定義
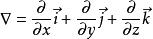
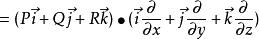
哈密頓運算元哈密頓(W.R.Hamiltonian)引進了一個矢性微分運算元: ,稱之為哈密頓運算元或者▽ 運算元。
記號▽ 讀作“那勃樂(Nzbla)”,在運算中既有微分又有矢量的雙重運算性質,其優點在於可以把對矢量函式的微分運算轉變為矢量代數的運算,從而可以簡化運算過程,並且推導簡明扼要,易於掌握。
▽ 本身並無意義,就是一個運算元,同時又被看作是一個矢量,在運算時,具有矢量和微分的雙重身份。
運算規則
3個等式
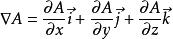
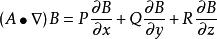
哈密頓運算元(1) ,這樣標量場A通過▽的這個運算就形成了一個矢量場,該矢量場反應了標量場A的分布。
哈密頓運算元(2)
哈密頓運算元
哈密頓運算元;
哈密頓運算元(3)
哈密頓運算元
哈密頓運算元。
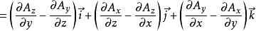
與梯度、散度、旋度的關係
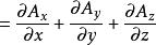
數量(標量)場的梯度與矢量場的散度和旋度可表示為:
哈密頓運算元(1) ;
哈密頓運算元(2) ;
哈密頓運算元(3) 。
與拉普拉斯運算元的關係
哈密頓運算元常用公式
準備工作
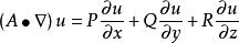
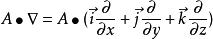
哈密頓運算元設,首先引入新的矢性微分運算元,如下所示:
哈密頓運算元
哈密頓運算元
哈密頓運算元它既可以作用在數性函式 u=u(M) 上,又可以作用在矢性函式 B(M) 上。
哈密頓運算元(1);
哈密頓運算元(2)。
需要注意的是:
哈密頓運算元
哈密頓運算元(1)與 是完全不同的;
哈密頓運算元
哈密頓運算元(2)與是無意義的。
公式匯總
哈密頓運算元(1);
哈密頓運算元(2);
哈密頓運算元(3);
哈密頓運算元(4);
哈密頓運算元(5);
哈密頓運算元(6);
哈密頓運算元(7);
哈密頓運算元(8);
哈密頓運算元(9);
哈密頓運算元(10);
哈密頓運算元(11);
哈密頓運算元(12);
哈密頓運算元(13);
哈密頓運算元(14);
哈密頓運算元(15);
哈密頓運算元(16);
哈密頓運算元(17);
哈密頓運算元
哈密頓運算元(18),其中。

