定義
分數[數學術語]
分數[數學術語]
分數[數學術語]
分數[數學術語]注意:國小階段與國小階段以後的分數定義有所不同,國小階段,等都姑且視為分數。但實際上,只有不等於整數的有理數才是分數,所以,等都不是分數。
分數[數學術語]
分數[數學術語]
分數[數學術語]把單位“1”平均分成若干份,表示這樣的一份或幾份的數叫做真分數如: 或 ,也可能成為假分數,也就是分子大於或者等於分母,例如。分母表示把一個物體平均分成幾份,分子表示取了其中的幾份。
分數[數學術語]分子在上,分母在下,也可以把它當做除法來看,用分子除以分母(因0在除法不能做除數,所以分母不能為0),相反除法也可以改為用分數表示。
百分數與分數的區別:
(1)意義不同,百分數隻表示兩個數的倍比關係,不能帶單位名稱;分數既可以表示具體的數,又可以表示兩個數的關係,表示具體數時可帶單位名稱。
分數[數學術語]例子:能說米,也能說1米的70%,但不能說70%米。
(2)百分數不可以約分,而分數一般通過約分化成最簡分數。
分數[數學術語]
分數[數學術語]例子:42%不能約分( 可約分為 )。
(3)任何一個百分數都可以寫成分母是100的分數,而分母是100的分數並不都具有百分數的意義。
分數[數學術語]
分數[數學術語]例子:61%= ,但 沒有61%的意義。
分數[數學術語](4)套用範圍的不同,百分數在生產和生活中,常用於調查、統計、分析和比較,而分數常常在計算、測量中得不到整數結果時使用。
歷史
最早的分數是整數倒數:代表二分之一的古代符號,三分之一,四分之一,等等。埃及人使用埃及分數c。 1000 bc。大約4000年前,埃及人用分數略有不同的方法分開。他們使用最低公倍數與單位分數。他們的方法給出了與現代方法相同的答案。埃及人對於Akhmim木片和二代數學紙莎草的問題也有不同的表示法。
希臘人使用單位分數和(後)持續分數。希臘哲學家畢達哥拉斯(c。530 bc)的追隨者發現,兩個平方根不能表示為整數的一部分。 (通常這可能是錯誤的歸因於Metapontum的Hippasus,據說他已被處決以揭示這一事實)。在印度的150名印度人中,耆那教數學家寫了“Sthananga Sutra”,其中包含數字理論,算術學操作和操作。
現代的稱為bhinnarasi的分數似乎起源於印度在Aryabhatta(c。ad 500),[引用需要] Brahmagupta(c。628)和Bhaskara(c。1150)的工作。他們的作品通過將分子(Sanskrit:amsa)放在分母(cheda)上,但沒有它們之間的條紋,形成分數。在梵文文獻中,分數總是表示為一個整數的加和減。整數被寫在一行上,其分數在兩行的下一行寫成。如果分數用小圓⟨0was或交叉⟨+ was標記,則從整數中減去;如果沒有這樣的標誌出現,就被理解為被添加。
意義
一個物體,一個圖形,一個計量單位,都可看作單位“1”。把單位“1”平均分成幾份,表示這樣一份或幾份的數叫做分數。在分數里,表示把單位“1”平均分成多少份的叫做分母,表示有這樣多少份的叫做分子;其中的一份叫做分數單位。
分數[數學術語]
分數[數學術語]
分數[數學術語]要了解小數的意義,可從分數的意義著手,分數的意義可從分割及合成活動來解釋,當一個整體(指基準量)被等分後,在集聚其中一部分的量稱為“分量”,而“分數”就是用來表示或紀錄這個“分量”。例如: 1/5是指一個整數分成五等分後,形成二分的“分量”。當整體被分成十等分、百等分、千等分……等時,此時的分量,就使用另外一種紀錄的方法-小數。例如 記成0.1、 記成0.02、 記成0.005……等。其中的“ . ”稱之為小數點,用以分隔整數部分與無法構成整數的小數部分。整數非0者稱為帶小數,若為0則稱純小數。由此可知,小數的意義是分數意義的一環。
分子與分母同時乘或除以一個相同的數(0除外),分數的大小不變,這就是分數的基本性質。
在一個分數中,所描述的相等部分的數量是分子,部分的類型或種類是分母。在非正式的文本中,分子和分母可能僅通過其放置來進行區分,但是在正式文本中它們總是由分數線分開。分數線可以是水平的(如),傾斜的(如)或對角線形式的(如)。這些標記分別稱為水平線,斜線(US)或對角線(UK),除法斜線和分數斜線。在排版中,分數線呈水平形式的分數也稱為“en 分數”或“nut分數”,對角線形式的分數稱為“em 分數”,這它們占據的線的寬度。
英語分數的分母通常表示為序數,如果分子不是1,則讀分母的複數。(例如,和,分母都讀作”fifths”。)此外,分母為2時,總被讀作“half”或者“halves”,分母為4時,總被讀作“quater/quaters”或者”fourth/fourths”。分母為100, 總被讀“hunderedth/hunderdths”或者“percent”。如果分數的分母為1,則經常省略不讀,只需讀出分子(例如讀作3)。分母為1,可以省略不寫。
在英文中,分數的兩個數字之間含有連字元,則表示一個整體,否則,它表示幾個分子為1的分數(例如:”two-fifths”表示, 而”two fifths”表示2個)。值得注意的是,分數若當做形容詞,此時,必須使用連字元。此外,分數可以讀作分子“over”分母,並將分母表示為基數(例如,英文中,3/1也可以讀作為”three over one”). “over”也可以在分數線為對角線形式的分子中使用(例如,英文中,可以讀作"one-half", "one half", 或者 “one over two”)。具有非十次冪的大分母的分數通常以下列方式呈現(例如,1/117為“one over one hundred seventeen”),而那些具有可被十整除的分母的分數通常以正常的序數方式讀取(例如,6/1000000讀作”six-millionths", “six millionths”, “six one-millionths”)。
性質
分數[數學術語]讀作:三分之二
分數[數學術語]寫作:
分數中間的一條橫線叫做分數線,分數線上面的數叫做分子,分數線下面的數叫做分母。讀作幾分之幾。
分數可以表述成一個除法算式:如二分之一等於1除以2。其中,1 分子等於被除數,- 分數線等於除號,2 分母等於除數,而0.5分數值則等於商。
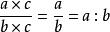
分數[數學術語]分數還可以表述為一個比,例如;二分之一等於1:2,其中1分子等於前項,—分數線等於比號,2分母等於後項,而0.5分數值則等於比值。分數的基本性質:分數的分子和分母都乘以或都除以同一個不為零的數,所得到的分數與原分數的大小相等。 (b、c不等於零)
分數還有一個有趣的性質:一個分數不是有限小數,就是無限循環小數,像π等這樣的無限不循環小數,是不可能用分數代替的。
分數的另一個性質是:當分子與分母同時乘或除以相同的數(0除外),分數值不會變化。因此,每一個分數都有無限個與其相等的分數。利用此性質,可進行約分與通分。
分數[數學術語]對分數進行次方運算結果不可能為整數,且如果運算前是最簡的分數,則結果也會是最簡,如
單位
分數[數學術語]
分數[數學術語]
分數[數學術語]
分數[數學術語]整數可以看作分母為1的分數,單位為 。此外 、 、 ……也是分數單位。
注意事項
①分母一定不能為0,因為分母相當於除數。否則等式無法成立,分子可以等於0,因為分子相當於被除數。相當於0除以任何一個數,不論分母是多少,答案都是0。
②分數中的分子或分母經過約分後不能出現無理數(如2的平方根),否則就不是分數。
③一個最簡分數的分母中只有2和5兩個質因數就能化成有限小數;如果最簡分數的分母中只含有2和5以外的質因數那么就能化成純循環小數;如果最簡分數的分母中既含有2或5兩個質因數也含有2和5以外的質因數那么就能化成混循環小數。(註:如果不是一個最簡分數就要先化成最簡分數再判斷;分母是2或5的最簡分數一定能化成有限小數,分母是其他質數的最簡分數一定能化成純循環小數)
分數化小數
最簡分數化小數是先看分母的素因數有哪些,如果只有2和5,那么就能化成有限小數,如果不是,就不能化成有限小數。不是最簡分數的一定要約分方可判斷。
有以下方法:
分母是特殊數字的(如2、4、8、10、100、1000等)
1、分母是2、4、8等,利用分數的基本性質,分母和分子同時乘以5、25、125等數,分母就轉成10、100、1000的數,直接換成小數。
2、利用分數與除法的關係:分子/分母=小數
分母不是特殊數字的
分數[數學術語]
分數[數學術語]
分數[數學術語]1、利用分數與除法的關係:分子/分母=小數(即)
分數[數學術語]2、如結果是循環小數,要根據實際情況保留幾位小數就幾位小數。(即)
小數化分數
分數[數學術語]
分數[數學術語]有限小數化分數,小數部分有幾個零就有幾位分母。例:0.45= =
分數[數學術語]如是純循環小數,循環節有幾位,分母就有幾個9。例:
如是混循環小數,循環節有幾位,分母就有幾個9;不循環的數字有幾位,9後面就有幾個0,分子是第二個循環節以前的小數部分組成的數與小數部分中不循環部分組成的數的差。例:0.12(2循環)=(12-1)/90=11/90
注意:最後結果不是最簡分數就要約分。
分類
分數的三種類型:真分數,假分數,帶分數。
介紹
真分數的值小於1。分子比分母小,
分數[數學術語]
分數[數學術語]
分數[數學術語]例:、、等
假分數的值大於1,或者等於1。分子比分母大或相等
分數[數學術語]
分數[數學術語]
分數[數學術語]例: 、、等
帶分數的值大於1,後面的分數部分必須是真分數。
分數[數學術語]
分數[數學術語]
分數[數學術語]例: 、、等
計算方法
加減法
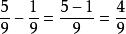
1、同分母分數相加減,分母不變,即分數單位不變,分子相加減,能約分的要約分。
分數[數學術語]例1:
分數[數學術語]例2:
分數[數學術語]例3:
分數[數學術語]例4:
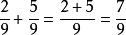
2.異分母分數相加減,先通分,即運用分數的基本性質將異分母分數轉化為同分母分數,改變其分數單位而大小不變,再按同分母分數相加減法去計算,最後能約分的要約分。
分數[數學術語]例1:
分數[數學術語]例2:
分數[數學術語]例3:
分數[數學術語]例4:
乘除法
1、分數乘整數,分母不變,分子乘整數,最後能約分的要約分。
分數[數學術語]例:
2.分數乘分數,用分子乘分子,用分母乘分母,最後能約分的要約分。
分數[數學術語]例:
3.分數除以整數,分母不變,如果分子是整數的倍數,則用分子除以整數,最後能約分的要約分。
分數[數學術語]例:
4.分數除以整數,分母不變,如果分子不是整數的倍數,則用這個分數乘這個整數的倒數,最後能約分的要約分。
分數[數學術語]例:
5.分數除以分數,等於被除數乘除數的倒數,最後能約分的要約分。
分數[數學術語]例:
歷史
在歷史上,分數幾乎與自然數一樣古老。早在人類文化發明的初期,由於進行測量和均分的需要,所以人們引入並使用了分數。
外國
在許多民族的古代文獻中都有關於分數的記載和各種不同的分數制度。早在公元前2100多年,古代巴比倫人(現處伊拉克一帶)就使用了分母是60的分數。
公元前1850年左右的埃及算學文獻中,也開始使用分數,不過那時候古埃及的分數只是分數單位。
中國
我國春秋時代(公元前770年~前476年)的《左傳》中,規定了諸侯的都城大小:最大不可超過周文王國都的三分之一,中等的不可超過五分之一,小的不可超過九分之一。秦始皇時代的曆法規定:一年的天數為三百六十五又四分之一。這說明:分數在我國很早就出現了,並且用於社會生產和生活。
人類歷史上最早產生的數是自然數(非負整數),以後在度量和平均分時往往不能正好得到整數的結果,這樣就產生了分數。
用一個作標準的量(度量單位)去度量另一個量,只有當量若干次正好量盡的時候,才可以用一個整數來表示度量的結果。如果量若干次不能正好量盡,有兩種情況:
例如,用b作標準去量a:
一種情況是把b分成n等份,用其中的一份作為新的度量單位去度量a,量m次正好量盡,就表示a含有把b分成n等份以後的m個等份。例如,把b分成4等份,用其中的一份去量a,量9次正好量盡.在這種情況下,不能用一個整數表示用b去度量a的結果,就必須引進一種新的數—分數來表示度量的結果。
另一種情況是無論把b分成幾等份,用其中的一份作為新的度量a,都不能恰好量盡(如用圓的直徑去量同一圓的周長)。在這種情況下,就需要引進一種新的數-無理數。在整數除法中,兩個數相除,有時不能得到整數商。為了使除法運算總可以施行,也需要引進新的一種數-分數。
綜上所述,分數是在實際度量和均分中產生的。
由來
說分數的歷史,得從三千多年前的埃及說起。
三千多年前,古埃及為了在不能分得整數的情況下表示數,用特殊符號表示分子為1的分數。兩千多年前,中國有了分數,但是,秦漢時期的分數的表現形式不一樣。印度出現了和我國相似的分數表示法。再往後,阿拉伯人發明了分數線,今天分數的表示法就由此而來。
分數[數學術語]
分數[數學術語]200多年前,瑞士數學家歐拉,在《通用算術》一書中說,要想把7米長的一根繩子分成三等份是不可能的,因為找不到一個合適的數來表示它.如果我們把它分成三等份,每份是米.像就是一種新的數,我們把它叫做分數。
名稱
分數為什麼叫它分數呢?分數這個名稱直觀而生動地表示這種數的特徵。例如,一個西瓜四個人平均分,不把它分成相等的四塊行嗎?從這個例子就可以看出,分數是度量和數學本身的需要—除法運算的需要而產生的。
分數中為什麼把分數線上的叫分子,分數線下的叫分母?所謂分數,就是把數來進行劃分的意思,所以,分數線上面的那個數於是便成了多少等分之一,而下面那個數則表示一個數的整體。現在再來看為什麼上面的叫“分子”的問題,這涉及到“分數單位”,當你把一個數分成若干等份的時候,取其中之一份就是多少分之一,這就是分數單位。只有當分數線上下的數都相等的時候,該分數的值才會等於1,其他任何情況下,都會小於1。既然通常(也就是真分數)分數線上面的數都比下面的數小,上面的小的數稱作“子”,下面的大的數稱作“母”就很好理解了。
英語讀法
分數、小數和百分比的讀法;分數中分子用基數詞表示、分母用序數詞表示。先讀分子,後讀分母。當分子大於1時,分母要加“s”。
分數[數學術語]例如: —two thirds
口訣:分子基數詞,分母序數詞,分子大於1,分母加s.
![分數[數學術語] 分數[數學術語]](/img/9/025/nBnauM3X3UjNyAzMzQDMzYDM1UTM1QDN5MjM5ADMwAjMwUzL0AzL4gzLt92YucmbvRWdo5Cd0FmLxE2LvoDc0RHa.jpg)
