定義
普通函式
在數學中,如果實數域上的某個函式可以用半開區間上的指示函式的有限次線性組合來表示,那么這個函式就是階躍函式。階躍函式是有限段分段常數函式的組合。
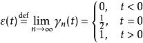
階躍函式階躍函式是奇異函式,t < 0時,函式值為 0;t = 0時,函式值為1/2,;t > 0時,函式值為1 。
廣義函式
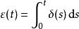
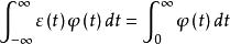
階躍函式按廣義函式理論,單位階躍函式ε(t)的定義為:
即階躍函式ε(t)作用與檢驗函式φ(t)的效果是賦予它一個數值,該值等於φ(t)在(0,∞)區間的定積分 。
性質
(1)可以方便地表示某些信號;
(2)用階躍函式表示信號的作用區間;
階躍函式(3)階躍函式的拉氏變換為:。
與單位衝激函式的關係
階躍函式單位衝激函式等於單位階躍函式對時間變數的導數:;
階躍函式反之,單位階躍函式等於單位衝激函式的積分:。
與階躍回響的關係
階躍回響g(t)定義為:系統在單位階躍信號u(t)的激勵下產生的零狀態回響。即激勵所發出的信號為階躍函式,產生了零狀態回響(電路的儲能元器件(電容、電感類元件)無初始儲能,僅由外部激勵作用而產生的回響。)
套用
信號處理
通過階躍信號來表示複雜的信號,可以簡化對複雜信號的一些特性的研究。階躍信號及其延時階躍信號的線性組合來表示或逼近,再利用系統的迭加原理,可以通過簡單的信號如單位階躍信號的頻譜,以及頻域特性來討論比較複雜信號的頻譜。從而減少計算複雜信號頻譜的難度 。
積分變換
在作積分變換時,對於分段定義的原函式和像函式必須分段處理,常常很麻煩而且容易出錯。利用階躍函式可將分段定義的函式表示成統一的形式,將函式切割或將分段定義的函式統一地表示成定義在整個數軸上的函式,常使變換簡捷容易,簡化運算,減少錯誤。
基於階躍函式的研究
自然生態
利用階躍函式提出數學模型解決自然生態問題。例如《基於階躍函式的紅樹林凋落物變化模型研究》:由於凋落物隨時間變化而存在峰值,利用階躍函式,解決了分段模型一直無法解決的兩個問題:一是變點的數學確定方法,另一個是變點的連續性問題。建立了基於符號函式的階躍函式模型,並以此為基礎,提出了具有峰值的凋落物耦合模型。
高精度逼近
改進了階躍函式及其反函式的近似逼近函式——磨光函式和過濾函式,以提高ICM(Independent Continuous and Mapping,即獨立、連續及映射)方法求解結構拓撲最佳化問題的效率。
工程領域
如通過延遲階躍函式求解重複性項目控制路線的方法研究、橋樑氣動導納識別的階躍函式擬合法、用多項式和階躍函式構造格線多渦卷混沌吸引子及其電路實現等等都有不同程度上的發現。

