歷史發展
古埃及的數學
埃及同中國一樣,也是世界上著名的文明古國。人們在考察古埃及歷史時注意到像阿基米德這樣的數學巨匠,居然也研究過單位分數。
單位分數本世紀一些最偉大的數學家也研究埃及分數,例如,沃而夫數學獎得主保羅-歐德斯,他提出了著名的猜想 ,難倒了世界上第一流的數學家。
單位分數當9個麵包要平均分給10個人的時候,古埃及人不知道每個人可以取得9/10,而是說每人1/3,1/4,1/5,1/12,1/30。真叫人難以想像,你連9/10都搞不清楚,怎么知道 。所以幾千年來,數學史家一直堅持認為,古埃及人不會使用分數。
1858年,蘇格蘭考古學家萊登買到了一份古埃及草紙檔案,經過鑑定這是繁生於尼羅河泛濫形成的池塘和沼澤地里的草製成的紙,成文年代約在公元前1700年。
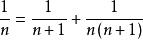
那么,古埃及的人們,是怎么算的呢?首先,把2個物品分成4個1/2,先給每個人1個1/2,剩下的1個1/2再分成3等分,均分結果,每人分到1/2加1/2的1/3,也就是1/2+1/6=2/3。這份至今保存在大英博物館的“萊登”草紙,用很大的篇幅記載著將真分數分解成單分子分數。這種運算方式,遭到現代數學家們紛紛責難,認為埃及人之所以未能把算術和代數發展到較高水平,其分數運算之繁雜也是原因之一。
埃及金字塔是舉世聞名的,表明古埃及人具有高超的建築技巧和超凡的智力,難道最簡單的現代分數也不懂?金字塔所蘊含的難道是一篇粗劣的作品?
現代數學已經發展到十分抽象和複雜的程度,而埃及分數卻是這樣粗糙,在人們的記憶里早該煙消雲散了,然而,它產生的問題直到今天仍然引起人們的重視。
單位分數四川大學已故老校長柯召寫道:“埃及分數所產生的問題有的已成為至今尚未解決的難題和猜想,他們難住了許多當代數學家”。柯召本人至死都沒有能夠證明 這個猜想。
分馬問題
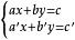
單位分數一個古老的傳說是:老人彌留之際,將家中11匹馬分給3個兒子,老大1/2,老二1/4,老三1/6。1/2是5匹半馬,總不能把馬殺了吧,正在無奈之際,鄰居把自己家的馬牽來,老大1/2,牽走了6匹;老二1/4,牽走了3匹;老三1/6,牽走了2匹,一共11匹。分完後,鄰居把自己的馬牽了回去。即 。奇妙的埃及分數終於調動自己的潛在難度擊敗了敢於輕視他們的人們。並且給與嘲笑他的人以難堪的回答。
單位分數
單位分數
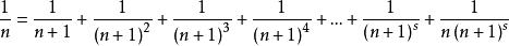
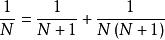
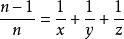
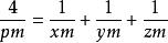
單位分數將分馬問題數學化,即:能否存在整數n,x,y,z,使 。經過兩千多年的努力,人們終於揭開其奧秘,發現公式 和 。此時人們才大夢初醒:埃及分數以旺盛的生命力屹立在世界數壇,使三千年後的數學家也自嘆不如。
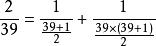
分馬問題共有6種可能,7種分法,其算式如下:
單位分數
單位分數
單位分數
單位分數
單位分數
單位分數原先人們以為,這樣的情況大概有無窮多個,可是繼續追擊卻一無所獲,真是難以預料。黑龍江的關春河發現共有43種情況。這是正確的。
當限定分母為奇數時,把“1”分解為埃及分數,項數限定為9項,共有5組解:
單位分數
單位分數
單位分數
單位分數
單位分數以上5組解是在1976年才找到。限定為11項時,發現了1組解,最小分母是105。若大於105則有很多的解。
此外,1/n型分數還可以表示成為級數分解式:
單位分數Erods猜想
埃及分數成為不定方程中一顆耀眼的明珠。埃及分數最著名的猜想是Erods猜想:1950年Erods猜想。
對於n>1的正整數,總有
單位分數……………………(1)
其中,x,y,z。都是正整數。
Stralss進一步猜想:當n≥2時,方程的解x,y,z滿足x≠y,y≠z,z≠x。x<y<z。
1963年柯召,孫奇,張先覺證明了Erods猜想stralss猜想等價。幾年後yamanot又把結果發展到10的7次方。以後一些數學家又把結果推向前去,始終未獲根本解決。
整除符號:|
本段介紹的符號內容在“Erods猜想的推算”段落中將涉及。
(1)說明:若b可被a整除,或a整除b,則可記作a|b(a≠0)。
(2)示例:7|14,1|50,111|999等
(3)性質:
①若a|b,b|c,則a|c
②若a|b,a|c,則a|(b+c),則a|(ma+mb)(m,n∈Z)
③若a|b,則|a|≤|b|
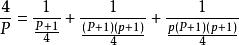
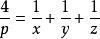
Erods猜想的推算:4/P
單位分數對於 ,只需要考慮n=p為素數的情況。因為若(1)式成立,則對於任何整數m,m>1,
單位分數……………………(2)
單位分數…………………………(3)也成立。
一切奇素數都可以表示為4R+1與4R+3型。對於p=4R+3型,(1)式是顯然的。(參見《單位分數》人民教育出版社1962年)
2002年王曉明提出: 如果設X=AB,Y=AC,Z=ABCP,(B<C)
單位分數即: ……………………(3)
單位分數對於p=4R+3型,(3)式是顯然的。因為這時 ,B=1,C=P+1,
單位分數即 ……………………(4)
單位分數例如: 。
對於p=4R+1型的素數,把(3)式整理成 :
4ABC=PC+PB+1……………………(5)
單位分數……………………(6)
在(6)式中,若要 B|(PC+PB+1),需使得B|(PC+1)。
設PC+1=TB;若要C|(PC+PB+1),需使得C|(PB+1),設PB+1=SC;
對於P=4R+1形,若要4|[p(B+C)+1],需C+B=4K-1,對於P=4R+3形,若要4|[P(C+B)+1],需C+B=4K+1。於是,形成一個二元一次不定方程組:
-PC+TB=1……………………(7)
SC+(-P)B=1……………………(8)
例如p=17時,A=3,B=2,C=5,T=43,S=7,k=2 。
單位分數
單位分數等價於下面的式子:
(-17)×5+43×2=1
7×5+(-17)×2=1
單位分數注意: ……………………(9)
由於4ABC-1是4R+3型,所以當P=4R+1型時,B+C=4K-1 型;P=4R+3,B+C=4K+1型。
單位分數因為對於二元一次不定方程組,我們有得是辦法。根據《代數學辭典》上海教育出版社1985年(376頁):“方程組 公共解(整數解)x,y的充分必要條件是(ab'-a'b)≠0,並且 (ab'-a'b) | (bc'-b'c) 和 (ab'-a'b) | (ca'-c'a)。”
我們把(7)(8)式的C與B當成上面的x,y。 在(7)式中,只要(P,T)=1;就有無窮多組B和C整數解;在(8)中,只要(P,S)=1,就有B和C的整數解。根據已知的定理(柯召,孫奇《談談不定方程》)13 至17頁,聯立二元一次不定方程,就知道(7)(8)式必然有公共整數解(用到矩陣,單位模變換等知識)。即ST-P×P≠0,(ST-P×P) | (P+T); (ST-P×P) | (P+S)。
為什麼說是必然有解,只要有一個素數有解,其它素數必然有解。在中國象棋中,“馬”從起點可以跳到所有的點,那么,馬在任何一個點就可以跳到任何點。因為馬可以從任何一個點退回的起點。
下面是一些p值的解:
--p---|---A---|---B---|----C-----|------T-----|------S-------|-------K-----|
--5---|--2----|---1----|---2------|-----11-----|----3---------|------1------|
-29--|---2----|---4----|---39----|----283----|----3---------|------11-----|
-37--|---2----|---5----|--62-----|---459-----|----3---------|-------17----|
-53--|---2----|---7----|--124----|---939-----|----3--------|-------33----|
-61--|---2----|---8----|--163----|---1243----|----3--------|-------43----|
-173-|--2----|----22--|--1269---|--9979----|----3--------|------323----|
-----------------------------------------------------------------------------------------
以上是P=4R+1,R為奇數時的解,
此時,A=2;S=3。
---------------------------------------------------------------------------------
-17--|--3-----|---2----|-----5------|----43-----|-----7--------|-----2-------|
-41--|--12----|---1----|----6-------|---247----|----7---------|-----2-------|
-41--|--6------|---3----|----4-------|---55-----|-----31-------|-----2-------|
-73--|---10----|---2----|---21------|----767--|-----7---------|-----6-------|
- 97--|---17---|---2----|----5-------|---243---|----39--------|-----2-------|
-113-|--5------|---6----|---97------|--1827---|----7---------|----26-------|
-409-|--59-----|---2---|----13------|--2659---|----63-------|----4--------|
-409-|--22-----|---5---|-----66-----|--5399---|----31-------|-----18-----|
-409-|--11-----|---11--|----60-----|---2231--|----75-------|-----18-----|
---------------------------------------------------------------------------------------
以上是p=4R+1,R是偶數時的解。
41有兩組解;409有三組解。
單位分數
單位分數(-41)×6+247×1=1
7×6+(-41)×1=1
和第二組解;
-41×4+55×3=1
31×4+(-41×3)=1
(3)式是對於所有的p值都有解,但不是全部解。例如4/41有7組解,而(2)式只求證
單位分數的形式解。請注意普遍解與全部解的區別。
Erods猜想的推算:5/P
在七十年代,人們又提出了5/P的情況,並且所有的素數P都可以表示成5R+1;5R+2;5R+3;5R+4形。
一、P=5R+4形
單位分數對於P= 5R+4形,,其中任何一個均有 。
單位分數
單位分數
單位分數例如 ,而 ,或者 。
二、P=5R+3形
單位分數
單位分數對於P= 5R+3形, ,其中任何一個均有 。
單位分數
單位分數例如 ,而
三、P=5R+2形
單位分數對於P=5R+2形, ,R必然是奇數,(R+1)必然是偶數。
單位分數而:
單位分數
單位分數例如 ,而
四、P=5R+1形
單位分數對於P=5R+1形,設 ……………………(8)
5ABC=PC+PB+1……………………(9)
單位分數……………………(10)。
同樣可以整理成(7)(8)式,同樣有解B+C=5K-1形。
下面是一些p=5R+1形的素數的解。
單位分數,A=3,B=1,C=3,T=34,S=4;
單位分數,A=7,B=1,C=8,T=248,S=4;
單位分數,A=3,B=3,C=31,T=424,S=4;
單位分數,A=1,B=14,C=95,T=414,S=9;
單位分數,A=3,B=5,C=89,T=1264,S=4;
單位分數,A=3,B=7,C=177,T=2554,S=4;
單位分數,A=3,B=9,C=295,T=4294,S=4;
方法同4/P一樣。請讀者自己完成。
為什麼(7)(8)式可以必然有解?
單位分數兩聯二元一次不定方程: 有解的充分條件是(a1b2-a2b1)|(a1-a2);(a1b2-a2b1)|(b2-b1)。
我們考察一聯二元一次不定方程ax+by=1……………………(14),根據已知定理,只要(a,b)=1,(14)式就有整數x,y的解。並且是有無窮多組解。
單位分數
單位分數
單位分數
單位分數
單位分數例如5x-2y=1就有無窮多組解,包括 , , , , , 等。換句話說,(14)式中,x與y也互素。這就是聯立方程組有公共解的基礎。我們把a,b與x,y互換,以上例為例子,5x-2y=1換成5a-2b=1(x=5,y=2), 形成二聯二元一次不定方程,【5x-12y=1,11x-27y=1,7x-17y=1】形成三聯二元一次不定方程。
單位分數(4)式可以表示成一個素數的式子
例如p=41時
單位分數
單位分數
單位分數
單位分數
單位分數
單位分數
單位分數
單位分數
單位分數
單位分數
單位分數
單位分數到n=15就沒有了: 都有效。
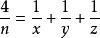
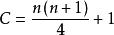
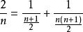
單位分數人們於是問:是否一切n<p/3,對於任何一個素數p都有 :
有三個未知變數的素數公式,可以求得一切素數:
單位分數……………………(15)
(15)式對於一切p=4r+1形式的素數都可以。
單位分數例如
單位分數(15)式對於一切p=4r+3形式的素數, ,B=1,C=P+1。
單位分數例如
單位分數對於合數n=4r+3形式。
單位分數
單位分數
單位分數例如 , , 。
實際上這個問題還遠遠沒有解決。但是已經給出了前進的方向。
埃及分數,一個曾被人瞧不起的,古老的課題,它隱含了何等豐富的內容,許多新奇的謎等待人們去揭開。
性質
單位分數
單位分數
單位分數
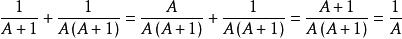
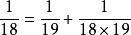
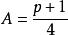
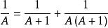
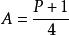
單位分數若A是質數,則將 表示成兩個單位分數的和有且僅有 和 兩種表示法,如 , 等。
計算
單位分數
單位分數推論
單位分數
單位分數
單位分數當A為質數時,方程 有且僅有 和 兩個整數解。
證明
此性質的證明可見詞條參考資料:單位分數的一個性質解題
擴展閱讀
柯召,孫奇,張先覺關於方程4/n=1/x+1/y+1/z 四川大學學報1963。10年。
柯召,孫奇 單位分數 人民教育出版社 1962
王曉明 幾個素數問題 中國科學學報 2007。1
柯召,孫奇 談談不定方程 上海科技出版社開放分類:數學,代數,數,趣味數學,形形色色的數
1.柯召,孫奇,張先覺關於方程4/n=1/x+1/y+1/z 四川大學學報1963。10年。
2.柯召,孫奇 單位分數 人民教育出版社 1962
3.王曉明 幾個素數問題 中國科學學報 2007。1
4.柯召,孫奇 談談不定方程 上海科技出版社開放分類:數學,代數,數,趣味數學,形形色色的數

