例
參數曲線
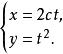
參數曲線
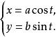
參數曲線,表示了平面上半徑為、以原點為圓心的圓。在三維,加入,便是螺旋的圖形。這些式子可以表示成:
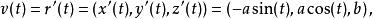
參數曲線如果有一個粒子,沿這個螺旋的路徑而行,直接微分上面的式子便會得到粒子的速度:
參數曲線及加速度:
參數曲線參數曲線亦可以是多於一個參數的函式。例如參數表面是兩個參數(s,t)或(u,v)的函式。
譬如一個圓柱:
參數曲線參數是參變數的簡稱。它是研究運動等一類問題中產生的。質點運動時,它的位置必然與時間有關係,也就是說,質的坐標x,y與時間t之間有函式關係x=f(t),y=g(t),這兩個函式式中的變數t,相對於表示質點的幾何位置的變數x,y來說,就是一個“參與的變數”。這類實際問題中的參變數,被抽象到數學中,就成了參數。我們所學的參數方程中的參數,其任務在於溝通變數x,y及一些常量之間的聯繫,為研究曲線的形狀和性質提供方便。
用參數方程描述運動規律時,常常比用普通方程更為直接簡便。對於解決求最大射程、最大高度、飛行時間或軌跡等一系列問題都比較理想。有些重要但較複雜的曲線(例如圓的漸開線),建立它們的普通方程比較困難,甚至不可能,列出的方程既複雜又不易理解,如圓的漸開線的普通方程。
根據方程畫出曲線十分費時;而利用參數方程把兩個變數x,y間接地聯繫起來,常常比較容易,方程簡單明確,且畫圖也不太困難。
常見參數方程
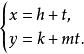
參數曲線過(h, k),斜率為m的直線:
參數曲線圓:
參數曲線橢圓:
參數曲線雙曲線:
參數曲線拋物線:
參數曲線螺線:
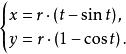
參數曲線擺線:
註:上文中的a, b, c, h, k, l, m, p, r為已知數,t都為參數, x, y為變數。
參見
•隱方程
•極坐標系

