定義
單素數冪,是說一個數只含有一個素數的冪(乘方的結果)。
6=2*3是兩個素數的積,不是單素數的冪,12=2 *3也不是單運算冪。
1=n (n是素數),2,3,5,7,11,13,17,......都是一個素數的一次冪,4=2 ,8=2 ,16=2 ,9=3 ....都只是一個素數的冪。
關於單素數冪的大篩法公式
定理當 σ>0,ε>0 及 N≤Q(1οg Q) 時,不等式
單素數冪
單素數冪成立,其中
單素數冪a(M<n≤M+N) 是任意複數,C 是僅依賴於σ 和∈的正常數。
單素數冪
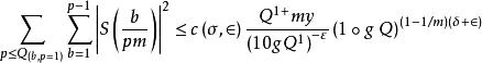
單素數冪推廣上述定理,得到定理,當及 時,不等式
單素數冪其中符號意義同上,m 表正整數。
單素數冪當m=1時,就得到的定理,
當m≥2時,所得結果比直接套用 Bombieri 定理得出的結果
單素數冪更好很多。
