基本概念
同餘式
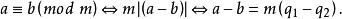
同餘式
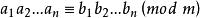
同餘式一個整數a被m除時,得到商 和唯一的一個餘數r,另一個整數b也被m除時,得到商 ,得到的唯一餘數r也是,即(其中 )
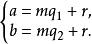
同餘式那么我們說a與b對於模m,有同一個餘數r,寫成
同餘式可以簡略地讀作:對於模m,a和b同餘,其中mod是英文模module的縮寫。
同餘式同餘式的性質
(1)同餘式可以逐項相加。
同餘式若 ,則
同餘式(2)同餘式一邊的數可以移到另一邊,只要改變符號就可以了。
同餘式
同餘式若 ,則。
(3)同餘式的每一邊都可以增加或減去模的任意倍數。
同餘式
同餘式若,則。
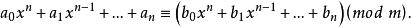
(4)同餘式可以逐項相乘。
同餘式
同餘式若,則。
(5)我們可以將性質(1)(4)推廣成以下的情形。
同餘式①若則
同餘式
同餘式②若,則
同餘式(6)同餘式兩邊的數如有公約數,此公約數又和模互素,那么就可以把兩邊的數除以這個公約數。
同餘式
同餘式
同餘式若,且,則。
(7)同餘式兩邊的數和模可以同時乘上一個整數。
同餘式
同餘式若,則。
(8)同餘式兩邊的數和模可以同時被它們任一公約數除。
同餘式
同餘式若,則。
(9)如果同餘式對於模m成立,那么它對於m的任意約數相等的模d也成立。
同餘式
同餘式若,則。
(10)如果同餘式一邊上的數和模能被某個數除盡,則同餘式的另一邊的數也能被這個數除盡。
同餘式
同餘式若,則。
(11)同餘式一邊上的數與模的最大公約數,等於另一邊上的數與模的最大公約數。
同餘式
同餘式若,則。
孫子剩餘定理
同餘式
同餘式在三國兩晉南北朝時期的數學著作中,《孫子算經》卷下的“物不知數問題”和《張丘建算經》卷下的“百雞問題”,是世界著名的數學問題。《孫子算經》三卷,作者不詳,約成書於公元400年前後,《張丘建算經》三卷,作者張丘建,清河(今河北清河)人,生平不詳,約成書於公元466至485年之間。這兩部著作都被收入唐代《十部算經》,立於學官,並流傳至今。“物不知數問題”亦稱“孫子問題”,大意是:有物不知其數,三個一數餘二,五個一數餘三,七個一數餘二,問該物總數共有多少?這個問題應該求解一次同餘組:,答案是。後來,孫子問題成為廣泛流傳的一種數學遊戲,被稱為“韓信點兵”等,並且還編有一首“孫子歌”:“三人同行七十稀,五樹梅花廿一枝,七子團圓正半月,除百零五便得知”,這首歌訣暗示出問題的解法。但這不是同餘式的一般解法。“孫子問題”與古代曆法中推算上元積年有關,南宋數學家秦九韶創造“大衍求一術”,完滿地解決了這一問題。他所得到的一次同餘組解法公式,現被稱為“孫子剩餘定理”。
“百雞問題”的大意是:公雞1隻,值錢5文;母雞1隻,值錢3文;小雞3隻,值錢1文。今有100文錢買雞100隻,問可買公雞、母雞和小雞各多少只?此題有三個未知數,僅能列出兩個方程,屬於不定方程問題。《張丘建算經》給出三組答案,並有一段說明文字。但是由於其中沒有具體解法,因而引起種種猜測。對於中國古代如何解不定方程,至今眾說紛紜,尚無定論,不定方程問題最早見於《九章算術》方程章的“五家共井”題,但術文簡略,暗含限制條件,沒有一般解法。北周甄鸞《數術記遺》也收錄了百雞問題,但數據與《張丘建算經》有所不同。該題應有兩組答案,但他僅給出一組,並說明這類問題“不用算籌,宜以心計”,即採用試算的辦法去解決。南宋楊輝《續古摘奇算法》引述了《辯古根源》(已失傳)中的“百橘問題”,該題應有四組答案,書中僅列出一種,是不完全的。直到19世紀,清代數學家才把這種類型的問題和求一術(一次同餘組問題)聯繫起來,獲得了比較完善的解法。晚於《九章算術》時代的公元3世紀古希臘數學家丟番圖,對不定方程問題進行了深入的研究,取得了非常出色的成果。15世紀中亞數學家阿爾·卡西的“百禽問題”,與“張丘建算經”的“百雞問題”非常類似,很有可能受到中國數學的影響。

