | 546535 | 674047 | 810853 | 972142 |
| 78 | 35890 | 106501 | 183739 | 276172 | 414496 | 548413 | 675382 | 816607 | 972301 |
| 79 | 36121 | 106825 | 185767 | 276412 | 415591 | 549907 | 675895 | 817825 | 972595 |
| 80 | 37525 | 106870 | 189052 | 279025 | 415789 | 552700 | 676000 | 818389 | 973381 |
| 81 | 38869 | 109126 | 190261 | 280516 | 417460 | 561046 | 678763 | 819493 | 973990 |
| 82 | 38956 | 109306 | 190447 | 282271 | 418591 | 561415 | 679663 | 820891 | 974347 |
| 83 | 39226 | 109399 | 191026 | 283993 | 420862 | 565174 | 684337 | 824806 | 974440 |
| 84 | 39481 | 110083 | 191206 | 284026 | 421828 | 567514 | 688087 | 828157 | 975007 |
| 85 | 39754 | 111760 | 191245 | 284686 | 422437 | 569857 | 688474 | 831241 | 977446 |
| 86 | 39775 | 111781 | 191593 | 284968 | 423442 | 573214 | 690091 | 831391 | 977803 |
| 87 | 40213 | 111886 | 191773 | 287533 | 425752 | 573352 | 691519 | 831841 | 978388 |
| 88 | 40276 | 112054 | 192538 | 287929 | 426217 | 573469 | 691801 | 832660 | 979270 |
| 89 | 41203 | 112183 | 194365 | 289348 | 426508 | 576010 | 691834 | 833659 | 983575 |
| 90 | 41905 | 112213 | 195415 | 291856 | 426571 | 577414 | 692515 | 833962 | 987610 |
| 91 | 42085 | 112666 | 195436 | 292759 | 428566 | 580525 | 693796 | 834415 | 989203 |
| 92 | 42724 | 113788 | 195931 | 292780 | 430018 | 583957 | 694249 | 834853 | 991075 |
| 93 | 44257 | 114679 | 197914 | 295279 | 431677 | 584146 | 694555 | 838153 | 991705 |
| 94 | 44434 | 115561 | 197989 | 295468 | 432640 | 585142 | 694933 | 838510 | 992398 |
| 95 | 45253 | 115603 | 200233 | 298903 | 433261 | 586024 | 701461 | 843106 | 993361 |
| 96 | 46345 | 115783 | 200761 | 299083 | 433609 | 589270 | 701674 | 844597 | 995020 |
| 97 | 46516 | 116371 | 200791 | 304741 | 435331 | 590845 | 702565 | 846058 | 995053 |
| 98 | 46747 | 116770 | 201640 | 305887 | 436147 | 592222 | 702745 | 846763 | 997321 |
| 99 | 47008 | 116824 | 202072 | 306220 | 437008 | 592882 | 703984 | 848737 | |
| 100 | 47701 | 117013 | 205033 | 306349 | 437767 | 593092 | 704569 | 849703 |
272億以內四胞胎素數每億區間個數統計及相鄰區間增長比例表,各個區間增長比例平均值幾乎等於1。
| 區間 | 區間內四胞胎素數個數 | 上一區間與本區間個數比值 | 區間首位四胞胎素數 | 區間末位四胞胎素數 |
| 0-1億 | 4767 | 1 | 9998224 | |
| 1-2億 | 3329 | 0.698342773 | 10000546 | 19993228 |
| 2-3億 | 2876 | 0.8639231 | 20003653 | 29995708 |
| 3-4億 | 2740 | 0.9527121 | 30002845 | 39999772 |
| 4-5億 | 2618 | 0.955474453 | 40005712 | 49999822 |
| 5-6億 | 2508 | 0.957983193 | 50022733 | 59993557 |
| 6-7億 | 2436 | 0.971291866 | 60003574 | 69998911 |
| 7-8億 | 2385 | 0.979064039 | 70001464 | 79993768 |
| 8-9億 | 2422 | 1.015513627 | 80000863 | 89999437 |
| 9-10億 | 2306 | 0.952105698 | 90002566 | 99998617 |
| 10-11億 | 2208 | 0.957502168 | 100002526 | 109996015 |
| 11-12億 | 2217 | 1.004076087 | 110025814 | 119997862 |
| 12-13億 | 2137 | 0.963915201 | 120001843 | 129981895 |
| 13-14億 | 2111 | 0.987833411 | 130000435 | 139999228 |
| 14-15億 | 2102 | 0.995736618 | 140003599 | 149985547 |
| 15-16億 | 2036 | 0.968601332 | 150004888 | 159994150 |
| 16-17億 | 2025 | 0.99459725 | 160001857 | 169993414 |
| 17-18億 | 1999 | 0.987160494 | 170003842 | 179996986 |
| 18-19億 | 2043 | 1.022011006 | 180001120 | 189999601 |
| 19-20億 | 1996 | 0.976994616 | 190000882 | 199982926 |
| 20-21億 | 1890 | 0.946893788 | 200012779 | 209996956 |
| 21-22億 | 1861 | 0.984656085 | 210018544 | 219996997 |
| 22-23億 | 1969 | 1.058033315 | 220000807 | 229993207 |
| 23-24億 | 1944 | 0.9873032 | 230003026 | 239996125 |
| 24-25億 | 1900 | 0.977366255 | 240000976 | 249990109 |
| 25-26億 | 1933 | 1.017368421 | 250006270 | 259999498 |
| 26-27億 | 1906 | 0.986032074 | 260000389 | 269997127 |
| 27-28億 | 1928 | 1.011542497 | 270000757 | 279995929 |
| 28-29億 | 1875 | 0.972510373 | 280005055 | 289997263 |
| 29-30億 | 1873 | 0.998933333 | 290002693 | 299996443 |
| 30-31億 | 1786 | 0.953550454 | 300004174 | 309999100 |
| 31-32億 | 1757 | 0.983762598 | 310001434 | 319986451 |
| 32-33億 | 1765 | 1.004553216 | 320005306 | 329991700 |
| 33-34億 | 1741 | 0.986402266 | 330005656 | 339997003 |
| 34-35億 | 1773 | 1.018380241 | 340001560 | 349997887 |
| 35-36億 | 1722 | 0.971235195 | 350004184 | 359996122 |
| 36-37億 | 1766 | 1.025551684 | 360002200 | 369992155 |
| 37-38億 | 1769 | 1.001698754 | 370001257 | 379998781 |
| 38-39億 | 1729 | 0.977388355 | 380005309 | 389998666 |
| 39-40億 | 1763 | 1.019664546 | 390008431 | 399988753 |
| 40-41億 | 1728 | 0.980147476 | 400002088 | 409994266 |
| 41-42億 | 1808 | 1.046296296 | 410003422 | 419998024 |
| 42-43億 | 1680 | 0.92920354 | 420001384 | 429994624 |
| 43-44億 | 1636 | 0.973809524 | 430001512 | 439988377 |
| 44-45億 | 1696 | 1.036674817 | 440008054 | 449989732 |
| 45-46億 | 1712 | 1.009433962 | 450000106 | 459999097 |
| 46-47億 | 1673 | 0.977219626 | 460012162 | 469998847 |
| 47-48億 | 1710 | 1.022115959 | 470007100 | 479998375 |
| 48-49億 | 1724 | 1.008187135 | 480019594 | 489989755 |
| 49-50億 | 1671 | 0.969257541 | 490002682 | 499997251 |
| 50-51億 | 1693 | 1.013165769 | 500002021 | 509995624 |
| 51-52億 | 1665 | 0.983461311 | 510005053 | 519999103 |
| 52-53億 | 1720 | 1.033033033 | 520000780 | 529993600 |
| 53-54億 | 1614 | 0.938372093 | 530012722 | 539986501 |
| 54-55億 | 1675 | 1.0377943 | 540000427 | 549997393 |
| 55-56億 | 1684 | 1.005373134 | 550001737 | 559999396 |
| 56-57億 | 1648 | 0.978622328 | 560004007 | 569994601 |
| 57-58億 | 1649 | 1.000606796 | 570009550 | 579994882 |
| 58-59億 | 1583 | 0.959975743 | 580002181 | 589990117 |
| 59-60億 | 1593 | 1.006317119 | 590000419 | 599992093 |
| 60-61億 | 1559 | 0.978656623 | 600000955 | 609996472 |
| 61-62億 | 1600 | 1.02629891 | 610018312 | 619997815 |
| 62-63億 | 1600 | 1 | 620003410 | 629987401 |
| 63-64億 | 1640 | 1.025 | 630012325 | 639997144 |
| 64-65億 | 1548 | 0.943902439 | 640007623 | 649996390 |
| 65-66億 | 1566 | 1.011627907 | 650008915 | 659987515 |
| 66-67億 | 1576 | 1.006385696 | 660000622 | 669999811 |
| 67-68億 | 1571 | 0.996827411 | 670017664 | 679984663 |
| 68-69億 | 1499 | 0.954169319 | 680000884 | 689997703 |
| 69-70億 | 1573 | 1.049366244 | 690003721 | 699993577 |
| 70-71億 | 1588 | 1.009535919 | 700001044 | 709987405 |
| 71-72億 | 1578 | 0.993702771 | 710011744 | 719971012 |
| 72-73億 | 1516 | 0.960709759 | 720009424 | 729998398 |
| 73-74億 | 1546 | 1.019788918 | 730000510 | 739998022 |
| 74-75億 | 1532 | 0.990944373 | 740001085 | 749998231 |
| 75-76億 | 1465 | 0.956266319 | 750002506 | 759993799 |
| 76-77億 | 1551 | 1.058703072 | 760000813 | 769997362 |
| 77-78億 | 1517 | 0.978078659 | 770006611 | 779992837 |
| 78-79億 | 1500 | 0.988793672 | 780000226 | 789997351 |
| 79-80億 | 1508 | 1.005333333 | 790001194 | 799991029 |
| 80-81億 | 1494 | 0.99071618 | 800007202 | 809997385 |
| 81-82億 | 1501 | 1.004685408 | 810001603 | 819999400 |
| 82-83億 | 1532 | 1.020652898 | 820002793 | 829997887 |
| 83-84億 | 1577 | 1.029373368 | 830006665 | 839998015 |
| 84-85億 | 1540 | 0.97653773 | 840004030 | 849993427 |
| 85-86億 | 1618 | 1.050649351 | 850002730 | 859997164 |
| 86-87億 | 1522 | 0.940667491 | 860027365 | 869994751 |
| 87-88億 | 1452 | 0.954007884 | 870000202 | 879998101 |
| 88-89億 | 1493 | 1.028236915 | 880006408 | 889997011 |
| 89-90億 | 1528 | 1.023442733 | 890009293 | 899994385 |
| 90-91億 | 1505 | 0.984947644 | 900001504 | 909988864 |
| 91-92億 | 1472 | 0.97807309 | 910002241 | 919994941 |
| 92-93億 | 1496 | 1.016304348 | 920012626 | 929999080 |
| 93-94億 | 1485 | 0.992647059 | 930002116 | 939994501 |
| 94-95億 | 1533 | 1.032323232 | 940005664 | 949977313 |
| 95-96億 | 1439 | 0.938682322 | 950016742 | 959991931 |
| 96-97億 | 1473 | 1.023627519 | 960012616 | 969999661 |
| 97-98億 | 1438 | 0.976238968 | 970001929 | 979985077 |
| 98-99億 | 1466 | 1.019471488 | 980011609 | 989993749 |
| 99-100億 | 1458 | 0.994542974 | 990003451 | 999985729 |
| 100-101億 | 1512 | 1.037037037 | 1000005742 | 1009994884 |
| 101-102億 | 1465 | 0.968915344 | 1010020147 | 1019999884 |
| 102-103億 | 1469 | 1.002730375 | 1020027520 | 1029991021 |
| 103-104億 | 1416 | 0.963921035 | 1030006843 | 1039997512 |
| 104-105億 | 1464 | 1.033898305 | 1040024119 | 1049997091 |
| 105-106億 | 1484 | 1.013661202 | 1050008335 | 1059977110 |
| 106-107億 | 1469 | 0.989892183 | 1060013125 | 1069992094 |
| 107-108億 | 1425 | 0.970047651 | 1070001178 | 1079998750 |
| 108-109億 | 1391 | 0.976140351 | 1080001933 | 1089982792 |
| 109-110億 | 1426 | 1.025161754 | 1090010332 | 1099991728 |
| 110-111億 | 1476 | 1.035063114 | 1100006773 | 1109997673 |
| 111-112億 | 1466 | 0.993224932 | 1110008737 | 1119987622 |
| 112-113億 | 1453 | 0.991132333 | 1120003813 | 1129992445 |
| 113-114億 | 1470 | 1.011699931 | 1130002879 | 1139999761 |
| 114-115億 | 1467 | 0.997959184 | 1140001843 | 1149996517 |
| 115-116億 | 1447 | 0.986366735 | 1150003366 | 1159991260 |
| 116-117億 | 1470 | 1.015894955 | 1160009569 | 1169990041 |
| 117-118億 | 1426 | 0.970068027 | 1170002053 | 1179995458 |
| 118-119億 | 1419 | 0.995091164 | 1180003081 | 1189997245 |
| 119-120億 | 1482 | 1.044397463 | 1190010013 | 1199998945 |
| 120-121億 | 1474 | 0.994601889 | 1200007336 | 1209993730 |
| 121-122億 | 1416 | 0.960651289 | 1210002403 | 1219997479 |
| 122-123億 | 1387 | 0.979519774 | 1220001868 | 1229991652 |
| 123-124億 | 1352 | 0.974765681 | 1230000628 | 1239999013 |
| 124-125億 | 1472 | 1.088757396 | 1240003621 | 1249994581 |
| 125-126億 | 1405 | 0.954483696 | 1250000314 | 1259995126 |
| 126-127億 | 1437 | 1.022775801 | 1260002320 | 1269997123 |
| 127-128億 | 1410 | 0.981210856 | 1270012906 | 1279991182 |
| 128-129億 | 1365 | 0.968085106 | 1280008903 | 1289997238 |
| 129-130億 | 1397 | 1.023443223 | 1290002785 | 1299992251 |
| 130-131億 | 1440 | 1.030780243 | 1300003570 | 1309993000 |
| 131-132億 | 1414 | 0.981944444 | 1310008990 | 1319994229 |
| 132-133億 | 1458 | 1.031117397 | 1320027409 | 1329999844 |
| 133-134億 | 1476 | 1.012345679 | 1330003771 | 1339997032 |
| 134-135億 | 1423 | 0.964092141 | 1340008279 | 1349988904 |
| 135-136億 | 1455 | 1.022487702 | 1350016648 | 1359982387 |
| 136-137億 | 1363 | 0.936769759 | 1360001224 | 1369998409 |
| 137-138億 | 1391 | 1.02054292 | 1370013727 | 1379987470 |
| 138-139億 | 1375 | 0.988497484 | 1380012028 | 1389999754 |
| 139-140億 | 1427 | 1.037818182 | 1390006012 | 1399994107 |
| 140-141億 | 1446 | 1.013314646 | 1400006896 | 1409982178 |
| 141-142億 | 1341 | 0.927385892 | 1410005173 | 1419998002 |
| 142-143億 | 1353 | 1.008948546 | 1420002148 | 1429991074 |
| 143-144億 | 1441 | 1.06504065 | 1430000512 | 1439998507 |
| 144-145億 | 1381 | 0.958362248 | 1440022498 | 1449999610 |
| 145-146億 | 1427 | 1.033309196 | 1450014142 | 1459991884 |
| 146-147億 | 1402 | 0.982480729 | 1460012146 | 1469993425 |
| 147-148億 | 1445 | 1.030670471 | 1470005965 | 1479986098 |
| 148-149億 | 1444 | 0.999307958 | 1480002154 | 1489992145 |
| 149-150億 | 1370 | 0.948753463 | 1490002375 | 1499997439 |
| 150-151億 | 1436 | 1.048175182 | 1500013642 | 1509978541 |
| 151-152億 | 1292 | 0.899721448 | 1510007581 | 1519990375 |
| 152-153億 | 1332 | 1.030959752 | 1520002972 | 1529982679 |
| 153-154億 | 1411 | 1.059309309 | 1530008980 | 1539983653 |
| 154-155億 | 1390 | 0.985116938 | 1540012339 | 1549992886 |
| 155-156億 | 1400 | 1.007194245 | 1550009326 | 1559998723 |
| 156-157億 | 1377 | 0.983571429 | 1560002020 | 1569997255 |
| 157-158億 | 1321 | 0.959331881 | 1570008004 | 1579998073 |
| 158-159億 | 1363 | 1.031794095 | 1580002198 | 1589997538 |
| 159-160億 | 1372 | 1.006603081 | 1590006127 | 1599999598 |
| 160-161億 | 1356 | 0.988338192 | 1600000666 | 1609998379 |
| 161-162億 | 1378 | 1.016224189 | 1610000215 | 1619993875 |
| 162-163億 | 1287 | 0.933962264 | 1620009175 | 1629997561 |
| 163-164億 | 1381 | 1.073038073 | 1630016869 | 1639989961 |
| 164-165億 | 1334 | 0.965966691 | 1640000785 | 1649998960 |
| 165-166億 | 1340 | 1.004497751 | 1650012682 | 1659948433 |
| 166-167億 | 1387 | 1.035074627 | 1660008211 | 1669998499 |
| 167-168億 | 1282 | 0.924297044 | 1670000167 | 1679998885 |
| 168-169億 | 1399 | 1.091263651 | 1680003454 | 1689997867 |
| 169-170億 | 1296 | 0.926375983 | 1690006309 | 1699987390 |
| 170-171億 | 1372 | 1.058641975 | 1700012485 | 1709990458 |
| 171-172億 | 1344 | 0.979591837 | 1710008872 | 1719996808 |
| 172-173億 | 1382 | 1.02827381 | 1720003909 | 1729992853 |
| 173-174億 | 1390 | 1.005788712 | 1730000980 | 1739993197 |
| 174-175億 | 1356 | 0.975539568 | 1740002869 | 1749999151 |
| 175-176億 | 1315 | 0.969764012 | 1750008331 | 1759998229 |
| 176-177億 | 1407 | 1.069961977 | 1760010241 | 1769998282 |
| 177-178億 | 1349 | 0.958777541 | 1770010756 | 1779990619 |
| 178-179億 | 1332 | 0.987398073 | 1780007314 | 1789998556 |
| 179-180億 | 1266 | 0.95045045 | 1790008939 | 1799986777 |
| 180-181億 | 1311 | 1.035545024 | 1800005383 | 1809981346 |
| 181-182億 | 1295 | 0.987795576 | 1810010338 | 1819990840 |
| 182-183億 | 1324 | 1.022393822 | 1820003767 | 1829999452 |
| 183-184億 | 1310 | 0.989425982 | 1830003883 | 1839984634 |
| 184-185億 | 1349 | 1.029770992 | 1840003495 | 1849987903 |
| 185-186億 | 1267 | 0.939214233 | 1850010403 | 1859999158 |
| 186-187億 | 1372 | 1.082872928 | 1860002245 | 1869996640 |
| 187-188億 | 1310 | 0.954810496 | 1870001971 | 1879994737 |
| 188-189億 | 1320 | 1.007633588 | 1880009386 | 1889992240 |
| 189-190億 | 1281 | 0.970454545 | 1890010795 | 1899977425 |
| 190-191億 | 1376 | 1.074160812 | 1900006972 | 1909999579 |
| 191-192億 | 1254 | 0.911337209 | 1910025433 | 1919992861 |
| 192-193億 | 1280 | 1.020733652 | 1920005533 | 1929986962 |
| 193-194億 | 1287 | 1.00546875 | 1930001200 | 1939993954 |
| 194-195億 | 1366 | 1.061383061 | 1940002321 | 1949998069 |
| 195-196億 | 1371 | 1.003660322 | 1950004495 | 1959994174 |
| 196-197億 | 1344 | 0.980306346 | 1960003174 | 1969992127 |
| 197-198億 | 1358 | 1.010416667 | 1970000749 | 1979999509 |
| 198-199億 | 1330 | 0.979381443 | 1980002134 | 1989981463 |
| 199-200億 | 1341 | 1.008270677 | 1990018465 | 1999999501 |
| 200-201億 | 1320 | 0.984340045 | 2000000917 | 2009999815 |
| 201-202億 | 1311 | 0.993181818 | 2010000427 | 2019997150 |
| 202-203億 | 1240 | 0.945842868 | 2020023598 | 2029989148 |
| 203-204億 | 1348 | 1.087096774 | 2030000845 | 2039991376 |
| 204-205億 | 1296 | 0.961424332 | 2040004174 | 2049990610 |
| 205-206億 | 1412 | 1.089506173 | 2050017145 | 2059999411 |
| 206-207億 | 1330 | 0.941926346 | 2060017060 | 2069979931 |
| 207-208億 | 1319 | 0.991729323 | 2070009793 | 2079998632 |
| 208-209億 | 1297 | 0.983320697 | 2080015129 | 2089998319 |
| 209-210億 | 1321 | 1.018504241 | 2090007277 | 2099998372 |
| 210-211億 | 1267 | 0.959121877 | 2100024799 | 2109996778 |
| 211-212億 | 1260 | 0.994475138 | 2110000138 | 2119999045 |
| 212-213億 | 1295 | 1.027777778 | 2120006908 | 2129997397 |
| 213-214億 | 1240 | 0.957528958 | 2130010090 | 2139994993 |
| 214-215億 | 1277 | 1.02983871 | 2140014115 | 2149991527 |
| 215-216億 | 1322 | 1.035238841 | 2150003185 | 2159996401 |
| 216-217億 | 1296 | 0.980332829 | 2160007141 | 2169998269 |
| 217-218億 | 1285 | 0.991512346 | 2170008097 | 2179999447 |
| 218-219億 | 1281 | 0.99688716 | 2180003449 | 2189986480 |
| 219-220億 | 1272 | 0.992974239 | 2190012352 | 2199983362 |
| 220-221億 | 1285 | 1.010220126 | 2200010422 | 2209984204 |
| 221-222億 | 1274 | 0.991439689 | 2210004196 | 2219990662 |
| 222-223億 | 1236 | 0.970172684 | 2220006892 | 2229997600 |
| 223-224億 | 1270 | 1.027508091 | 2230003399 | 2239992079 |
| 224-225億 | 1271 | 1.000787402 | 2240017186 | 2249981830 |
| 225-226億 | 1306 | 1.027537372 | 2250013477 | 2259991879 |
| 226-227億 | 1305 | 0.999234303 | 2260000324 | 2269990717 |
| 227-228億 | 1305 | 1 | 2270006497 | 2279998666 |
| 228-229億 | 1310 | 1.003831418 | 2280000052 | 2289995716 |
| 229-230億 | 1231 | 0.939694656 | 2290004491 | 2299980859 |
| 230-231億 | 1290 | 1.047928513 | 2300007907 | 2309996524 |
| 231-232億 | 1298 | 1.00620155 | 2310001732 | 2319991231 |
| 232-233億 | 1312 | 1.010785824 | 2320000009 | 2329997416 |
| 233-234億 | 1269 | 0.96722561 | 2330001733 | 2339993794 |
| 234-235億 | 1343 | 1.058313633 | 2340001039 | 2349992044 |
| 235-236億 | 1209 | 0.90022338 | 2350009576 | 2359993030 |
| 236-237億 | 1288 | 1.065343259 | 2360000200 | 2369998963 |
| 237-238億 | 1268 | 0.98447205 | 2370010882 | 2379992224 |
| 238-239億 | 1288 | 1.015772871 | 2380005388 | 2389996465 |
| 239-240億 | 1339 | 1.039596273 | 2390001724 | 2399996110 |
| 240-241億 | 1259 | 0.940253921 | 2400012763 | 2409988801 |
| 241-242億 | 1294 | 1.027799841 | 2410011859 | 2419989181 |
| 242-243億 | 1217 | 0.94049459 | 2420022547 | 2429995711 |
| 243-244億 | 1219 | 1.001643385 | 2430019399 | 2439971962 |
| 244-245億 | 1232 | 1.010664479 | 2440006861 | 2449972558 |
| 245-246億 | 1220 | 0.99025974 | 2450003452 | 2459993635 |
| 246-247億 | 1271 | 1.041803279 | 2460000943 | 2469999859 |
| 247-248億 | 1271 | 1 | 2470008787 | 2479998538 |
| 248-249億 | 1239 | 0.974822974 | 2480006383 | 2489999935 |
| 249-250億 | 1324 | 1.068603713 | 2490004576 | 2499999913 |
| 250-251億 | 1208 | 0.912386707 | 2500000882 | 2509994014 |
| 251-252億 | 1292 | 1.069536424 | 2510000449 | 2519995735 |
| 252-253億 | 1278 | 0.989164087 | 2520011023 | 2529986992 |
| 253-254億 | 1246 | 0.974960876 | 2530002508 | 2539977382 |
| 254-255億 | 1274 | 1.02247191 | 2540002792 | 2549993344 |
| 255-256億 | 1305 | 1.02433281 | 2550000316 | 2559972376 |
| 256-257億 | 1250 | 0.957854406 | 2560007467 | 2569994899 |
| 257-258億 | 1245 | 0.996 | 2570009527 | 2579995918 |
| 258-259億 | 1279 | 1.027309237 | 2580001369 | 2589949708 |
| 259-260億 | 1190 | 0.930414386 | 2590004170 | 2599996843 |
| 260-261億 | 1246 | 1.047058824 | 2600000446 | 2609991427 |
| 261-262億 | 1266 | 1.016051364 | 2610003688 | 2619998323 |
| 262-263億 | 1260 | 0.995260664 | 2620001494 | 2629999228 |
| 263-264億 | 1272 | 1.00952381 | 2630000698 | 2639996749 |
| 264-265億 | 1246 | 0.979559748 | 2640006220 | 2649999187 |
| 265-266億 | 1297 | 1.040930979 | 2650009036 | 2659999672 |
| 266-267億 | 1259 | 0.970701619 | 2660015968 | 2669997538 |
| 267-268億 | 1225 | 0.97299444 | 2670001846 | 2679987208 |
| 268-269億 | 1202 | 0.98122449 | 2680006465 | 2689992868 |
| 269-270億 | 1274 | 1.059900166 | 2690000722 | 2699996668 |
| 270-271億 | 1267 | 0.994505495 | 2700003220 | 2709994159 |
| 271-272億 | 1240 | 0.977900552 | 2710006486 | 2719983376 |
