定義
【定義】傳熱是因存在溫差而發生的熱能的轉移。
【物理量】傳遞熱量的單位為J(焦耳)
方式
傳熱是一種複雜現象。從本質上來說,只要一個介質內或者兩個介質之間存在溫度差,就一定會發生傳熱。我們把不同類型的傳熱過程稱為傳熱模式。物體的傳熱過程分為三種基本傳熱模式,即: 熱傳導、熱對流和熱輻射 。
三種基本傳熱模式熱傳導
熱傳導熱傳導,指在物質在無相對位移的情況下,物體內部具有不同溫度、或者不同溫度的物體直接接觸時所發生的熱能傳遞現象。固體中的熱傳導是源於晶格振動形式的原子活動。非導體中,能量傳輸只依靠晶格波(聲子)進行;在導體中,除了晶格波還有自由電子的平移運動。
我們知道,所有物質都是由基本的分子或者原子構成的。只要物體有溫度,分子(原子)就處在不停的運動當中。溫度越高,分子的能量也就越大,也就是說振動的能量越大。當臨近的分子發生碰撞時,能量就會從能量高的分子向能量低的分子傳輸。從而,當存在溫度梯度時,通過導熱的能量傳輸總是向溫度降低的方向進行。
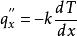
計算熱傳導的速率方程就是大家熟悉的傅立葉定律:
傳熱qx(W/m^2)是與傳輸方向相垂直的單位面積上的熱流速率。它與在該方向上的溫度梯度成正比,其中的比例係數 k 就是介質的熱導率,是物質最基本的物理性質之一。
熱對流
對流傳熱,又稱 熱對流,是指由於流體的巨觀運動而引起的流體各部分之間發生相對位移,冷熱流體相互摻混所引起的熱量傳遞過程。
對流傳熱可分為強迫對流和自然對流。強迫對流,是由於外界作用推動下產生的流體循環流動。自然對流是由於溫度不同密度梯度變化,重力作用引起低溫高密度流體自上而下流動,高溫密度流體自下而上流動。
對流熱流密度計算公式,又稱牛頓冷卻公式 :
傳熱
傳熱其中q''是熱流密度(W/m^2),Ts是固體壁面溫度,是壁面接觸流體的溫度。h為對流換熱係數 [ W/m^2*K ]。h與邊界層中的條件有關,邊界層又取決於表面的幾何形狀、流體的運動特性及流體的眾多熱力學性質和輸運性質 。
熱輻射
熱輻射,是一種物體用電磁輻射的形式把熱能向外散發的傳熱方式。它不依賴任何外界條件而進行,是在真空中最為有效的傳熱方式。
不管物質處在何種狀態(固態、氣態、液態或者玻璃態),只要物質有溫度(所有物質都有溫度),就會以電磁波(也就是,光子)的形式向外輻射能量。這種能量的發射是由於組成物質的原子或分子中電子排列位置的改變所造成的。
實際傳熱過程一般都不是單一的傳熱方式,如煮開水過程中,火焰對爐壁的傳熱,就是輻射、對流和傳導的綜合,而不同的傳熱方式則遵循不同的傳熱規律。為了分析方便,人們在傳熱研究中把三種傳熱方式分解開來,然後再加以綜合。
研究意義
熱傳遞現象無時無處不在,它的影響幾乎遍及現代所有的工業部門,也滲透到農業、林業等許多技術部門中。可以說除了極個別的情況以外,很難發現一個行業、部門或者工業過程和傳熱完全沒有任何關係。不僅傳統工業領域,像能源動力、冶金、化工、交通、建築建材、機械以及食品、輕工、紡織、醫藥等要用到許多傳熱學的有關知識,而且諸如航空航天、核能、微電子、材料、生物醫學工程、環境工程、新能源以及農業工程等很多高新技術領域也都在不同程度上有賴於套用傳熱研究的最新成果,並湧現出像相變與多相流傳熱、(超)低溫傳熱、微尺度傳熱、生物傳熱等許多交叉分支學科。在某些環節上,傳熱技術及相關材料設備的研製開發甚至成為整個系統成敗的關鍵因素 。

