解釋
簡介
比例是一個總體中各個部分的數量占總體數量的比重,用於反映總體的構成或者結構。
比例分為比例尺和比例兩種.表示兩個比相等的式子叫做比例。判斷兩個比能不能組成比例,要看它們的比值是不是相等。組成比例的四個數,叫做比例的項。兩端的兩項叫做比例的外項,中間的兩項叫做比例的內項。在比例里,兩個外項的積等於兩個內項的積,這是 比例的基本性質。求比例其中一個未知項,叫做 解比例。
舉例說明
①表示兩個比值相等的式子叫做比例,如3:4=9:12、7:9=21:27
比例有四個項,分別是兩個內項和兩個外項;在7:9=21:27中,其中7與27叫做比例的外項,9與21叫做比例的內項。
②比如:教師和學生的~已經達到要求。
③比如:在所銷商品中,國貨的~比較大。
④比例寫成分數的形式後,那么,左邊的分母和右邊的分子是內項;左邊的分子和右邊的分母是外項。
⑤比例的基本性質:在一個比例中,兩個外項的積等於兩個內項的積。
正比例與反比例
正比例
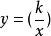
兩種相關聯的量,一種量變化,另一種量也隨著變化,如果兩種量中相對應的兩個數的比值(商)一定,這兩種量就叫做成正比例的量,他們的關係叫做正比例關係。如果用字母x和y表示兩種關聯的量,用k表示它們的比值,成正比例關係可以用下面式子表示:y/x=k(一定)
反比例
兩種相關聯的量,一種量變化,另一種量也隨著變化,如果兩種量中相對應的兩個數的乘積一定,這兩種量就叫做成反比例的量,他們的關係叫做反比例關係。如果用字母x和y表示兩種關聯的量,用k表示它們的乘積,成反比例關係可以用下面式子表示:xy=k(一定)
反比例性的概念可以與直接相稱性進行對比。考慮兩個變數被認為是“相互成比例”的。如果所有其他變數保持不變,如果另一個變數增加,則一個反比例變數的幅度或絕對值減小,而其乘積(比例常數k)總是相同的。
如果每個變數與另一個變數的乘數相反(倒數)成正比,則兩個變數成反比(也稱為反向變化,反向變異,反比例),如果其乘積是一個常數。因此,如果存在非零常數k,則變數y與變數x成反比:
比例[數學術語]
比例[數學術語]或等價於 。因此,常數是x和y的乘積。
例如,旅途所需的時間與旅行速度成反比;挖洞所需的時間(大概)與挖掘人數成反比。
反比例函式在笛卡爾坐標平面上反向變化的兩個變數的曲線圖是矩形雙曲線。曲線上每個點的x和y值的乘積等於比例常數(k)。既然x和y都不能等於零(因為k是非零),所以圖形從不跨任一個軸。
如何判斷
在解決此類問題過程中要緊緊抓住正反比例的意義,一是看不是兩種相關聯的量,二看這兩個量之間的商一定還是積一定的。商一定,兩個量成正比例;積一定,兩個量成反比例。其次在解決實踐套用問題時要注意比和比例,以及它們和分數之間的關係。然後再綜合所學過的知識進行解答。
比與比例的區別
比表示兩個數相除(有兩項,前項和後項),比例表示兩個比相等的式子(有四項,兩個內項,兩個外項)。
解比例
比例分為比例尺和比例.表示兩個比相等的式子叫做比例。判斷兩個比能不能組成比例,要看它們的比值是不是相等。
在比例里,兩個外項的積等於兩個內項的積。已知比例中的任何三項,就可以求出這個比例中的另外一個未知項。求比例中的未知項,叫做 解比例。 解比例都是運用比例的基本性質來解的,因為兩外項的積等於兩內項的積,所以我們可以把兩個外項和內項互相乘起來,再來解這個方程。比如:x:3= 9:27
解法:
x:3=9:27
解:27x=3×9
27x=27
x=1
比例具有如下性質:
若a:b=c:d(b.d≠0),則有
1) ad=bc (即 比例的基本性質:兩個外項的積等於兩個內項的積)
2) b:a=d:c (a.c≠0) (交換比較,結果仍然相等)
3) a:c=b:d ; c:a=d:b
4) (a+b):b=(c+d):d
5) a:(a+b)=c:(c+d) ( a+b≠0,c+d≠0)
6) (a-b):(a+b)=(c-d):(c+d) ( a+b≠0,c+d≠0)
證明過程如下
令 a:b=c:d=k,
∵a:b=c:d
∴a=bk;c=dk
1)∴ad=bk*d=kbd;bc=b*dk=kbd
∴ad=bc
2) 顯然b:a=d:c=1/k
3) a:c=bk:dk=b:d ;結合性質2有c:a=d:b
4) ∵a:b=c:d
∴(a/b)+1=(c/d)+1
∴(a+b)/b=(c+d)/d=1+k ;即 (a+b):b=(c+d):d
a+b≠0,c+d≠0時,結合性質2有b:(a+b)=d:(c+d)
比例[數學術語]且 ……①
5) ∵b/(a+b)=d/(c+d)
∴1- b/(a+b)=1- d/(c+d)=1-1/(k+1)
∴a/(a+b)=c/(c+d)=k/k+1 ……②
即a:(a+b)=c:(c+d)
a+b≠0,c+d≠0時,結合性質2有 (a+b):a=(c+d):c
比例[數學術語]6) ②-①,等式兩邊同時相減得
7) 做做此題:一個長方形,比為5:3,長方形的周長是80米,求它的長和寬。
(有意者,請做在後面。)
假設長方形長為5X,寬為3X,那么:
(5X+3X)*2=80
8X=40
X=5
長:5X=5*5=25(米) 寬:3X=5*3=15(米)
答:這個長方形的長是25米,寬是15米。
或:
比例[數學術語]
比例[數學術語]兩個長: (米)
比例[數學術語]兩個寬: (米)
比例[數學術語]長: (米)
比例[數學術語]寬: (米)
答:這個長方形的長是25米,寬是15米。
或:
比例[數學術語]長: (米)
比例[數學術語]寬: (米)
答:這個長方形的長是25米,寬是15米。
![比例[數學術語] 比例[數學術語]](/img/3/ad8/nBnauM3X2YDNyczM1kjNwADO1UTM1QDN5MjM5ADMwAjMwUzL5YzL0QzLt92YucmbvRWdo5Cd0FmLzE2LvoDc0RHa.jpg)
