公式結論
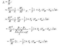
克拉伯龍—克勞修斯方程是由克拉伯龍提出,並由克勞修斯用熱力學理論推導而出的出了純水平液面飽和水汽壓隨溫度變化的數學表達式:
克拉伯龍—克勞修斯方程
克拉伯龍—克勞修斯方程
克拉伯龍—克勞修斯方程
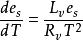
克拉伯龍—克勞修斯方程式中T為溫度,為純水平液面的飽和水汽壓,為水汽的比氣體常數,為相變(汽化)潛熱。
注意:本方程是由平液面推導而出,在討論曲液面(雲,雨滴等)的相變過程時必須考慮曲液面的影響。

克拉伯龍—克勞修斯方程是描述平液面的飽和水汽壓隨溫度的變化。它最早是由克拉伯龍提出,並由克勞修斯用熱力學理論推導而出的。方程適用於平液面,而在討論曲液面(雲,雨滴等)的相變過程時必須考慮曲液面的影響。
公式結論
克拉伯龍—克勞修斯方程是由克拉伯龍提出,並由克勞修斯用熱力學理論推導而出的出了純水平液面飽和水汽壓隨溫度變化的數學表達式:
克拉伯龍—克勞修斯方程
克拉伯龍—克勞修斯方程
克拉伯龍—克勞修斯方程
克拉伯龍—克勞修斯方程式中T為溫度,為純水平液面的飽和水汽壓,為水汽的比氣體常數,為相變(汽化)潛熱。
注意:本方程是由平液面推導而出,在討論曲液面(雲,雨滴等)的相變過程時必須考慮曲液面的影響。
克拉珀龍(Benoit Pierre Emile Clapeyron,1799~1864)法國物理學家和土木工程師。1799年1月26日生於巴黎。181...
克拉珀龍方程式 人物介紹1850年克勞修斯發表《論熱的動力以及由此推出的關於熱學本身的諸定律》的論文。 1857年克勞修斯發表《論熱運動形式》的論文,以十分明晰的方式發展了氣體...
克拉珀龍方程式 克勞修斯 參考資料德國數學家魯道夫·尤利烏斯·埃馬努埃爾·克勞修斯(Rudolf Julius Emanuel Clausius, 1822年1月2日-1888年8月24...
簡介 研究成果 獲得榮譽 熵的學科延伸克拉佩龍,法國物理學家,工程師,在熱力學研究方面有很大貢獻。
簡介 生平與科學研究《上帝擲骰子嗎》 摘要 愛因斯坦:「一個人的價值,應該看他貢獻了什麼,而不是他取得了什麼。」 愛因斯坦說:「我不相信上帝是靠擲骰...
《上帝擲骰子嗎》 序 第一章 黃金時代 第二章 烏雲 第三章 火流星規律的方程。由克拉伯龍於將玻意耳定律和蓋-呂薩克定律合併起來。特此澄清一點,部分國內教材將理想氣體狀態方程和克拉伯龍方程畫等號,這是不正確的。儘管理想氣體狀態方程是由克拉伯龍提出的,但是克拉伯龍方程所描述的是相平衡...
方程具體形式 滿足方程的氣體 相關定律 研究過程 套用的方程。由克拉伯龍於將玻意耳定律和蓋-呂薩克定律合併起來。特此澄清一點,部分國內教材將理想氣體狀態方程和克拉伯龍方程畫等號,這是不正確的。儘管理想氣體狀態方程是由克拉伯龍提出的,但是克拉伯龍方程所描述的是相平衡的物理量...
方程具體形式 滿足方程的氣體 相關定律 研究過程 套用。此式是E.克拉珀龍於1834年得到的,由於R.克勞修斯套用熱力學理論也導出了這個方程式,故又稱克拉珀龍-克勞修斯方程,它表示當溫度變化時,處於...理論 相平衡曲線和克拉珀龍方程 穩定在一定溫度和壓強下的物質的單相系...
相和相變 參考書目