基本概念
單位階躍函式
單位階躍函式(Unit Step Function)屬於典型輸入信號,其定義為 :
單位階躍回響
單位階躍回響很明顯的一點是,單位階躍函式在t=0這一點是不連續的。
單位階躍回響
單位階躍回響,就是指系統在接收到單位階躍函式輸入後產生的零狀態回響。
所謂零狀態回響是指系統在接收到指定輸入之前處於初始狀態,即保證系統是完全因為指定輸入(在此為單位階躍輸入)而產生的回響變化。
單位脈衝回響
單位脈衝回響是指系統對單位脈衝輸入的回響。單位脈衝信號是一個無窮大的瞬時衝激,表示為:
單位階躍回響單位脈衝信號在時間上的積分是1。
對於 n 階線性定常系統,由線性性和疊加原理,在零初值條件下,系統的單位階躍回響函式的導數為該系統的單位脈衝回響函式。
單位階躍回響作用與意義
系統動態性能分析
動態性能是系統性能的一個十分重要的指標,通常用階躍信號作用來測定系統的動態性能。
一般認為,階躍信號對於系統來說是十分嚴峻的工作狀態,因為階躍信號中存在躍斷點(不連續點)。
針對零初始狀態系統在單位階躍輸入下的回響情況,定義了一系列動態性能指標,用以評判系統的動態性能,如超調量、衰減比、上升時間、調節時間、峰值時間等等。
建立系統回響模型
對於典型的輸入信號,如衝激信號、階躍信號、斜坡信號等,都建立有回響模型(在此即單位階躍回響模型)。根據模型,可以快速判斷出實際系統的動態性能指標參數,只需要代入實際系統的相關測量參數,就可以 定量分析其性能指標。
數學模型
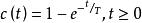
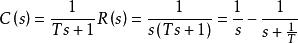
一階系統的單位階躍回響
設單位階躍信號r(t)=1(t),其拉氏變換為R(t)=1/s。
一階系統的傳遞函式為:
單位階躍回響代入R(s)得到:
單位階躍回響反拉氏變換:
單位階躍回響
單位階躍回響如圖所示,設定時間常數T=1得到該圖。
按照動態性能定義,調節時間等於3T(△=5%)或4T(△=2%)。
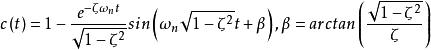
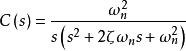
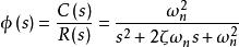
欠阻尼二階系統的單位階躍回響
二階系統的傳遞函式為:
單位階躍回響代入R(s)得到:
單位階躍回響反拉氏變換:
單位階躍回響
單位階躍回響
單位階躍回響
單位階躍回響其中 為阻尼比(相對阻尼係數), 為自然頻率(無阻尼振盪頻率)。
二階系統相比一階系統要複雜的多,根據阻尼比和自然頻率可以對系統進行分析。
一般根據阻尼比的值,分為欠阻尼、臨界阻尼、過阻尼三種情況(另外也有無阻尼情況)。
高階系統的回響情況更為複雜,一般藉助計算機進行分析計算。
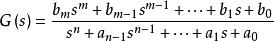
函式推導
假設已知一個n階線性定常系統的單位階躍回響為c(t),則其傳遞函式推導如下:
1. 首先根據c(t)得到系統的階次,假設為n階系統;
2. 判斷c(0)、c'(0)、... 是否為0,假設c(t)在t=0處的m階導不為0(m<n);
3. 則可以構造傳遞函式為
單位階躍回響
單位階躍回響4. 由可以得到系統微分方程,將c(t)以及其在t=0處的各階導數可以得到G(s)中的係數。

