定義
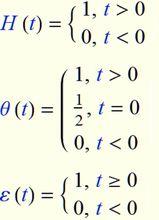
單位階躍函式第一種定義:自變數為0時函式值不確定或不定義,見北京大學吳崇試的數學物理方法第二版117頁9.4式,南京大學梁昆淼數學物理方法第四版83頁5.3.6式,陝西理工學院龍姝明數學物理方法& Mathematica79頁5.41式)
第二種定義:自變數為0時函式值為1/2,見吳大正信號與線性系統分析第四版13頁1.4-3式
第三種定義:自變數為0時,函式值為1。見吳大正信號與線性系統分析第四版102頁3.2-4式關於單位階躍序列的討論。
從傅立葉積分變換角度看,第二種定義來得更自然,它正好可以用“符號函式與1之和”再除2來定義,而且計算逆傅立葉變換時我們必須用到這個定義。如果考慮半域問題,例如Laplace積分變換,即可以採用第一種定義,也可以採用第三種定義或 H(x) = 1/2(1+sgn(x))。
它是個不連續函式,其「微分」是狄拉克δ函式。它是一個幾乎必然是零的隨機變數的累積分布函式。
事實上自變數為0時的函式值在函式套用上並不重要,可以任意取。
這個函式由奧利弗·黑維塞提出。
物理意義
從物理角度講,引入單位階躍函式一是為了解決單位衝激函式(狄拉克Delta函式)的積分;二是系統在輸入信號激勵下的回響問題中,為了區分信號加入系統前後兩個時點。信號加入系統開始起作用的時點稱為“0時刻”後沿,記為0+,t=0+,就是t>0;輸入信號要加而未加入的時點稱為0時刻前沿,記為0-,t=0-,就是t<0。因而物理上一般不介入(0- ,0+)時區,因為這個時區內說不清輸入信號到底加入系統了沒有,實際上這個時區的寬度也不定,數學上可以認為它趨於0。於是單位階躍函式在自變數為0處,即(0-,0+)區間上的值不予定義。這就是物理上採用第一種定義的緣故。
卷積性質
f(t)*u(t)=1/D[f(t)](D為微分運算元)
這一性質不難通過Delta函式的卷積性質和卷積運算的積分性質證明。
f(t)*δ(t)=f(t)且有1/D[f(t)*δ(t)]=f(t)*1/D[δ(t)]=f(t)*u(t)
所以:f(t)*u(t)=1/D[f(t)]
u(t)*u(t)=t×u(t)
根據積分性質,u(t)*u(t)相當於對u(t)積分,所以結果為斜升函式r(t)=t×u(t) (t≤0時為零)
常用推論:u(t+a)*u(t+b)=(t+a+b)u(t+a+b)
首先可證明:
如果有:f(t)*g(t)=h(t),則有
f(t+a)*g(t+b)=h(t+a+b)
這一定理稱”卷積的平移性質“。
所以,令f=g=u, 則h = r(t) = t×u(t),可得
u(t+a)*u(t+b)=(t+a+b)u(t+a+b)
套用
在對梁的彎曲進行研究時,經常要用到彎矩方程。常用的彎矩方程表達式通常是一個分段函式表達式,這給理論研究帶來了許多冗繁的工作。通過單位階躍函式,可以把在集中載荷作用下的分段函式的彎矩方程表達式用一個整體方程表示出來,極大的簡化了求彎曲變形的計算工作量,同時還具有一定的理論價值。

